Инфокоммуникационные технологии
Тема лекции № 9: Инфокоммуникационные технологии (1 час)
План
- Роль стандартов в области инфокоммуникационных технологии, виды стандартов для систем и сетей.
- Семиуровневая эталонная модель взаимодействия открытых систем (модель OSI)
Универсальный тезис о пользе стандартизации, справедливый для всех отраслей, в компьютерных сетях приобретает особое значение. Суть сети - это соединение разного оборудования, а значит, проблема совместимости является одной из наиболее острых. Без принятия всеми производителями общепринятых правил построения оборудования прогресс в деле «строительства» сетей был бы невозможен. Поэтому все развитие компьютерной отрасли в конечном счете отражено в стандартах - любая новая технология только тогда приобретает «законный» статус, когда ее содержание закрепляется в соответствующем стандарте.
В компьютерных сетях идеологической основой стандартизации является многоуровневый подход к разработке средств сетевого взаимодействия. Именно на основе этого подхода была разработана стандартная семиуровневая модель взаимодействия открытых систем, ставшая своего рода универсальным языком сетевых специалистов.
Организация взаимодействия между устройствами в сети является сложной задачей. Как известно, для решения сложных задач используется универсальный прием - декомпозиция, то есть разбиение одной сложной задачи на несколько более простых задач-модулей (рис. 1.20). Процедура декомпозиции включает в себя четкое определение функций каждого модуля, решающего отдельную задачу, и интерфейсов между ними. В результате достигается логическое упрощение задачи, а кроме того, появляется возможность модификации отдельных модулей без изменения остальной части системы.

Рис. 1.20. Пример декомпозиции задачи
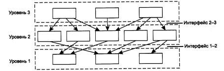
При декомпозиции часто используют многоуровневый подход. Он заключается в следующем. Все множество модулей разбивают на уровни. Уровни образуют иерархию, то есть имеются вышележащие и нижележащие уровни (рис. 1.21). Множество модулей, составляющих каждый уровень, сформировано таким образом, что для выполнения своих задач они обращаются с запросами только к модулям непосредственно примыкающего нижележащего уровня. С другой стороны, результаты работы всех модулей, принадлежащих некоторому уровню, могут быть переданы только модулям соседнего вышележащего уровня. Такая иерархическая декомпозиция задачи предполагает четкое определение функции каждого уровня и интерфейсов между уровнями. Интерфейс определяет набор функций, которые нижележащий уровень предоставляет вышележащему. В результате иерархической декомпозиции достигается относительная независимость уровней, а значит, и возможность их легкой замены.

Рекомендуемые материалы
Рис. 1.21. Многоуровневый подход - создание иерархии задач
Средства сетевого взаимодействия, конечно, тоже могут быть представлены в виде иерархически организованного множества модулей. При этом модули нижнего уровня могут, например, решать все вопросы, связанные с надежной передачей электрических сигналов между двумя соседними узлами. Модули более высокого уровня организуют транспортировку сообщений в пределах всей сети, пользуясь для этого средствами упомянутого нижележащего уровня. А на верхнем уровне работают модули, предоставляющие пользователям доступ к различным службам - файловой, печати и т. п. Конечно, это только один из множества возможных вариантов деления общей задачи организации сетевого взаимодействия на частные подзадачи.
Многоуровневый подход к описанию и реализации функций системы применяется не только в отношении сетевых средств. Такая модель функционирования используется, например, в локальных файловых системах, когда поступивший запрос на доступ к файлу последовательно обрабатывается несколькими программными уровнями (рис. 1.22). Запрос вначале анализируется верхним уровнем, на котором осуществляется последовательный разбор составного символьного имени файла и определение уникального идентификатора файла. Следующий уровень находит по уникальному имени все основные характеристики файла: адрес, атрибуты доступа и т. п. Затем на более низком уровне осуществляется проверка прав доступа к этому файлу, а далее, после расчета координат области файла, содержащей требуемые данные, выполняется физический обмен с внешним устройством с помощью драйвера диска.

