Конвективный теплообмен
Конвективный теплообмен.
Второй вид теплообмена, конвекция, происходит только в газах и жидкостях, перенос теплоты осуществляется умещающимися в пространстве объемами среды. Передача- теплоты конвекцией всегда связана с теплопроводностью. Совместный процес, конвекции и теплопроводности называется конвективным теплообменом.
Различают конвекцию вынужденную (движение жидкости создается искусственно) и свободную - движение связано с ее нагреванием и изменением плотности. Наблюдают два режима движения при конвекции : ламинарный и турбулентный..
В первом все частицы движутся только параллельно между собой, траектории их длительно совпадает с направлением всего потока. Жидкость движется спокойно, без пульсаций, образуя струи, следующие очертаниям канала. Движение такого рода называется ламинарным.
При турбулентном режиме движения жидкости непрерывно происходит перемешивание всех ее слоев.. Каждая частица потокa, перемещаясь вдоль канала с некоторой скоростью, совершает различные движения перпендикулярно стенкам канала. В связи с этим поток представляет собой беспорядочную массу хаотически движущихся частиц. Чем больше образуется пульсаций, завихрений, тем больше турбулентность потока. При переходе ламинарного режима движения в турбулентное сопротивление от трения в канале возрастает.. Рейнольдс показал, что характер движения жидкости в круглой трубе определяется величиной отношения Re= wd/n, которое названо числом Рейнольдса (где : w - средняя скорость жидкости, м/сек; d - диаметр круглой трубы; n -коэффициент кинематической вязкости жидкости, м/сек).
Для канала произвольного сечения вводится понятие эквивалентного диаметра dэ=4Fжс/П., где Fжс – площадь «живого» сечения канала ; П – смоченный периметр сечения канала.
Переход от ламинарного режима течения к турбулентному происходит при Re=2300. При устранении всех возмущений ламинарный режим наблюдается и при Re
значительно превышающих критическое. Однако такой режим движения является неустойчивым и при малейшем возмущении потока переходит в турбулентный.
Характер движения жидкости влияет на интенсивность передачи теплоты. При ламинарном режиме и отсутствии естественной конвекции передача теплоты в перпендикулярном к стенке направлении осуществляется только теплопроводностью. Количество этой теплоты зависит от физических свойств жидкости, геометрических размеров, формы поверхности канала и почти не зависит от скорости.
При турбулентном движении жидкости перенос теплоты наряду с теплопроводностью осуществляется перемещением частиц перпендикулярным к поверхности канала.
Рекомендуемые материалы
Физические свойства жидкостей.
В качестве жидких и газообразных теплоносителей в теории теплообмена рассматривают воздух, воду, газы, масло, нефть, спирт, ртуть, расплавленные металлы и многие другие вещества в жидком или газообразном состоянии. Физические свойства этих веществ влияют по разному на процессы теплоотдачи. Большое влияние на теплообмен оказывают следующие физические параметры: коэффициент теплопроводности l, удельная теплоемкость с, плотность r, коэффициент температуропроводности а и коэффициент динамической вязкости µ.. Эти параметры для каждого вещества имеют определенные значения и зависят температуры, а некоторые и от давления. •
Величины l, с, а рассматривались в разделе теплопроводности . В интенсивности влияния на конвективный теплообмен большое значение имеет вязкость. Все реальные жидкости обладают вязкостью; между частицами или слоями, движущимися с различными скоростями, всегда возникает сила внутреннего трения (касательное усилие), ускоряющая движение более медленного слоя и тормозящая движение более быстрого. Величина силы трения между слоями, отнесенная к единице поверхности, S , согласно закону Ньютона S= µ(dw/dn )пропорциональна градиенту скорости поперек потока dw/dn
Коэффициент пропорциональности µ, зависящий от природы жидкости и ее температуры, называется динамическим коэффициентом вязкости, или коэффициентом внутреннего трения, н*сек/м2.
Чем больше µ, тем меньше текучесть жидкости. Вязкость капельных жидкостей с увеличением температуры уменьшается и почти не зависит от давления. У газов с увеличением температуры и давления вязкостъ увеличивается.
Кроме динамической вязкости в гидродинамике и теории конвективного теплообмена использется выражение коэффициента кинематической вязкости n=µ/r м2/сек.
Режимы движения и пограничный слой.
