Конструктивные схемы альтернативных силовых установок
7. Конструктивные схемы альтернативных силовых установок
Для привода транспортных средств возможно использовать не только поршневые ДВС, но и другие силовые установки, в том числе комбинированные или, как их принято называть, гибридные.
Изначально в качестве двигателя для автомобилей использовалась паровая машина, но, ввиду низкого к.п.д., она была вытеснена электроприводом, который вскоре также был замещён поршневыми ДВС. На протяжении последних 100 лет не прекращаются попытки заменить поршневые ДВС на другие альтернативные силовые установки: двигатель Стирлинга (внешнего сгорания), газотурбинный двигатель, роторно-поршневой двигатель, топливные элементы. Тем не менее, широкого распространения такие схемы не получают.
Наиболее вероятной альтернативой, способной хотя бы частично заменить силовые установки на базе поршневых ДВС, являются современные электрические силовые установки и гибридные силовые установки (в составе которых, тем не менее, присутствует поршневой ДВС).
7.1 Гибридные силовые установки
Вопрос повышения экономичности и экологичности транспортных средств не ограничивается совершенствованием непосредственно поршневого ДВС. Снизить расход топлива возможно путём реализации рекуперации кинетической энергии движущегося транспортного средства, обычно теряемой в виде теплоты при торможении. Уменьшения расхода топлива и токсичных выбросов, помимо рекуперации энергии торможения, можно добиться также исключением низкоэффективных режимов работы ДВС (холостой ход, малые нагрузки).
Для организации рекуперации энергии торможения в условиях современного автомобиля на его шасси, помимо традиционной силовой установки на базе поршневого ДВС, должна быть установлена другая силовая установка, способная преобразовывать кинетическую энергию движущегося транспортного средства при торможении в удобный для хранения и накопления вид, и расходовать накопленную энергию при ускорении или езде с малой скоростью. Силовая установка, состоящая из двух и более силовых установок, работающих на разнородной энергии, называется гибридной.
Уменьшить продолжительность работы двигателя на низкоэффективных режимах также можно, например, за счёт системы «Старт-Стоп», принудительно останавливающей двигатель при остановке автомобиля, что позволяет значительно повысить экономичность, особенно в городских условиях.
В то же время гибридные силовые установки обладают рядом существенных недостатков:
1. Повышенная сложность конструкции и системы управления.
Рекомендуемые материалы
2. Увеличенная масса.
3. Увеличенная стоимость, в том числе и эксплуатационная.
Автомобили, оборудованные гибридными силовыми установками, часто условно называют «гибридами», что некорректно.
Типы гибридных силовых установок
Гибридные силовые установки различаются в зависимости от того, какой вид энергии используется в силовой установке, работающей в паре с традиционным поршневым ДВС. В настоящее время выделяют два основных типа гибридных силовых установок: электрические и механические.
В механических гибридных силовых установках для накопления энергии могут быть использованы сосуды, работающие под давлением (пневматические аккумуляторы, гидроаккумуляторы с пневматическим накопителем.). Большие массогабаритные показатели систем с подобными накопителями, а также сложность преобразования энергии при рекуперации ограничивают их применимость на мобильных установках.
Также к механическим гибридным силовым установкам относятся системы на основе инерционных накопителей. В качестве аккумулятора энергии здесь выступает маховик, раскручиваемый при рекуперативном торможении до высоких оборотов (порядка 60 тыс. об/мин). Преимуществами подобной схемы является относительная простота конструкции и компактность накопителя, широкие температурные диапазоны работы, отсутствие необходимости преобразования вращения в другой вид энергии. Основной недостаток – сложность трансмиссии, согласующей вращение накапливающего маховика и ведущих колёс автомобиля. Тем не менее, подобные системы уже используются в болидах Формулы 1 (в рамках системы KERS - Kinetic Energy Recovery Systems, допущенной к применению в соответствии с техническим регламентом Формулы 1 от 2009 года). Некоторые ведущие автомобилестроительные фирмы мира (Volvo, Porsche) работают над реализацией серийных версий подобной системы (рис. 7.1) [17].

Рис. 7.1 Инерционный накопитель [17].
Большой опыт по созданию гибридных силовых установок показывает, что рекуперацию, накопление и возвращение энергии на привод колёс проще всего организовать посредством преобразования вращения в электрическую энергию. Именно поэтому наибольшее распространение в последнее время получили электрические гибридные силовые установки (далее просто «гибридные силовые установки»). Основным их недостатком является необходимость использования аккумуляторных батарей в качестве накопителей электрической энергии. Даже самые современные электрические аккумуляторы имеют ограниченный ресурс и низкие показатели удельной запасаемой энергии, что влечёт необходимость размещения на шасси автомобиля массивных аккумуляторных комплексов. Кроме того, электрические аккумуляторы имеют узкий температурный диапазон работы, что вынуждает использовать специальные подогревающие или охлаждающие системы. Определённые трудности вызывает также утилизация отработавших аккумуляторов [4].
Несмотря на то, что наиболее динамично автомобили с гибридными силовыми установками развиваются последние 20 лет, основы технологии были заложены ещё в начале 20 века. Так, первым подобным автомобилем считается Lohner-Porsche, построенный в 1900-1901 годах известным конструктором Фердинандом Порше, основателем одноимённой автомобильной компании (рис. 7.2).

