Передача сигналов по кабелям
Тема 12: передача сигналов по кабелям
Все должно быть изложено так просто, как только возможно, но не проще.
Альберт Эйнштейн
Американский физик немецкий школы, ХХ век.
Осталось установить границу возможного и выкинуть подробности. Для теоретиков подробности известны по умолчанию. Но практики хорошо знают принцип лишней детали - никогда не известно, для чего она нужна, пока не выбросишь.
Владислав Микшевич
Уральский геофизик, ХХ век.
Содержание: 2.1. Основное уравнение кабельной линии. 12.2. Волновое сопротивление кабельной линии. 12.3. Режимы передачи сигналов кабельной линией. Режим бегущей волны. Режим стоячей волны. Режим несогласованной нагрузки. Задержка сигналов в кабеле. Литература.
Введение
Рекомендуемые материалы
Передача электрических сигналов по кабельным линиям связи обычно рассматривается в рамках общей теории однородных длинных видеолиний – симметричных и коаксиальных кабельных линий передачи аналоговых, дискретных и цифровых сигналов в спектре частот 0...10 МГц. Современное промышленное производство практически невозможно без стационарных и широко разветвленных внешних и внутренних линий связи.
Внутренние линии связи, управления, сбора и обработки данных в геологоразведочных и горнопромышленных отраслях производства в силу его специфики имеют свои особенности. Обычно они относятся к пассивным каналам связи и работают в условиях жестких климатических, механических и химических дестабилизирующих факторов на высоком уровне внешних электромагнитных помех. Как правило, эти каналы связи являются многожильными и для защиты от внешних факторов имеют общий стальной экран (оплетку), что существенно ограничивает частотные параметры передачи сигналов.
12.1. Основное уравнение кабельной линии [7,23]
|
|
| Рис. 12.1.1. Кабельная линия передачи сигнала. |
Однородная кабельная линия, эквивалентная электрическая схема которой приведена на рис. 12.1.1, определяется первичными электрическими параметрами: погонными значениями активного сопротивления R, индуктивности L, емкости С и проводимости G на единицу длины линии (как правило, на 1 км). На вход линии подключается источник сигналов (генератор, передатчик) с выходным сопротивлением Zo, на выход линии – приемник сигналов с входным сопротивлением Zн (нагрузка линии).
По своей физической природе первичные электрические параметры кабеля аналогичны параметрам колебательных контуров, но в отличие от них они являются не сосредоточенными, а распределены по всей длине кабеля. Этим объясняется определенная зависимость первичных параметров кабеля от частоты сигнала и от конструкции кабеля.
Сигнал на входе линии задается в виде временной функции напряжения
и тока
. На выходе линии (на нагрузке) соответственно имеем
и
. Падение напряжения и утечка тока на произвольном участке dx линии определяются уравнениями:
-d
/dx =
(R+jwL),
-d
/dx =
(G+jwC).
Решение данных уравнений для напряжения и тока в произвольной точке х линии дает следующие выражения /2/:
=
ch gx – 
sh gx, (12.1.1)
=
ch gx – (
/
) sh gx, (12.1.2)
= (R+jwL)/g =
, (12.1.3)
где
- волновое сопротивление кабеля, g - коэффициент (постоянная) распространения линии (сигнала в кабеле):
g = b + ja =
, (12.1.4)
В выражениях (12.1.1)-(12.1.2) первые члены правой части представляют собой уравнения падающих волн напряжения и тока, распространяющихся по кабелю от генератора к нагрузке, а вторые члены – уравнения волн, отраженных от конца кабеля, энергия которых не поглотилась в нагрузке. Коэффициенты
и g относят к вторичным параметрам кабеля. Выражения действительны для любой точки кабеля, в том числе и на нагрузке кабеля при x = L, где L – длина кабеля. Коэффициенты b и a являются собственными коэффициентами (собственными постоянными), соответственно, амплитудного затухания и фазового сдвига волны напряжения, проходящей через кабель. Их величины обычно задаются в значениях на 1 км кабеля и в этом случае называются километрическими (хотя последнее часто опускается и подразумевается по умолчанию). Численное значение километрического коэффициента b определяет коэффициент затухания волны напряжения, проходящей через кабель длиной 1 км. Соответственно, численным значением километрического коэффициента a задается величина сдвига фазы волны напряжения, проходящей через однокилометровый кабель.