Рис. 1.22. Многоуровневая модель файловой системы
Многоуровневое представление средств сетевого взаимодействия имеет свою специфику, связанную с тем, что в процессе обмена сообщениями участвуют две машины, то есть в данном случае необходимо организовать согласованную работу двух «иерархий». При передаче сообщений оба участника сетевого обмена должны принять множество соглашений. Например, они должны согласовать уровни и форму электрических сигналов, способ определения длины сообщений, договориться о методах контроля достоверности и т. п. Другими словами, соглашения должны быть приняты для всех уровней, начиная от самого низкого - уровня передачи битов - до самого высокого, реализующего сервис для пользователей сети.
Уровни модели OSI
Физический уровень
Физический уровень (Physical layer) имеет дело с передачей битов по физическим каналам связи, таким, например, как коаксиальный кабель, витая пара, оптоволоконный кабель или цифровой территориальный канал. К этому уровню имеют отношение характеристики физических сред передачи данных, такие как полоса пропускания, помехозащищенность, волновое сопротивление и другие. На этом же уровне определяются характеристики электрических сигналов, передающих дискретную информацию, например, крутизна фронтов импульсов, уровни напряжения или тока передаваемого сигнала, тип кодирования, скорость передачи сигналов. Кроме этого, здесь стандартизуются типы разъемов и назначение каждого контакта.
Функции физического уровня реализуются во всех устройствах, подключенных к сети. Со стороны компьютера функции физического уровня выполняются сетевым адаптером или последовательным портом.
Примером протокола физического уровня может служить спецификация l0-Base-T технологии Ethernet, которая определяет в качестве используемого кабеля неэкранированную витую пару категории 3 с волновым сопротивлением 100 Ом, разъем RJ-45, максимальную длину физического сегмента 100 метров, манчестерский код для представления данных в кабеле, а также некоторые другие характеристики среды и электрических сигналов.
Канальный уровень
На физическом уровне просто пересылаются биты. При этом не учитывается, что в некоторых сетях, в которых линии связи используются (разделяются) попеременно несколькими парами взаимодействующих компьютеров, физическая среда передачи может быть занята. Поэтому одной из задач канального уровня (Data Link layer) является проверка доступности среды передачи. Другой задачей канального уровня является реализация механизмов обнаружения и коррекции ошибок. Для этого на канальном уровне биты группируются в наборы, называемые кадрами (frames). Канальный уровень обеспечивает корректность передачи каждого кадра, помещая специальную последовательность бит в начало и конец каждого кадра, для его выделения, а также вычисляет контрольную сумму, обрабатывая все байты кадра определенным способом и добавляя контрольную сумму к кадру. Когда кадр приходит по сети, получатель снова вычисляет контрольную сумму полученных данных и сравнивает результат с контрольной суммой из кадра. Если они совпадают, кадр считается правильным и принимается. Если же контрольные суммы не совпадают, то фиксируется ошибка. Канальный уровень может не только обнаруживать ошибки, но и исправлять их за счет повторной передачи поврежденных кадров. Необходимо отметить, что функция исправления ошибок не является обязательной для канального уровня, поэтому в некоторых протоколах этого уровня она отсутствует, например, в Ethernet и frame relay.
В протоколах канального уровня, используемых в локальных сетях, заложена определенная структура связей между компьютерами и способы их адресации. Хотя канальный уровень и обеспечивает доставку кадра между любыми двумя узлами локальной сети, он это делает только в сети с совершенно определенной топологией связей, именно той топологией, для которой он был разработан. К таким типовым топологиям, поддерживаемым протоколами канального уровня локальных сетей, относятся общая шина, кольцо и звезда, а также структуры, полученные из них с помощью мостов и коммутаторов. Примерами протоколов канального уровня являются протоколы Ethernet, Token Ring, FDDI, l00VG-AnyLAN.
В локальных сетях протоколы канального уровня используются компьютерами, мостами, коммутаторами и маршрутизаторами. В компьютерах функции канального уровня реализуются совместными усилиями сетевых адаптеров и их драйверов.