В теории гидродинамики и конвективного теплообмена широко используется понятие пограничного слоя, введенное Л. Прандтлем в в 1904г. При продольном течении жидкости вдоль плоской поверхности происходит образование динамического пограничного слоя, в пределах которого вследствие сил вязкого трения скорость изменяется от значения скорости невозмущенного потока wо на внешней границе слоя до нуля на самой поверхности пластины. Толщина этого слоя возрастает вдоль пластины по потоку, тормозящее воздействие стенки распространяется на все более далекие слои жидкости. На небольших расстояниях от передней кромки пластины пограничный слой весьма тонкий и течение жидкости в нем носит струйный ламинарный характер. Далее, на некотором расстоянии хкр в пограничном слое начинают возникать вихри и течение принимает турбулентный характер. Вихри обеспечивают интенсивное перемешивание жидкости в пограничном слое, однако в непосредственной близости от поверхности они затухают и здесь сохраняется очень тонкий вязкий подслой. Описанная картина развития процесса показана на рисунке ниже. Толщина пограничного слоя d зависит от расстояния от передней кромки пластины, скорости потока wо и кинематического коэффициента вязкости n.
|
Схема движения жидкости при обтекании пластины |
Зависимость критического числа Reкр от степени турбулентности потока k. ( Reкрl =-woxкрl/v - критическое число Re отвечающее переходу от ламинарного к переходному режиму течения, когда в пограничном слое возни- возникают первые вихри и пульсации; Reкp2 = woxкр2/v - критическое число Рейнольдса для перехода к развитому турбулентному режиму течения.) |
Схема движения жидкости при eстественной конвекция около вертикальной пластины |
С увеличением скорости потока толщина динамического пограничного слоя при турбулентном режиме течения уменьшается вследствие неустойчивого интенсивного перемешивания жидкости в ядре потока и распространения этого эффекта по направлению к стенке поверхности. Характер течения и толщинa пограничного слоя в определяются в основном величиной числа Re, при этом даже развитом турбулентном течении у поверхности пластины сохраняется динамический ламинарный пограничного подслой.
При ламинарном пограничном слое
dл=5
При турбулентном пограничном слое:
dл=0,37
где: Reх= wox/n— число Рейнольдса, в котором в качестве характерного размера принято расстояние х.
Переход к турбулентному режиму течения жидкости в пограничном слое определяется критическим значением числа Рейнольдса: Reх.кр= woxкр/n,
которое при продольном обтекании пластины обычно принимают равным 5*105
Более подробный анализ показывает, что величина Reх.кр зависит от ряда факторов. Основное влияние оказывает степень начальной турбулентности набегающего потока, т. е. наличие в потоке начальных возмущений и завихрений. Степень турбулентности потока принято характеризовать отношением величины средней скорости турбулентных пульсаций vп к скорости движения потока wо, т. е. коэффициентом k= vп/wо. Чем выше начальная турбулентность потока, тем меньше величина Reкр. Средняя скорость пульсаций в потоке определяется как
Vп=
где
— мгновенное значение вектора пульсационной скорости; (
)2ср - осредненное во времени значение квадрата 

Если температуры стенки и жидкости неодинаковы, то вблизи стенки формируется тепловой пограничный слой, в котором происходит аналогичные изменение температуры жидкости. Вне пограничного слоя температура жидкости постоянна tо. В общем случае толщины тепловoгo и динамического слоев могут не совпадать. Соотношение толщин динамического и теплового пограничных слоев определяется величиной безразмерного числа Рг = n/a. Для вязких жидкостей с низкой теплопроводностью (например, масел) Рг>1 и толщина динамического пограничного слоя больше толщины теплового пограничного слоя. Для газов Рг≈1 и толщины слоев приблизительно одинаковы. Для жидких металлов Рг < 1 и тепловой пограничный слой проникает в область динамического невозмущенного потока.
Механизм и интенсивность переноса теплоты зависят от характера движения жидкости в пограничном слое. Если движение внутри теплового пограничного слоя ламинарное, то теплота в направлении, перпендикулярном к стенке, переносится теплопроводностью. Однако у внешней границы слоя, где температура по нормали к стенке меняется незначительно, преобладает перенос теплоты конвекцией.
Когда температура поверхности пластины tc и температура набегающего потока tж различны, между поверхностью и потоком теплоносителя (жидкостью или газом) происходит пропроцесс теплообмена. Согласно закону Ньютона—Рихмана
q= a (tж-tс)
плотность теплового потока q пропорциональна величине температурного напора tж—tс.
В тонком ламинарном пограничном слое движущейся жидкости q теплота к стенке передается теплопроводностью и ее можно выразить согласно закону Фурье
q= -l(dtж/dn)при n=0 или a = -l(dtж/dn)при n=0 /(tж-tс)
Значение a после решения задачи температурного поля в движущемся потоке выражается через (dtж/dn) при n=0
Температурное поле в потоке жидкости и связанные с ним значения коэффициента теплоотдачи a зависят от скорости теплофизических свойств и режима течения теплоносителя, формы и размеров тела и др.
a=f (w, l, µ, r, с, X, tж, tст, Δt, Ф, l1, l2, l3)
,где: X - характер движения жидкости (свободное или вынужденное движение); Ф — форма стенки;. ll , l2, l3 - размеры поверхности. Выражение a .показывает, что коэффициент теплоотдачи -величина сложная и для ее определения невозможно дать общую формулу. Обычно для определения a приходится прибегать к экспериментальным исследованиям.