b =
, (12.1.5)
a =
. (12.1.6)
Кабель, удовлетворяющий уравнениям 12.1.1-12.1.6, является идеальным кабелем передачи сигналов. Реальный кабель может существенно отличаться от идеального. Но основной характер зависимостей вторичных электрических параметров кабелей от первичных и качественную картину передачи сигналов по кабелю в различных условиях согласования с источником сигналов и нагрузкой целесообразно выяснить сначала на идеальном кабеле.
12.2. Волновое сопротивление кабельной линии [7,23]
Волновое сопротивление – это сопротивление линии электромагнитной волне при отсутствии отражений от концов линии. Оно зависит от первичных электрических параметров кабеля и частоты сигнала. Если электромагнитную волну представить в виде раздельных волн напряжения и тока, то соотношение между ними и представляет собой волновое сопротивление цепи:
=
/
.
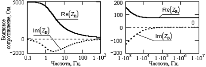
Волновое сопротивление является комплексной величиной и состоит из активной и реактивной части, частотная зависимость которых показана на рис 12.2.1. Расчет графиков проведен при условно постоянных частотно-независимых значениях электрических параметров кабеля: R = 25 Ом, L = 0.5 мГн, С = 0.1 мкФ, G = 0.1 мкСм. Эти значения, типичные для каротажных кабелей, будем использовать и в дальнейшем без дополнительных пояснений. В действительности эти параметры являются частотно - зависимыми и определяются конструкцией кабеля, но они широко используются при сравнении кабелей по электрическим параметрам, при этом значение R измеряется на постоянном токе, а значения L, C и G – на определенной частоте в диапазоне 10-50 кГц.
|
Рис. 12.2.1. |
| Рис. 12.2.1. |
Как следует из рисунка, зависимость волнового сопротивления от частоты наиболее существенна в области низких частот (менее 10 кГц) и имеет емкостной характер. В области частот более 10-20 кГц имеет место wL > R, wC >> G и значение волнового сопротивления стремится к постоянной величине
. Эту величину называют номинальным (характеристическим) волновым сопротивлением кабеля. В дальнейшем индексом Zв =
º Rв будем обозначать постоянное характеристическое сопротивление кабеля (на частотах более 50-100 кГц). Для частотной функции волнового сопротивления будем применять обозначение с аргументом по частоте Zв(w) или индекс
.
|
Рис. 12.2.2. Модуль и фаза волнового сопротивления. Рис. 12.2.3. Частотные функции b и a. |
Как комплексную величину, волновое сопротивление можно представить в форме:
Zв(w) = zв(w)exp(jjв(w)),
где: zв(w) – частотная функция модуля волнового сопротивления (абсолютная величина отношения амплитудных значений напряжения и тока по аргументу – частоте w) в любой точке линии, j - частотная функция угловых значений, равных разности фаз волн напряжения и тока. Частотная зависимость значений модуля и фазового угла волнового сопротивления приведена на рис. 12.2.2. Как следует из графиков, волна тока в области низких частот опережает волну напряжения в максимуме на 45о.
|
Рис. 12.2.4. Частотные функции b и a. |
На рис. 12.2.3-4 приведены графики зависимости коэффициентов затухания b и фазового сдвига a (в относительных единицах) от частоты. В технической документации значение коэффициента b обычно приводится в неперах на километр. По мере нарастания частоты коэффициент затухания сначала плавно увеличивается с постепенным уменьшением степени увеличения, а затем, начиная с частоты порядка 10-20 кГц, практически постоянен и равен:
b = 0.5×(R
+ G
).