Рис. 7.2 Lohner-Porsche - первый в мире автомобиль с гибридной силовой установкой
Компоновочные схемы автомобилей с гибридными силовыми установками
Несмотря на то, что индустрия автомобилей с гибридными силовыми установками уже практически полностью сформировалась, до сих пор нет единых подходов к классификации их основных компоновочных схем. Наиболее часто в литературе встречается их подразделение на три группы, в зависимости от того, каким образом осуществляется привод ведущих колёс автомобиля:
1. Последовательная схема.
2. Параллельная схема.
3. Смешанная схема (последовательно-параллельная).
Главной особенностью последовательной схемы является то, что ведущие колёса автомобиля приводятся только от электродвигателя. ДВС на таком автомобиле выполняет функцию зарядного устройства для аккумуляторных батарей. Схема автомобиля, оборудованного гибридной силовой установкой с последовательным приводом показана на рис. 7.3.

Рис. 7.3 Последовательная схема компоновки автомобиля с гибридной силовой установкой [4]
Работа подобной системы происходит следующим образом: Тяговый электродвигатель расходует энергию, запасённую в батареях. Специальная электроника полностью контролирует процесс движения транспортного средства и по возможности активирует режим рекуперативного торможения. Но в отличие от электромобилей, при сильном разряде тяговых батарей запускается поршневой ДВС и, вращая генератор, заряжает батареи.
Подобная схема давно известна и широко применяется в тех случаях, когда сложно или нецелесообразно организовывать механическую трансмиссию (карьерные самосвалы, тепловозы, подводные лодки и т.д.).
К преимуществам последовательной схемы можно отнеси следующее:
1. Отсутствие сложной механической трансмиссии.
2. Поскольку ДВС при генерировании электроэнергии постоянно работает на одном и том же режиме, можно максимально оптимизировать его рабочий процесс под этот режим.
Недостатками такой схемы являются:
1. Ограничение максимальной мощности автомобиля максимальной мощностью электродвигателя, что вынуждает использовать более мощные, а, следовательно, более тяжёлые и дорогостоящие электродвигатели, генераторы и батареи.[4].
2. Низкая эффективность установки, обусловленная потерями энергии при преобразовании вращения в электричество, аккумулировании и обратном преобразовании электроэнергии во вращение. Поскольку вся вырабатываемая на борту энергия проходит двойное преобразование, потери будут значительно выше, чем на других видах компоновки гибридных силовых установок.
Характерным представителем последовательной схемы компоновки автомобиля с гибридной силовой установкой можно назвать Chevrolet Volt (рис. 7.4).

Рис. 7.4 Схема реализации последовательной компоновки на примере автомобиля Chevrolet Volt [10]
Этот автомобиль оборудован электродвигателем мощностью 150 л.с., питающимся от Т-образного блока литий-ионных батарей с запасом хода до 65 км. При исчерпании батарей для их подзарядки используется поршневой ДВС объёмом 1,4 литра и мощностью 84 л.с. Топливо – бензин либо его смесь с этанолом (Е85).
В отличие от рассмотренной выше последовательной схемы, параллельная схема компоновки автомобиля с гибридной силовой установкой предполагает, что оба двигателя совместно приводят ведущие колёса автомобиля. В электрической силовой установке функции двигателя и генератора энергии рекуперативного торможения выполняет одно устройство - обратимый электродвигатель, или мотор-генератор (G/M). При этом реализация такой схемы возможна двумя путями (рис. 7.5).

Рис. 7.5 Параллельная схема компоновки автомобиля с гибридной силовой установкой. А – с подключением электромотора через трансмиссию; Б – с расположением электромотора на оси
коленвала ДВС [4]
В первом случае (рис. 7.5А) ДВС и электродвигатель совместно вращают ведомые валы коробки переключения передач (КПП). Специальный механизм внутри КПП суммирует крутящий момент от обеих энергоустановок и передаёт его на ведущие колёса. Такая схема отличается сравнительной простотой и широкими возможностями по компоновке узлов и агрегатов на шасси автомобиля. Развитием этой схемы стало внедрении более сложной трансмиссии (планетарной, либо с несколькими узлами сцепления), позволяющей приводить ведущие колёса либо только от ДВС, либо только от электродвигателя, либо от ДВС и электромотора совместно, что привело к появлению принципиально новой, последовательно-параллельной (смешанной) схемы компоновки автомобиля с гибридной силовой установкой, которая будет рассмотрена ниже.
Во втором случае (рис. 7.5Б) электрический мотор-генератор устанавливается непосредственно на валу ДВС. Такое решение дополнительно упрощает конструкцию, поскольку даёт возможность использования серийных КПП, но при этом несколько усложняет размещение гибридной силовой установки на шасси автомобиля. Характерным представителем параллельной схемы компоновки автомобиля с гибридной силовой установкой является система IMA (Integrated Motor Assist), разработанная японской фирмой Honda и используемая на ряде моделей этой фирмы, в том числе на автомобиле Honda Civic Hybrid (рис. 7.6).