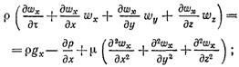
Применяя общие законы физики, можно составить дифференциальные уравнения для конвективного теплообмена, учитывающие как тепловые, так и динамические явления в любом процессе.
Система дифференциальных уравнений состоит из уравнений энергии (или теплопроводности), теплообмена, движения и сплошности. Дифференциальное уравнение энергии устанавливает связь между пространственным и временным изменением температуры в любой точке движущейся жидкости:
=
++q
Если wx=0, wy = 0, wz= 0, уравнение энергии переходит в уравнение теплопроводности для твердых тел (q- интенсивность (мощность) внутренние распределенных источники теплоты).
Дифференциальное уравнение теплообмена выражает условия теплообмена на границе твердого тела и жидкости:
a = -l(dtж/dn)при n=0 /(tж-tс)
Дифференциальное уравнение движения вязкой несжимаемой жидкости представлено уравнением Навье-Стокса.
для оси х

Аналогичны выражения для осей y и z .
Эти уравнения справедливы для ламинарного и турбулентного движений. В турбулентном движении w представляет собой действительную (мгновенную) скорость, равную сумме средней и пульсационной скоростей.
Дифференциальное уравнение сплошности, или непрерывности, для сжимаемых жидкостей имеет вид:

Для несжимаемых жидкостей при r = const уравнение сплошности принимает вид

Вешение всех дифференциальных уравнений требует громоздких математических выкладок, применения методов приближенных вычислений и приводится в специальных курсах гидродинамики и теплопередачи.
Основы теории подобия
При изучении различных физических явлений , для обобщения результатов аналитических и экспериментальных исследований, применяют два метода , которые позволяют получить количественные закономерности для исследуемых явлений. В первом методе выполняют экспериментальное изучение конкретных процессов, единичного явления, во втором исходят из теоретического исследования рассматриваемой проблемы, используя определенные допущения и приближенные методы решений.
Достоинством экспериментального метода исследования является достоверность получаемых результатов. Кроме того, при выполнении эксперимента основное внимание сосредоточивается на изучении влияния величин, представляющих наибольший практический интерес. Основной недостаток экспериментального метода исследования заключается в его трудоемкости, результаты данного эксперимента не могут использоваться применительно к другому явлению, которое в деталях отличается от изученного. Поэтому выводы, сделанные на основании анализа результатов данного конкретного экспериментального исследования, не допускают распространения их на другие явления. Следовательно, при экспериментальном методе каждый конкретный случай должен служить самостоятельным объектом изучения. Это обстоятельство. является органическим недостатком указанного метода исследований.
Втором метод исследования при выводе дифференциальных уравнений теоретической физики используются самые общие законы природы, которые в свою очередь являются результатом чрезвычайно широкого обобщения опытных данных. Приложение этих общих законов к изучаемым явлениям позволяет получить наиболее общие связи между физическими параметрами явления. (Ппримером может служить вывод дифференциального уравнения теплопроводности Фурье (dt/dt =
), в котором но учитываются конкретные начальные и граничные условия, обстановка явления, рассматривался только элементарный выделенный объем тела dV.
Любое дифференциальное уравнение (или система равнений) является математической моделью целого класса явлений. (под классом понимается такая совокупность явлений,
которая характеризуется одинаковым механизмом процессов и одинаковой физической природой) . Явления, которые входят в класс, подчиняются одинаковым уравнениям как по форме записи, так и по физическому содержанию входящих в него величин. При интегрировании любого дифференциального уравнения можно получить бесчисленное множество различных решений, удовлетворяющих этому уравнению.
Чтобы получить из множества решений одно частное, надо знать все индивидуальные особенности данного явления, выделяющие его из всего класса однородных явлений. Эти дополнительные условия, которые вместе с дифференциальным уравнением однозначно определяют единичное явление, называют условиями однозначности. Условия однозначности должны отражать все особенности данного конкретного явления.
Условия однозначности характеризуют следующие индивидуальные признаки, выделяющими их из целого класса явлений.
Они состоят из:
1) геометрических условий, характеризующих форму и размеры тела или системы; 2) физических условий, которыми характеризуют тела, составляющие данную систему;
3) граничных условий, которые выражают взаимодействие системы с окружающей средой (необходимо знать условия протекания процесса на границах тел);
4) временных условий, характеризующих протекание процесса в начальный момент времени по всему объему системы (для стационарных процессов временные условия отпадают).
Дифференциальные уравнения и четыре условия однозначности выделяют (отражают) конкретное единичное явление.