Коэффициент фазового сдвига на низких частотах увеличивается синхронно с коэффициентом затухания (при f < 1 кГц b » a), а затем, начиная с частоты порядка 1 кГц, нарастает линейно и пропорционально частоте (a = w
). Это обеспечивает формирование фронтальной волны распространения сигнала по кабелю с постоянной скоростью для всех частотных составляющих сигнала, за исключением низких частот, и сохранение формы сигналов на нагрузке. Отсюда следует, что кабель является оптимальной линией передачи высокочастотных и радиоимпульсных сигналов, энергия частотного спектра которых минимальна в области низких частот.
При совместном рассмотрении рисунков 12.2.1-12.2.4 нетрудно сделать вывод, что, начиная с частот порядка 5-10 кГц, кабельные линии связи имеют практически постоянные параметры. Именно в этой частотной области обеспечиваются минимальные искажения формы частотного спектра сигналов, а соответственно и формы самих сигналов при их передаче по линии связи.
Коэффициент передачи сигнала по напряжению по кабельной линии в общем виде может быть определен из выражения (12.1.1):
=
/
= ch gL – (
/
)sh gL, (12.2.1)
= ch gL – (
/
)sh gL, (12.2.1')
где L – длина кабеля, Zвх – входное сопротивление кабеля, которое также является комплексной величиной и зависит от частоты:
=
×(Zн ch gL +
sh gL) / (
ch gL + Zн sh gL). (12.2.2)
12.3. Режимы передачи сигналов кабельной линией [7,23]
В зависимости от величины нагрузки Zн на выходе линии различают три режима передачи сигналов:
1. Режим бегущей волны сигнала при Zн =
. В этом (согласованном) режиме
/
=
/
=
, входное сопротивление кабеля также равно волновому сопротивлению
=
, отражения сигнала от концов линии отсутствуют и выражения (12.1.1), (12.1.2), (12.2.1) упрощаются:
=
ехр(-gL),
=
ехр(-gL),
= ехр(-gL). (12.3.1)
Коэффициент передачи сигнала представить в форме:
= e-(b+ja)L = e-bL e-jaL = |
| e-jj, (12.3.1')
|
| = e-bL, e-jaL = e-jj,
|
Рис. 12.3.1. Передаточные характеристики кабелей. |
Эти выражения достаточно ясно показывают, почему коэффициенты b и a называют коэффициентами затухания b (коэффициент, характеризующий уменьшение абсолютных значений напряжения или тока на выходе линии по отношению к входному сигналу) и фазового сдвига a (изменение угла векторов тока или напряжения на выходе линии относительно входного сигнала) при прохождении сигнала через единичный отрезок кабеля.
На практике коэффициент затухания амплитудных значений сигнала при его передаче по кабелю обычно измеряют в логарифмических единицах отношения амплитуды сигнала на входе кабеля к амплитуде сигнала на его выходе в неперах на 1 км, т.е.:
ln(Uвх/Uвых) = ln(1/exp(-b) = b,
при этом численные значения коэффициента затухания сигнала в неперах совпадают со значениями коэффициента b в относительных единицах.
На рис. 12.3.1 приведены графики модуля коэффициента передачи сигнала, вычисленные по (12.3.1) при разных значениях длины кабеля. По существу, эти графики представляют собой передаточные амплитудно – частотные характеристики (АЧХ) идеальных кабелей, согласованных по нагрузке во всем частотном диапазоне.
Затухание сигналов в кабеле определяется потерями его энергии. Потери энергии в кабеле подразделяются на два вида: потери в активном сопротивлении кабеля R (нагревание токопроводящих проводников), и потери в изоляции кабеля, определяемые значением G ее проводимости. В общем случае проводимость G зависит от прямой утечки тока через диэлектрик и затрат энергии на его поляризацию:
G = (1/Rи) + w×C×tg(d), (12.3.2)
где: Rи – омическое сопротивление изоляции постоянному току, С – емкость кабеля, tg(d) – угол диэлектрических потерь. Для современных изоляционных материалов значение угла диэлектрических потерь обычно не превышает десятитысячных долей и начинает сказываться только на очень высоких частотах (десятки МГц). Отсюда следует, что изменение АЧХ в области низких и средних частот обусловлено, в основном, изменением соотношения сопротивлений R и Zн =
и стабилизируется при частотах выше 10 кГц, где Zн =
Þ Rв = const (рис.12.2.2).