Рис. 7.6 Гибридная силовая установка автомобиля Honda Civic Hybrid, реализующая параллельную схему [12].
Этот автомобиль оборудован поршневым бензиновым двигателем (рабочий объём 1,5 литра, мощность 110 л.с.), на коленчатом валу которого установлен плоский электромотор-генератор (мощность 23 л.с., вес 20 кг.), выполняющий также роль маховика и стартера. Запасание электрической энергии и питание электродвигателя осуществляется от блока литий-ионных батарей (напряжение 144В, вес 22 кг). Трансмиссия автомобиля не требует каких-либо специфических изменений и в ней используются серийные узлы и агрегаты (на данном автомобиле устанавливается бесступенчатая коробка передач (вариатор) аналогичная устанавливаемым на другие модели фирмы Honda, в то числе не оборудованные гибридной силовой установкой).
Для системы IMA характерны следующие режимы работы:
1. При остановке автомобиля ДВС принудительно глушится.
2. При работе на малых нагрузках (равномерное движение с малыми скоростями, движение при затруднённом трафике) работает только электродвигатель (до истощения батарей, далее подключается ДВС: приводит колёса и заряжает батарею).
3. На режимах средних и высоких нагрузок автомобиль приводится от ДВС.
4. При максимальной нагрузке электродвигатель и ДВС работают совместно, выдавая максимально возможную мощность.
5. При рекуперативном торможении ДВС глушится, а электродвигатель переходит на режим работы генератора.
Положительными сторонами параллельной схемы компоновки автомобиля с гибридной силовой установкой является простота конструкции, малые габариты и масса электрической силовой установки. Немаловажным фактором также является возможность использования большинства узлов и агрегатов серийных автомобилей (Honda Civic Hybrid построена на базе серийного автомобиля Honda Civic с традиционным бензиновым двигателем).
Недостатком схемы является жёсткая связь между ДВС и электродвигателем, поскольку в режиме рекуперативного торможения и при движении только на электродвигателе часть энергии неизбежно теряется на вращение ДВС. Как следствие, сокращаются возможные режимы движения только за счёт электродвигателя[4]. Для уменьшения потерь на таких режимах движения, посредством фирменной системы управления фазами газораспределения Honda i-VTEC, отключается привод клапанов ДВС [12].
Смешанная (последовательно-параллельная) схема компоновки автомобиля с гибридной силовой установкой, как это следует из названия, способна функционировать как последовательно, так и параллельно, в зависимости от режима движения автомобиля. Причина появления этой схемы заключается в желании избавиться от основного существенного недостатка параллельной схемы – необходимости вращать ДВС во время рекуперативного торможения и движения только на электродвигателе. Очевидно, что добиться этого возможно за счёт введения различных дополнительных узлов и агрегатов: отдельного генератора, дополнительного сцепления, специфических КПП и так далее. Следовательно, негативной стороной такого подхода станет сложность конструкции и увеличение массы. В то же время реализация смешанной схемы позволит значительно расширить режимы движения, при которых используется только электродвигатель. По той же причине увеличится возможность исключения малоэффективных режимов работы ДВС.
Смешанная схема компоновки автомобиля с гибридной силовой установкой показана на рис. 7.7.

Рис. 7.7 Последовательно-параллельная (смешанная) схема компоновки автомобиля с гибридной силовой установкой [4]
Характерным примером реализации смешанной схемы является автомобиль Toyota Prius, самый популярный в настоящее время автомобиль с гибридной силовой установкой, выпускаемый японской компанией Toyota c 1997 года (в период с 1997 по 2011 годы на конвейере сменилось 3 поколения автомобиля). В последнем поколении этот автомобиль оборудуется поршневым ДВС объёмом 1,8 литра и мощностью 99 л.с., при этом мощность электродвигателя составляет 82 л.с. Электроэнергия запасается в никель-металлогидридных аккумуляторах (напряжение 201,6В, вес 45 кг) [16].
Особым отличительным элементом это автомобиля, характерным для всех представителей смешанной схемы компоновки автомобиля с гибридной силовой установкой, является уникальная планетарная трансмиссия (запатентованная технология Toyota Hybrid Synergy Drive), позволяющая распределять крутящий момент между ДВС, электродвигателем, генератором и ведущими колёсами (рис. 7.8).