В глобальных сетях, которые редко обладают регулярной топологией, канальный уровень часто обеспечивает обмен сообщениями только между двумя соседними компьютерами, соединенными индивидуальной линией связи. Примерами протоколов «точка-точка» (как часто называют такие протоколы) могут служить широко распространенные протоколы РРР и LAP-B. В таких случаях для доставки сообщений между конечными узлами через всю сеть используются средства сетевого уровня. Именно так организованы сети Х.25. Иногда в глобальных сетях функции канального уровня в чистом виде выделить трудно, так как в одном и том же протоколе они объединяются с функциями сетевого уровня. Примерами такого подхода могут служить протоколы технологий АТМ и frame relay.
В целом канальный уровень представляет собой весьма мощный и законченный набор функций по пересылке сообщений между узлами сети. В некоторых случаях протоколы канального уровня оказываются самодостаточными транспортными средствами и могут допускать работу поверх них непосредственно протоколов прикладного уровня или приложений, без привлечения средств сетевого и транспортного уровней. Например, существует реализация протокола управления сетью SNMP непосредственно поверх Ethernet, хотя стандартно этот протокол работает поверх сетевого протокола IP и транспортного протокола UDP. Естественно, что применение такой реализации будет ограниченным - она не подходит для составных сетей разных технологий, например Ethernet и Х.25, и даже для такой сети, в которой во всех сегментах применяется Ethernet, но между сегментами существуют петлевид-ные связи. А вот в двухсегментной сети Ethernet, объединенной мостом, реализация SNMP над канальным уровнем будет вполне работоспособна.
Тем не менее для обеспечения качественной транспортировки сообщений в сетях любых топологий и технологий функций канального уровня оказывается недостаточно, поэтому в модели OSI решение этой задачи возлагается на два следующих уровня - сетевой и транспортный.
Сетевой уровень
Сетевой уровень (Network layer) служит для образования единой транспортной системы, объединяющей несколько сетей, причем эти сети могут использовать совершенно различные принципы передачи сообщений между конечными узлами и обладать произвольной структурой связей. Функции сетевого уровня достаточно разнообразны. Начнем их рассмотрение на примере объединения локальных сетей.
Протоколы канального уровня локальных сетей обеспечивают доставку данных между любыми узлами только в сети с соответствующей типовой топологией, например топологией иерархической звезды. Это очень жесткое ограничение, которое не позволяет строить сети с развитой структурой, например, сети, объединяющие несколько сетей предприятия в единую сеть, или высоконадежные сети, в которых существуют избыточные связи между узлами. Можно было бы усложнять протоколы канального уровня для поддержания петлевидных избыточных связей, но принцип разделения обязанностей между уровнями приводит к другому решению. Чтобы с одной стороны сохранить простоту процедур передачи данных для типовых топологий, а с другой допустить использование произвольных топологий, вводится дополнительный сетевой уровень.
На сетевом уровне сам термин сеть наделяют специфическим значением. В данном случае под сетью понимается совокупность компьютеров, соединенных между собой в соответствии с одной из стандартных типовых топологий и использующих для передачи данных один из протоколов канального уровня, определенный для этой топологии.
Внутри сети доставка данных обеспечивается соответствующим канальным уровнем, а вот доставкой данных между сетями занимается сетевой уровень, который и поддерживает возможность правильного выбора маршрута передачи сообщения даже в том случае, когда структура связей между составляющими сетями имеет характер, отличный от принятого в протоколах канального уровня. Сети соединяются между собой специальными устройствами, называемыми маршрутизаторами. Маршрутизатор - это устройство, которое собирает информацию о топологии межсетевых соединений и на ее основании пересылает пакеты сетевого уровня в сеть назначения. Чтобы передать сообщение от отправителя, находящегося в одной сети, получателю, находящемуся в другой сети, нужно совершить некоторое количество транзитных передач между сетями, или хопов (от hop - прыжок), каждый раз выбирая подходящий маршрут. Таким образом, маршрут представляет собой последовательность маршрутизаторов, через которые проходит пакет.
На рис. 1.27 показаны четыре сети, связанные тремя маршрутизаторами. Между узлами А и В данной сети пролегают два маршрута: первый через маршрутизаторы 1 и 3, а второй через маршрутизаторы 1, 2 и 3.