|
|
| Рис. 12.3.2. Фазочастотные характеристики согласованных кабелей. |
Что касается фазочастотных характеристик (ФЧХ) кабелей, приведенных на рис. 12.3.2, то, как это следует из величины a (см. рис. 12.2.4), значение фазового угла j = -aL увеличивается с увеличением частоты, а на частотах выше 20 кГц равно -wL
, т.е. прямо пропорционально частоте и длине кабеля. Из выражения (12.3.1’) следует также, что значения коэффициента сдвига фазы a в относительных единицах без учета знаков численно равны значениям угла сдвига фазы волны напряжения (тока) в радианах при прохождении через единичный отрезок кабеля. Соответственно, с учетом знаков, j = -aL в радианах. Отклонение от линейности (в сторону больших углов сдвига) наблюдается только на низких частотах (менее 20 кГц).
Режим согласованной нагрузки наиболее эффективен при передаче сигналов по кабелю. Однако в пассивных линиях связи обеспечить такой режим при передаче импульсных широкополосных сигналов практически невозможно без применения систем формирования специальной формы частотной зависимости выходного сопротивления генератора и входного сопротивления приемника, соответствующей волновому сопротивлению кабеля. Как правило, для решения данной проблемы используются альтернативные решения: применение частотно – зависимых корректоров формы сигналов на выходе кабеля или фильтров частичной деконволюции импульсного отклика кабеля (фильтры направленного сжатия формы импульсного отклика).
2. Режим стоячей волны устанавливается в кабеле при Zн = 0 (короткозамкнутая линия) или Zн = ¥ (режим холостого хода). Эти режимы применяются при измерениях волнового сопротивления кабеля.
3. Режим несогласованной нагрузки при Zн ¹
. Как правило, сопротивление нагрузки представляет собой постоянную величину Zн Þ Rн, независимую или слабо зависимую от частоты сигнала. Но согласованность кабеля с нагрузкой является частотно-зависимой даже при Zн = Rв, что определяет зависимость от частоты и входного сопротивления кабеля. На рис. 12.3.3(А,В) приведены частотные зависимости модулей и фазовых углов входного сопротивления кабелей различной длины при сопротивлении нагрузки, равной характеристическому волновому сопротивлению.
|
Рис. 12.3.3. Частотные характеристики входного сопротивления кабелей в зависимости от длины кабеля и значения сопротивления нагрузки. |
Как следует из графиков, входное сопротивление для низкочастотного диапазона (менее 1-20 кГц в зависимости от длины кабеля) отличается по своей величине и характеру от диапазона выше 10-50 кГц, где оно практически постоянно и равно волновому сопротивлению кабеля. В диапазоне менее 1 кГц входное сопротивление выше волнового на величину, примерно равную сопротивлению жилы постоянному току, и также является преимущественно активным. Между этими двумя диапазонами выделяется переходная зона, где входное сопротивление имеет реактивную составляющую емкостного характера.
При Rн ¹ Rв характер входного сопротивления кабеля и его фазового угла усложняется, что можно наглядно видеть на рис. 12.3.3(C,D, E, F). Из этих рисунков очевидно, что при невозможности согласования кабеля по всему частотному диапазону необходимо, по крайней мере, стремиться выполнить условие Rн = Rв.
Неполная согласованность кабеля с нагрузкой создает отраженные волны, которые достигают начала кабеля и при Zо ¹
снова отражается назад в кабель, что приводит к искажению сигналов. Условие Rо = Rв является оптимальным и для согласования источника сигнала с кабелем. Затухание линии при фиксированных значениях сопротивлений нагрузки Rн и источника сигнала Rо называют рабочим затуханием кабеля и вычисляют по формуле:
bр = b×L +
+
+
, (12.3.3)
где первый член b×L в правой части уравнения – собственное затухание кабеля, второй и третий члены – дополнительное затухание вследствие неполного согласования с нагрузкой и с генератором, а последний член – влияние многократных отражений от концов кабеля.