Рис. 7.8 Планетарная трансмиссия автомобиля Toyota Prius [16]:
1 - маховик; 2 – генератор; 3 - солнечная (центральная) шестерня планетарного редуктора; 4 - водило с сателлитами планетарного редуктора; дополнительный планетарный редуктор электродвигателя; 6 - ведущая шестерня главной передачи (коронная шестерня планетарного редуктора);
7 - ведомая шестерня главной передачи; 8 - электродвигатель
Планетарный редуктор (рис. 7.9), лежащий в основе этой трансмиссии, состоит из трёх основных частей: солнечной (центральной) шестерни, водила, фиксирующего подвижные сателлиты друг относительно друга и коронной шестерни (эпицикла). Ведущие колеса автомобиля (через главную передачу) и тяговый электродвигатель соединены с коронной шестерней, ДВС соединён с водилом (то есть с блоком шестерен-сателлитов), а генератор – с солнечной шестерней. Применение такой системы позволило полностью отказаться от дополнительной КПП, поскольку обороты ДВС плавно регулируются электроникой посредством изменения нагрузки генератора (потребляемая генератором энергия ДВС в зависимости от режима движения и степени зарядки аккумуляторов может либо запасаться, либо сразу подаваться на электродвигатель). Для согласования скоростных режимов ДВС и электродвигателя на данном автомобиле потребовалось включить в трансмиссию ещё один планетарный редуктор, понижающий обороты электродвигателя (рис. 7.8) [16].

Рис. 7.9 Планетарный редуктор
Принцип регулирования ДВС посредством нагружения сопряжённого с ним генератора позволяет эксплуатировать ДВС на наиболее эффективных режимах работы. Инженеры фирмы Toyota использовали эту возможность и в качестве поршневого двигателя гибридной силовой установки использовали ДВС, работающий по циклу Аткинсона (код двигателя 2ZR-FXE). В этом двигателе впускные клапана закрываются с запаздыванием, в результате чего часть свежего заряда вытесняется обратно во впускную систему. Давление конца сжатия в данном цикле меньше, чем в двигателе, работающем по циклу Отто той же геометрии. Это позволяет дополнительно увеличить геометрическую степень сжатия и, соответственно, степень расширения (степень сжатия ДВС автомобиля Toyota Prius равна 13). Таким образом, при той же фактической степени сжатия, двигатель, работающий по циклу Аткинсона, имеет большую степень расширения, чем двигатель, работающий по циклу Отто. Это дает возможность более полно использовать энергию расширяющихся в цилиндре газов, что повышает тепловую эффективность двигателя. Основным недостатком подобного решения является низкая стабильность работы на малых нагрузках и холостом ходу, что в условиях смешанной схемы компоновки автомобиля с гибридной силовой установкой полностью устраняется [16].
Режимы работы смешанной схемы практически не отличаются от таковых для параллельной схемы. Исключение составляет режим затруднённого движения (в пробках) или движения с малой скоростью, когда автомобиль передвигается только за счёт электродвигателя. На этом режиме при разряде батареи система управления автоматически запускает ДВС для подзарядки (как в последовательной схеме). В автомобиле Toyota Prius, ввиду специфики регулирования, на режимах высоких нагрузок часть энергии, выработанной ДВС, всё равно уходит на привод электродвигателя, питающегося одновременно ещё и от батарей [4].
Классификация гибридных силовых установок по мощности электрической силовой установки
В параллельных и смешанных схемах компоновки автомобилей с гибридными силовыми установками возможно широкое варьирование мощностей как ДВС, так и электродвигателя. Классификация таких установок производится как по абсолютной, так и по относительной доле электропривода в суммарной мощности. Относительная доля представляет собой отношение мощности электрической силовой установки (элктродвигателя) к суммарной мощности гибридной силовой установки (мощность ДВС плюс мощность электродвигателя).
Классификация по абсолютной доле (PE) более распространена ввиду простоты применения. В соответствии с ней выделяют следующие категории гибридных силовых установок [8]:
1. Микро гибрид (менее 6 кВт)
2. Малый гибрид (6 - 20 кВт)
3. Полный гибрид (более 40 кВт)
В микро гибридах электродвигатель не приводит ведущие колёса автомобиля, а используется для запуска ДВС при движении в режиме «старт-стоп». Такие электродвигатели, как правило, используют напряжение 12В. Цена автомобиля с подобной системой возрастает ориентировочно на 300 - 800€, а её применение позволяет сократить потребление топлива на 3 - 6%.
Электродвигатели в малых гибридах не только обеспечивают движение в режиме «старт-стоп», но и увеличивают максимальную мощность гибридной силовой установки на высоких нагрузках. Также они способны обеспечить движение автомобиля с малой скоростью при заглушенном ДВС. Реализуется преимущественно параллельная схема компоновки. Электродвигатели здесь работают при напряжении 42В или 144В, а увеличение стоимости автомобиля с такой системой, в зависимости от характеристик и конфигурации, находится в пределах 1000-2000€. Расход топлива, благодаря реализации принципа рекуперации энергии торможения, понижается на 10-20%.
В полных гибридах возможна реализация как параллельной (по аналогии с малыми гибридами), так и смешанной схем компоновки. В последнем случае, на режимах малых нагрузок, автомобиль способен долговременно передвигаться на электродвигателе, а ДВС будет периодически подзаряжать аккумулятор. Такая система, как описывалось выше, достаточно сложная и дорогостоящая (порядка 4000-8000€). Рабочее напряжение находится в пределах 250В, а потенциал для снижения расхода топлива составляет 30-40%.
Тем не менее, возможности микро, малого и полного гибридов сократить расход топлива в значительной степени зависит от конкретного ездового цикла (рис. 7.10).
Из рис. 7.10 видно, что использование микро и малого гибридов выгодно в условиях затруднённого городского движения. В обычном городском режиме движения их эффективность заметно снижается и при движении по трассе сходит на нет. Полный гибрид наиболее выгоден при затруднённом городском движении, при этом он превосходит другие гибриды, а также дизельный двигатель. В городском режиме полный гибрид практически не имеет преимущества по сравнению с современным дизельным двигателем, а при движении по трассе он ему заметно уступает [8].
Анализируя вышесказанное можно сделать вывод, что применение электрических гибридных силовых установок, вне зависимости от схемы подключения или мощности электродвигателя целесообразно в том случае, если автомобиль подавляющую часть времени эксплуатируется в условиях города с плотным движением. Если при эксплуатации автомобиля большая часть времени приходится на движение по трассе, более целесообразным будет использование традиционного дизельного двигателя.