Рис. 1.27. Пример составной сети
Проблема выбора наилучшего пути называется маршрутизацией, и ее решение является одной из главных задач сетевого уровня. Эта проблема осложняется тем, что самый короткий путь не всегда самый лучший. Часто критерием при выборе маршрута является время передачи данных по этому маршруту; оно зависит от пропускной способности каналов связи и интенсивности трафика, которая может изменяться с течением времени. Некоторые алгоритмы маршрутизации пытаются приспособиться к изменению нагрузки, в то время как другие принимают решения на основе средних показателей за длительное время. Выбор маршрута может осуществляться и по другим критериям, например надежности передачи.
В общем случае функции сетевого уровня шире, чем функции передачи сообщений по связям с нестандартной структурой, которые мы сейчас рассмотрели на примере объединения нескольких локальных сетей. Сетевой уровень решает также задачи согласования разных технологий, упрощения адресации в крупных сетях и создания надежных и гибких барьеров на пути нежелательного трафика между сетями.
Сообщения сетевого уровня принято называть пакетами (packets). При организации доставки пакетов на сетевом уровне используется понятие «номер сети». В этом случае адрес получателя состоит из старшей части - номера сети и младшей - номера узла в этой сети. Все узлы одной сети должны иметь одну и ту же старшую часть адреса, поэтому термину «сеть» на сетевом уровне можно дать и другое, более формальное определение: сеть - это совокупность узлов, сетевой адрес которых содержит один и тот же номер сети.
На сетевом уровне определяются два вида протоколов. Первый вид - сетевые протоколы (routed protocols) - реализуют продвижение пакетов через сеть. Именно эти протоколы обычно имеют в виду, когда говорят о протоколах сетевого уровня. Однако часто к сетевому уровню относят и другой вид протоколов, называемых протоколами обмена маршрутной информацией или просто протоколами маршрутизации (routing protocols). С помощью этих протоколов маршрутизаторы собирают информацию о топологии межсетевых соединений. Протоколы сетевого уровня реализуются программными модулями операционной системы, а также программными и аппаратными средствами маршрутизаторов.
На сетевом уровне работают протоколы еще одного типа, которые отвечают за отображение адреса узла, используемого на сетевом уровне, в локальный адрес сети. Такие протоколы часто называют протоколами разрешения адресов - Address Resolution Protocol, ARP. Иногда их относят не к сетевому уровню, а к канальному, хотя тонкости классификации не изменяют их сути. Примерами протоколов сетевого уровня являются протокол межсетевого взаимодействия IP стека TCP/IP и протокол межсетевого обмена пакетами IPX стека Novell.
Транспортный уровень
На пути от отправителя к получателю пакеты могут быть искажены или утеряны. Хотя некоторые приложения имеют собственные средства обработки ошибок, существуют и такие, которые предпочитают сразу иметь дело с надежным соединением. Транспортный уровень (Transport layer) обеспечивает приложениям или верхним уровням стека - прикладному и сеансовому - передачу данных с той степенью надежности, которая им требуется. Модель OSI определяет пять классов сервиса, предоставляемых транспортным уровнем. Эти виды сервиса отличаются качеством предоставляемых услуг: срочностью, возможностью восстановления прерванной связи, наличием средств мультиплексирования нескольких соединений между различными прикладными протоколами через общий транспортный протокол, а главное - способностью к обнаружению и исправлению ошибок передачи, таких как искажение, потеря и дублирование пакетов.
Выбор класса сервиса транспортного уровня определяется, с одной стороны, тем, в какой степени задача обеспечения надежности решается самими приложениями и протоколами более высоких, чем транспортный, уровней, а с другой стороны, этот выбор зависит от того, насколько надежной является система транспортировки данных в сети, обеспечиваемая уровнями, расположенными ниже транспортного - сетевым, канальным и физическим. Так, например, если качество каналов передачи связи очень высокое и вероятность возникновения ошибок, не обнаруженных протоколами более низких уровней, невелика, то разумно воспользоваться одним из облегченных сервисов транспортного уровня, не обремененных многочисленными проверками, квитированием и другими приемами повышения надежности. Если же транспортные средства нижних уровней изначально очень ненадежны, то целесообразно обратиться к наиболее развитому сервису транспортного уровня, который работает, используя максимум средств для обнаружения и устранения ошибок, - с помощью предварительного установления логического соединения, контроля доставки сообщений по контрольным суммам и циклической нумерации пакетов, установления тайм-аутов доставки и т. п.