При постоянных сопротивлениях источника сигнала и нагрузки, равных волновому сопротивлению, кабель остается существенно рассогласован на низких частотах, при этом километрический коэффициент рабочего затухания, вычисленный по (12.3.3) с приведением к 1 км, на низких частотах зависит от длины кабеля, что видно на рис. 12.3.4(A). Это объясняется тем, что при больших коэффициентах отражения электромагнитных волн от концов кабеля и их многократной пульсации по кабелю общие потери энергии на кабеле существенно зависят от его длины. Этот факт необходимо учитывать при использовании наземных приборов с коррекцией частотных искажений сигнала.
|
Рис. 12.3.4. Частотные функции рабочих километрических коэффициентов затухания сигнала в зависимости от длины кабеля и согласования с нагрузкой |
На рис. 12.3.4(В,С) дополнительно приведены графики частотной зависимости километрического коэффициента рабочего затухания bр, вычисленные по (12.3.3) при Zo = Zв и разных значениях нагрузки кабеля по отношению к его номинальному волновому сопротивлению (Zв на высоких частотах). Как следует из графиков, при рассогласовании кабеля с нагрузкой затухание сигнала на частотах более 50 кГц увеличивается, в основном, за счет отражения сигнала от нагрузки, причем в тем большей степени, чем меньше длина кабеля (и, соответственно, больше абсолютная доля отраженной энергии сигнала и ее поглощение в кабеле). Характер изменения затухания на частотах ниже 50 кГц еще более сложен и зависит как от знака изменения нагрузки относительно волнового сопротивления, так и от длины кабеля, причем при Rн < Rв затухание увеличивается, а при Rн < Rв уменьшается для кабелей большой длины. Аналогичная картина наблюдается и при изменении сопротивления генератора относительно номинального волнового при постоянном сопротивлении нагрузки.
Таким образом, при сопротивлении нагрузки близкой к номинальному волновому сопротивлению, километрический коэффициент затухания имеет два разных уровня с переходной границей в области средних частот. Высокочастотный уровень достаточно слабо зависит от длины кабеля и сопротивлений нагрузки и генератора, а низкочастотный уровень может существенно изменяться при изменении сопротивления нагрузки или генератора. Это позволяет использовать режим согласованной с номинальным волновым сопротивлением нагрузки кабеля в качестве основного режима передачи сигналов по кабелю, при этом небольшим направленным рассогласованием кабеля с нагрузкой или генератором коэффициент затухания сигнала может быть сделан практически равномерным по всему частотному диапазону. Вместе с тем графики еще раз свидетельствуют о целесообразности передачи информации сигналами, имеющими минимальную энергию в области низких частот (с нулевым средним значением амплитудной последовательности сигналов).
|
|
| Рис. 12.3.5. Частотные функция скорости распространения волн в кабеле. |
Задержка сигналов в кабеле. Если коэффициент a определяет сдвиг по фазе колебания с частотой f на единице длины, то длина волны l в единицах длины кабеля будет равна длине кабеля, при которой сдвиг по фазе достигает величины 2p, т.е. la = 2p. С учетом этого скорость распространения электромагнитных волн в кабеле, график зависимости которой от частоты колебаний приведен на рис. 12.3.5, определяется выражением:
u(f) = f ×l, u(w) = w/a. (12.3.4)
Максимальная задержка сигнала соответствует низким частотам. На частотах выше 10 кГц при a = w
значение скорости распространения волны стремится к постоянной величине u = 1/
.
| Рекомендуем посмотреть лекцию "11 Кристаллизация и строение стальных слитков".
Рис. 12.3.6. Функции временной задержки волн в кабеле |
На рис. 12.3.6 приведены функции временной задержки частотных составляющих (tз(w) = L/u(w)) в кабеле.
В целом, из рассмотрения основных электрических характеристик кабеля следуют два, во многом очевидных для практиков вывода:
1. Оптимальная величина сопротивления нагрузки кабеля и выходного сопротивления источника сигналов должна быть равна характеристическому сопротивлению кабеля.
2. Энергия сигналов должна быть минимальной в области низких частот.

