Рис. 7.10 Экономичность микро, малого и полного гибридов в сравнении с традиционным дизельным двигателем
на основных ездовых циклах [8]
7.2 Электромобили
Радикальным подходом к вопросу улучшения экологической обстановки является широкое внедрение электромобилей. В отличие от автомобилей с гибридными силовыми установками, здесь предполагается полностью устранить традиционные поршневые двигатели, заменив их электродвигателями соответствующей мощности.
Электромобили нельзя назвать инновационной разработкой, поскольку их применение началось ещё на заре автомобилизации, задолго до широкого внедрения поршневых ДВС. Первые экспериментальные дорожные электромобили появились ещё в 1840-х годах, но наиболее широко они распространились только в конце 19 - начале 20 века. К 1900 году более половины всех автомобилей в США имело электрический привод.
Совершенствование электродвигателей и аккумуляторных батарей позволяло электромобилям выдавать впечатляющие для того времени показатели. Так, электромобиль Morrison, созданный Уильямом Моррисоном в 1891 году и предположительно считающийся первым электрическим экипажем в США, оснащался электродвигателем мощностью 4 л.с. и имел максимальную скорость 32 км/час. Машина предназначалась для перевозки 6-12 пассажиров, весила около 2 тонн, а запас хода составлял 80 км (рис. 7.11).

Рис. 7.11 Электромобиль Morrison, 1891 год
Электромобили Babcock и электрические фаэтоны Bailey, выпускаемые в 1910-х годах, имели рекордный запас хода до 160 км на одном заряде аккумуляторов (рис. 7.12).
1 мая 1899 года в предместье Парижа, бельгийский гонщик-изобретатель Камилл Жанатци на самодельном электромобиле La Jamais-Contente (от французского «Вечно недовольная») первым в истории преодолел 100-километровый рубеж скорости с результатом в 105,9 км/ч. Рекордный электромобиль имел форму снаряда, а суммарная мощность электромоторов составляла 100 л.с. (рис. 7.13).

Рис. 7.12 Электромобили Babcock, 1909 год (слева)
и Bailey, 1909 (справа)

Рис. 7.13 Электромобиль La Jamais-Contente («Вечно недовольная»),
впервые развивший скорость свыше 100 км/ч, 1899 год
Тем не менее, несмотря на бурное развитие электромобилей в начале 20 века, уже к 1910 году их доля рынка вместе с паромобилями снизилась до 1%. Подавляющее большинство автомобилей начали оснащать быстро совершенствующимися поршневыми ДВС, использующими в качестве топлива очень дешёвые на тот момент продукты переработки нефти.
Ухудшение экологической обстановки в крупных городах в 60-е годы 20 века вынудило исследователей вновь вернуться к электромобилям. Также причиной возобновления интереса стал рост цен на нефтепродукты, спровоцированный топливными кризисами, а жёсткие ограничения выбросов токсичных компонентов, внедряемые в последние 20 лет, вынудили большинство мировых автопроизводителей начать работы в этом направлении [4].
Электромобили обладают следующими преимуществами:
1. Отсутствие вредных выбросов в месте использования (перенос экологически вредных процессов выработки энергии к месту расположения электростанций).
2. Возможность использования для выработки электроэнергии практически любых источников энергии (использование энергии атомных электростанций, гидроэлектростанций, солнечных электростанций и тепловых электростанций, работающих на более дешёвом и доступном топливе (уголь, газ, биомасса, торф).
3. Упрощение конструкции автомобиля (в первую очередь двигателя и трансмиссии), а, следовательно, и процесса его эксплуатации и обслуживания.
4. Низкий уровень шума
5. Возможность рекуперации энергии торможения.
При очевидной привлекательности такого решения в реальных условиях внедрение электромобилей сопряжено с рядом принципиальных трудностей:
1. Необходимость запасания и хранения на борту большого количества электроэнергии в аккумуляторных батареях, которые к настоящему времени имеют либо значительно меньшие, чем углеводородное топливо показатели удельной запасённой энергии (а, следовательно, для приемлемого пробега на одной зарядке такая батарея будет иметь большую массу и габариты), либо очень дороги. Как следствие – высокая цена и малый пробег от одного заряда (пробег без подзарядки современных электромобилей примерно равен пробегу электромобилей 1910-х годов).
2. Длительное время зарядки аккумуляторов (до 6 - 8 часов от бытовой электросети) по сравнению с заправкой топливом. Необходимость разворачивания специальных зарядных станций (в том числе в городах с плотной застройкой)
3. При широком распространении электромобилей прогнозируется нехватка электроэнергии, что повлечёт строительство большого количества новых электростанций и, как следствие, повышение тарифов на электроэнергию.
4. Экологически небезопасное производство аккумуляторных батарей и необходимость их утилизации.
5. Низкий суммарный КПД системы «топливо – электроэнергия–механическая энергия на валу электродвигателя автомобиля». КПД производства механической энергии, с учётом выработки и транспортировки электроэнергии составляет примерно 15%, тогда как КПД дизельного ДВС находится в пределах 40% [4]. Кроме того, как показали исследования Британской ассоциации по аренде и лизингу автомобилей (BVRLA), 3-х годичная эксплуатация серийного электромобиля Nissan Leaf со всеми льготами обходится примерно на 5000 фунтов стерлингов дороже, чем аналогичного автомобиля с дизельным двигателем [5].
6. Увеличение расхода электроэнергии из-за необходимости обеспечивать вспомогательные устройства, например климатическую установку, которая в традиционном автомобиле использовала тепло, отводимое системой охлаждения ДВС [4].
Компоновка электромобилей
За последние 100 лет принципиальная схема электромобиля практически не поменялась (рис. 7.14).