Как правило, все протоколы, начиная с транспортного уровня и выше, реализуются программными средствами конечных узлов сети - компонентами их сетевых операционных систем. В качестве примера транспортных протоколов можно привести протоколы TCP и UDP стека TCP/IP и протокол SPX стека Novell. Протоколы нижних четырех уровней обобщенно называют сетевым транспортом или транспортной подсистемой, так как они полностью решают задачу транспортировки сообщений с заданным уровнем качества в составных сетях с произвольной топологией и различными технологиями. Остальные три верхних уровня решают задачи предоставления прикладных сервисов на основании имеющейся транспортной подсистемы.
Сеансовый уровень
Сеансовый уровень (Session layer) обеспечивает управление диалогом: фиксирует, какая из сторон является активной в настоящий момент, предоставляет средства синхронизации. Последние позволяют вставлять контрольные точки в длинные передачи, чтобы в случае отказа можно было вернуться назад к последней контрольной точке, а не начинать все с начала. На практике немногие приложения используют сеансовый уровень, и он редко реализуется в виде отдельных протоколов, хотя функции этого уровня часто объединяют с функциями прикладного уровня и реализуют в одном протоколе.
Представительный уровень
Представительный уровень (Presentation layer) имеет дело с формой представления передаваемой по сети информации, не меняя при этом ее содержания. За счет уровня представления информация, передаваемая прикладным уровнем одной системы, всегда понятна прикладному уровню другой системы. С помощью средств данного уровня протоколы прикладных уровней могут преодолеть синтаксические различия в представлении данных или же различия в кодах символов, например кодов ASCII и EBCDIC. На этом уровне может выполняться шифрование и дешифрование данных, благодаря которому секретность обмена данными обеспечивается сразу для всех прикладных служб. Примером такого протокола является протокол Secure Socket Layer (SSL), который обеспечивает секретный обмен сообщениями для протоколов прикладного уровня стека TCP/IP.
Прикладной уровень
Прикладной уровень (Application layer) - это в действительности просто набор разнообразных протоколов, с помощью которых пользователи сети получают доступ к разделяемым ресурсам, таким как файлы, принтеры или гипертекстовые Web-страницы, а также организуют свою совместную работу, например, с помощью протокола электронной почты. Единица данных, которой оперирует прикладной уровень, обычно называется сообщением (message).
Существует очень большое разнообразие служб прикладного уровня. Приведем в качестве примера хотя бы несколько наиболее распространенных реализации файловых служб: NCP в операционной системе Novell NetWare, SMB в Microsoft Windows NT, NFS, FTP и TFTP, входящие в стек TCP/IP.
Сетезависимые и сетенезависимые уровни
Функции всех уровней модели OSI могут быть отнесены к одной из двух групп: либо к функциям, зависящим от конкретной технической реализации сети, либо к функциям, ориентированным на работу с приложениями.
Три нижних уровня - физический, канальный и сетевой - являются сетезависимыми, то есть протоколы этих уровней тесно связаны с технической реализацией сети и используемым коммуникационным оборудованием. Например, переход на оборудование FDDI означает полную смену протоколов физического и канального уровней во всех узлах сети.
Три верхних уровня - прикладной, представительный и сеансовый - ориентированы на приложения и мало зависят от технических особенностей построения сети. На протоколы этих уровней не влияют какие бы то ни было изменения в топологии сети, замена оборудования или переход на другую сетевую технологию. Так, переход от Ethernet на высокоскоростную технологию l00VG-AnyLAN не потребует никаких изменений в программных средствах, реализующих функции прикладного, представительного и сеансового уровней.
Транспортный уровень является промежуточным, он скрывает все детали функционирования нижних уровней от верхних. Это позволяет разрабатывать приложения, не зависящие от технических средств непосредственной транспортировки сообщений. На рис. 1.28 показаны уровни модели OSI, на которых работают различные элементы сети. Компьютер с установленной на нем сетевой ОС взаимодействует с другим компьютером с помощью протоколов всех семи уровней. Это взаимодействие компьютеры осуществляют опосредовано через различные коммуникационные устройства: концентраторы, модемы, мосты, коммутаторы, маршрутизаторы, мультиплексоры. В зависимости от типа коммуникационное устройство может работать либо только на физическом уровне (повторитель), либо на физическом и канальном (мост), либо на физическом, канальном и сетевом, иногда захватывая и транспортный уровень (маршрутизатор). На рис. 1.29 показано соответствие функций различных коммуникационных устройств уровням модели OSI.