Рис. 7.14 Компоновочная схема электромобиля [4]
Силовая установка состоит из трёх основных элементов: Тяговых высоковольтных аккумуляторных батарей, блока управления и электродвигателя. Блок управления, в зависимости от положения управляющих органов водителя, регулирует подачу электроэнергии от тяговых батарей на привод электродвигателя. При замедлении автомобиля переключает двигатель в генераторный режим, обеспечивая рекуперацию кинетической энергии.
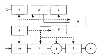
В современных электромобилях такая простейшая компоновка дополняется узлом зарядки батарей, дополнительными источниками питания, защитными устройствами и т.д. (рис. 7.15)

Рис. 7.15 Блок-схема современного электромобиля [4]
На рис. 7.15 цифрами обозначено:
1. Зарядное устройство. Обеспечивает подключение электромобиля к электросети, преобразует переменное напряжение в постоянное для заряда тяговых и вспомогательных аккумуляторных батарей.
2. Устройство защиты. Блок реле и предохранителей, которые включены между аккумуляторной батареей и потребителями.
3. Тяговая аккумуляторная батарея.
4. Блок управления.
5. Вспомогательная аккумуляторная батарея. Обычно имеет напряжение 12В. Обеспечивает работу вспомогательных устройств с малым потреблением энергии (осветительных приборов, панели приборов, стеклоподъемников, и т.д.)
6. Система климат-контроля салона. Является потребителем с большим расходом электроэнергии и обычно питается от тяговых батарей. Состоит из кондиционера и электроотопителя.
7. Электронный контроллер электродвигателя. Формирует требуемый вид напряжения питания, таким образом управляя числом оборотов и крутящим моментом двигателя.
8. Электродвигатель.
9. Механическая трансмиссия (использоваться при необходимости совместно с некоторыми видами электродвигателей).
10. Органы управления электромобилем.
11. Колеса электромобиля.
Электродвигатели и контроллеры
Для управления тяговыми электродвигателями необходимо изменять обороты двигателя и крутящий момент на валу в соответствии с воздействиями водителя и изменяющимися условиями движения, ограничивать максимальный ток. Для этих целей используется электронный контроллер электродвигателя, который должен обеспечивать:
- Плавное регулирование оборотов двигателя.
- Рекуперация энергии при торможении.
- Защита от перегрузок и перегрева.
- Реверс.
В электромобилях используются электроприводы постоянного и переменного тока. В приводах постоянного тока используются традиционные коллекторные электродвигатели с последовательным возбуждением. Обороты регулируются с помощью импульсных преобразователей постоянного напряжения. В бесколлекторных двигателях постоянного тока значительно снижается необходимость в обслуживании.
Двигатели переменного тока недороги, практически не нуждаются в обслуживании. Для их управления нужны сложные трехфазные инверторы, формирующие напряжение переменной частоты.
К электродвигателям, применяемым на электромобилях, предъявляется ряд специфических требований:
- Высокая эффективность.
- Простота техобслуживания.
- Малый вес и габариты.
- Способность выдерживать перегрузки и загрязнение.
- Безопасность.
Для удовлетворения этих требований производителями электромобилей специально разрабатываются электродвигатели под конкретный автомобиль в соответствии с его массогабаритными характеристиками. Обычно на электромобилях используются электродвигателя следующих типов:
1. Трехфазные асинхронные электродвигатели переменного тока с короткозамкнутым ротором. Управление скоростным режимом двигателя осуществляется за счёт специального контроллера, изменяющего частоты питающего напряжения. Такая конструкция практически не требует обслуживания. КПД двигателя зависит от оборотов. Момент на валу изменяется при переключении обмоток статора с треугольника на звезду и обратно. При соединении обмоток статора в треугольник двигатель развивает большие обороты, что необходимо при равномерном движении (например, по шоссе). При соединении в звезду увеличивается момент на валу двигателя, чем обеспечиваются такие режимы движения как трогание с места, ускорение, движение на подъем. Переключение обмоток звезда-треугольник аналогично переключению скоростей в коробке передач.
2. Электродвигатели постоянного тока с последовательным возбуждением. Имеют хорошие скоростные и тяговые характеристики. Поскольку обороты такого двигателя пропорциональны напряжению питания, проще организовать управление скоростным режимом. По сравнению с двигателями переменного тока у двигателей постоянного тока более низкий КПД, сложнее конструкция, ниже максимальные обороты, они нуждаются в регулярном обслуживании, более чувствительны к перегрузкам. На электромобилях с двигателями постоянного тока устанавливают многоскоростные механические коробки передач.
В двигателях постоянного тока, используемых на электромобилях, обмотки возбуждения и ротора включаются последовательно. При трогании момент на валу такого двигателя большой, но падает с ростом оборотов. Такая характеристика удовлетворительна для езды по городу, но малопригодна для движения по шоссе. Поэтому па некоторых электромобилях используются электродвигатели со смешанным (последовательно-параллельным) включением обмоток возбуждения.
3. Бесколлекторные электродвигатели постоянного тока состоят из ротора на базе постоянных магнитов и трех- или четырехсекционной обмотки на статоре. Электронный коммутатор поочередно возбуждает секции обмотки так, чтобы возникающее магнитное поле постоянно приводило в движение ротор с магнитами. Позиция ротора определяется системой управления с помощью датчика положения.
Преимуществами такой схемы перед обычными электродвигателями постоянного тока является отсутствие стираемых щеток, искрения в коллекторе, его эффективность и надежность. Бесколлекторные электродвигатели постоянного тока особенно эффективны при езде с высокой постоянной скоростью. Основной недостаток - высокая стоимость. При размещении на электромобиле обычно оборудуются одноступенчатой коробкой передач (редуктором) [4].
Бортовые источники электроэнергии
В качестве источников электрической энергии для электромобилей предполагается использовать следующие основные устройства:
- Аккумуляторные батареи,
- Ионисторы (суперконденсаторы),
- Топливные элементы.
Несмотря на все современные достижения, ни топливные элементы, ввиду дороговизны и сложности, ни ионисторы, из-за малого значения удельной запасаемой энергии, не нашли широкого применения в электромобилях. Вследствие этого основными источниками энергии для электромобилей, как и сто лет назад, остаются химические аккумуляторы, объединённые в тяговые аккумуляторные батареи [4].
Энергия, запасённая в тяговых аккумуляторных батареях, затрачивается на привод ведущих колёс и обеспечение внутренних потребителей (либо напрямую, как, например, в случае климатической установки, либо посредством вспомогательной аккумуляторной батареи с низким напряжением). К тяговым аккумуляторным батареям предъявляются следующие требования:
- Высокая удельная энергия и мощность.
- Высокий КПД.
- Большое число циклов «заряд-разряд».
- Низкая стоимость.
- Безопасность.
- Надежность.
- Незначительные затраты па техническое обслуживание.
- Малое время заряда.
- Восстанавливаемость материалов.
В настоящее ни один из производимых аккумуляторов не соответствуют большинству из предъявляемых требований. Основные недостатки - недостаточная надёжность, малый срок эксплуатации, большое время заряда, малая удельная энергия аккумуляторов ограничивают широкое распространение электромобилей. Из всей номенклатуры современных аккумуляторов на электромобилях применяются только четыре типа, основные характеристики которых приведены в табл. 7.1 [15].
Табл. 7.1
| Тип аккумулятора | Удельная энергия [Вт*час/кг] | Удельная мощность [Вт/кг] | Плотность энергии [Вт*час/дм3] | Цена [€/кВт*час] |
| Свинцово-кислотные | 32 | 430 | 68 | 100-150 |
| Никель-кадмиевые | 35 | 700 | 100 | 225-350 |
| Никель-металлогидридные | 40 | 1200 | 100 | 225-300 |
| Литий-ионные | 70 | 2000 | 150 | > 700 |
Самым популярным типом аккумуляторов, используемым в настоящее время, как в традиционных автомобилях, так и в электромобилях, являются свинцово-кислотные аккумуляторы. Их принцип работы основан на электрохимических реакциях свинца и диоксида свинца в сернокислотной среде. Во время разряда происходит восстановление диоксида свинца на катоде и окисление свинца на аноде. При заряде протекают обратные реакции, к которым в конце заряда добавляется реакция электролиза воды, сопровождающаяся выделением кислорода на положительном электроде и водорода - на отрицательном, что определяет необходимость вентиляции секций батареи.
Такие аккумуляторы характеризуются малой стоимостью и высокой надёжностью, но заметно проигрывают другим типам аккумуляторов по удельной энергии и мощности. С понижением температуры характеристики свинцово-кислотных аккумуляторов постепенно ухудшаются, но не так резко, как это происходит на других типах аккумуляторов, чем отчасти объясняется их широкое применение на транспорте. Применение в качестве электролита серной кислоты негативно влияет на окружающую среду [4].