Рис. 1.28. Сетезависимые и сетенезависимые уровни модели OSI

Рис.1.29. Соответствие функций различных устройств сети уровням модели OSI
Модель OSI представляет хотя и очень важную, но только одну из многих моделей коммуникаций. Эти модели и связанные с ними стеки протоколов могут отличаться количеством уровней, их функциями, форматами сообщений, службами, поддерживаемыми на верхних уровнях, и прочими параметрами.
Понятие «открытая система»
Модель OSI, как это следует из ее названия (Open System Interconnection), описывает взаимосвязи открытых систем. Что же такое открытая система?
В широком смысле открытой системой может быть названа любая система (компьютер, вычислительная сеть, ОС, программный пакет, другие аппаратные и программные продукты), которая построена в соответствии с открытыми спецификациями.
Напомним, что под термином «спецификация» (в вычислительной технике) понимают формализованное описание аппаратных или программных компонентов, способов их функционирования, взаимодействия с другими компонентами, условий эксплуатации, ограничений и особых характеристик. Понятно, что не всякая спецификация является стандартом. В свою очередь, под открытыми спецификациями понимаются опубликованные, общедоступные спецификации, соответствующие стандартам и принятые в результате достижения согласия после всестороннего обсуждения всеми заинтересованными сторонами.
Использование при разработке систем открытых спецификаций позволяет третьим сторонам разрабатывать для этих систем различные аппаратные или программные средства расширения и модификации, а также создавать программно-аппаратные комплексы из продуктов разных производителей.
Для реальных систем полная открытость является недостижимым идеалом. Как правило, даже в системах, называемых открытыми, этому определению соответствуют лишь некоторые части, поддерживающие внешние интерфейсы. Например, открытость семейства операционных систем Unix заключается, кроме всего прочего, в наличии стандартизованного программного интерфейса между ядром и приложениями, что позволяет легко переносить приложения из среды одной версии Unix в среду другой версии. Еще одним примером частичной открытости является применение в достаточно закрытой операционной системе Novell NetWare открытого интерфейса Open Driver Interface (ODI) для включения в систему драйверов сетевых адаптеров независимых производителей. Чем больше открытых спецификаций использовано при разработке системы, тем более открытой она является.
Модель OSI касается только одного аспекта открытости, а именно открытости средств взаимодействия устройств, связанных в вычислительную сеть. Здесь под открытой системой понимается сетевое устройство, готовое взаимодействовать с другими сетевыми устройствами с использованием стандартных правил, определяющих формат, содержание и значение принимаемых и отправляемых сообщений.
Бесплатная лекция: "63 Договор дарения" также доступна.
Если две сети построены с соблюдением принципов открытости, то это дает следующие преимущества:
· возможность построения сети из аппаратных и программных средств различных производителей, придерживающихся одного и того же стандарта;
· возможность безболезненной замены отдельных компонентов сети другими, более совершенными, что позволяет сети развиваться с минимальными затратами;
· возможность легкого сопряжения одной сети с другой;
· простота освоения и обслуживания сети.
Ярким примером открытой системы является международная сеть Internet. Эта сеть развивалась в полном соответствии с требованиями, предъявляемыми к открытым системам. В разработке ее стандартов принимали участие тысячи специалистов-пользователей этой сети из различных университетов, научных организаций и фирм-производителей вычислительной аппаратуры и программного обеспечения, работающих в разных странах. Само название стандартов, определяющих работу сети Internet - Request For Comments (RFC), что можно перевести как «запрос на комментарии», - показывает гласный и открытый характер принимаемых стандартов. В результате сеть Internet сумела объединить в себе самое разнообразное оборудование и программное обеспечение огромного числа сетей, разбросанных по всему миру.






