Никель-кадмиевые аккумуляторы (Ni-Cd) выпускаются в виде герметичных блоков, поскольку образующиеся при зарядке газы специальным образом рекомбинируются и не выходят за пределы батареи, что исключает необходимость слежения за уровнем электролита. Анодом является гидрат закиси никеля Ni(OH)2 с небольшим добавлением графитового порошка, электролитом - гидроксид калия KOH с добавкой гидроксида лития LiOH, катодом - гидрат закиси кадмия Cd(OH)2 или металлический кадмий Cd.
Основной процесс, происходящий на положительном оксидно-никелевом электроде в цикле заряда-разряда аккумуляторов, описывается следующим образом:
Ni(OH)2 + OH- → NiOOH + H2O + e- (заряд)
NiOOH + H2O + e- → Ni(OH)2 + OH- (разряд)
На отрицательном кадмиевом электроде аккумулятора проходит реакция:
Cd(OH)2 + 2e- → Cd + 2OH- (заряд)
Cd + 2OH- → Cd(OH)2 + 2e- (разряд)
Преимущества:
- возможность быстрого заряда, даже после длительного хранения аккумулятора;
- большое количество циклов заряд/разряд;
- хорошая нагрузочная способность и возможность эксплуатации при низких температурах;
- продолжительные сроки хранения при любой степени заряда;
- наибольшая приспособленность для использования в жестких условиях эксплуатации;
- приемлемая стоимость;
Недостатки:
- относительно низкая энергетическая плотность;
- «эффект памяти» (образование двойного электрического слоя в электрохимической системе аккумулятора если зарядка была начата до фактической разрядки, что ведёт к падению напряжения) и необходимость проведения периодических работ по его устранению;
- токсичность применяемых материалов;
- высокий саморазряд [4].
В никель-металлгидридных аккумуляторах (Ni-MH) в качестве положительного электрода используется оксидно-никелевый электрод, как и в никель-кадмиевом аккумуляторе, а электрод из сплава никеля с редкоземельными металлами (например, сплав лантан-никель-кобальт, La-Ni-Co), поглощающий водород, используется вместо отрицательного кадмиевого электрода.
На положительном оксидно-никелевом электроде Ni-MH аккумулятора протекает реакция:
Ni(OH)2 + OH- → NiOOH + H2O + e- (заряд)
NiOOH + H2O + e- → Ni(OH)2 + OH- (разряд)
На отрицательном электроде металл с абсорбированным водородом превращается в металлгидрид:
M + H2O + e- → MH + OH- (заряд)
MH + OH- → M + H2O + e- (разряд)
Ni-MH аккумуляторы, по сравнению с Ni-Cd аккумуляторами, имеют повышенную ёмкость, практически лишены «эффекта памяти» и безопасны для окружающий среды (благодаря исключению токсичного кадмия). В то же время их срок службы меньше, чем у Ni-Cd аккумуляторов, а саморазряд выше [4].
В качестве отрицательного электрода литий-ионных аккумуляторов (Li-ion) применяется углеродистый материал, в который обратимо внедряются ионы лития. Активным материалом положительного электрода обычно служит оксид кобальта, в который также обратимо внедряются ионы лития. Электролитом является раствор соли лития в неводном растворителе (или полимерный материал с включениями гелеобразного литий-проводящего наполнителя в более совершенных литий-полимерных аккумуляторах).
При разряде Li-ion аккумулятора происходят выделение лития из углеродного материала (на отрицательном электроде) и внедрение лития в оксид кобальта (на положительном электроде). При заряде аккумулятора процессы идут в обратном направлении:
На положительных пластинах:
LiCoO2 → Li1-xCoO2 + xLi+ + xe-
На отрицательных пластинах:
С + xLi+ + xe- → CLix
Преимущества:
- Высокая энергетическая плотность,
- Низкий саморазряд,
- Отсутствие эффекта памяти,
- Простота обслуживания.
Недостатки
- Возможность взрывного разрушения при перезаряде и/или перегреве (требуется специальная защитная система),
- Выход из строя при глубоком разряде,
- Старение,
- Ограниченный температурный диапазон работы,
- Высокая цена [4].
Вопросы для самоконтроля
1. Какие альтернативные силовые установки считаются наиболее перспективными?
2. Что такое гибридные силовые установки?
3. В чём особенность механических гибридных силовых установок?
4. В чём особенность электрических гибридных силовых установок?
Рекомендуем посмотреть лекцию "2 Получение коллоидных систем (КС) и их очистка".
5. Чем характерна последовательная схема компоновки автомобиля с гибридной силовой установкой?
6. Чем характерна параллельная схема компоновки автомобиля с гибридной силовой установкой?
7. Чем характерна смешанная схема компоновки автомобиля с гибридной силовой установкой?
8. Что такое электромобиль? Как устроен?
9. Какие электродвигатели используются на электромобилях?
10. Какие источники электроэнергии используются на электромобилях?






