Аналитическое решение часто имеет сложное выражение, расчеты выполняются для конкретных условий и применение их для других условий приводит к необходимости новых вычислений.
Разработанная теория подобия позволяет на основании анализа дифференциальных уравнений и условий однозначности распространить полученные результаты аналитических и экспериментальных исследований на ряд подобных процессов (явлений), не прибегая к дополнительным трудоемким расчетам и экспериментам, создала теоретическую базу для организации проведения экспериментов, обработки и обобщения экспериментальных данных.
. Кроме класса и единичного явления В теории подобия кроме понятий класса и единичных явлений введено особое понятие группы явлений. Группой, явлений называется совокупность физических процессов, описываемых одинаковыми по форме и содержанию дифференциальными уравнениями и одинаковыми по форме , содержанию и размерности условиями однозначности. Различие между отдельными физическими процессами, отнесенными к данной группе явлений, будет состоять только в различии численных значений величин, входящих в размерные условия однозначности.
Группа подобных явлений объединяет все процессы, на которые возможно распространение ре зультатов единичных опытов. Понятие группы явлений уже понятия класса явлений, но шире понятия единичного явления.
В теории подобия группу явлений выделяют путем умножения каждой величины, входящей в условия однозначности на постоянные численные множители- коэффициенты подобия. Для различных физических величин эти множители различны.
Простейшим примером применения теории подобия является геометрическое подобие, при котором длинны сторон одной геометрической фигуры (треугольника ) можно получить умножением на масштабный коэффициент Кi (коэффициент подобия) длин сторон другой фигуры.
Понятие «прямоугольник» определяет целый класс плоских фигур, объединенных общим свойством, по которому все четыре угла прямые. Величины Ki называют множителями (масштабными) преобразования, или константами подобия (коэффициенты подобия).
Приводя дифференциальные уравнения, начальные и граничные условия , описывающие исследуемое явление ( I ), к безразмерному виду, можно получить выражение безразмерных коэффициентов подобия Кi(I), при совпадении значений которых результаты полученного решения, эксперимента можно распространить на явления ( II ) для которых значения Кi(II) безразмерных коэффициентов подобия идентичны (. При этом расширяется область применения результатов исследования, так как значения характеристик входящих в выражение коэффициентов подобия Кi(I) могут быть различны, при одинаковом его значении. Кi(I) = Кi(II) = idem.
Величины Кi(I) называют множителями или константами подобия.
Получение выражений коэффициентов подобия.
Ниже приведен анализ дифференциального уравнение энергии . для двухмерного движущегося потока при условиях естественной конвекции , позволяющий получить выражения множителей подобия для обобщения результатов экспериментов по исследованию теплообмена в условиях естественной конвекции.
|
Рис. 1.8 | Пусть поверхность твердого тела омывается несжимаемой жидкостью, температура и скорость которой вдали от тела постоянны и равны соответственно to и wo .Характерный размер тела lo задан. Температура поверхности тела равна tc. Примято, что tс>tо.Обозначим t-to = v , где t - температура жидкости. Предполагается, что физические параметры жидкости постоянны (учитывается только подъемная сила, возникающая в результате зависимости плотности от температуры). Теплота трения не учитывается. Рассматриваемый процесс является стационарным. (рис. 1.8 . Для простоты приято, что ось Оу нормальна к поверхности тела, а ось Ох направлена вдоль тела и вертикальна. При этом gx=g, а проекции вектора сил тяжести (или подъемной силы) на оси Оу и Oz будут равны нулю (gv ~ gz=0). Размер тела вдоль оси Oz намного больше lo |
При принятых условиях поля температур и скоростей можно описать дифференциальными уравнениями вблизи пластины (в пограничном слое). Учтем дополнительно подъемную силу rgb
(где (
=tж-tст)., считая ее соизмеримой с вязкостным членом
m (
). При to=const,
t=

Уравнение энергии:
(1.5)
Уравнение движения:
(1.6)
Уравнение сплошности:
(1.7)
Граничные условия для рассматриваемой задачи примут вид:
1) Вдали от тела (y=¥),
v=vo=0 ; wx =wo , wy=0 ( 1.8)
2) На поверхности тела:
(y=¥), 0£ х £ lo, - ¥£ z £+ ¥
v=vc=tc-to =const; wx =we =wz=0 (1.9)
В уравнениях и условиях однозначности можно выделить три вида величин:
- независимые переменные — это координаты х, у.
- зависимые переменные — это v , wx и wv; зависимые переменные однозначно определяются значениями независимых переменных, если заданы величины, входящие в условия однозначности;
- постоянные величины —это wo, to, lo, vc g, a, g, b и др.; они задаются условиями однозначности и для определенной задачи являются постоянными, не зависящими от других переменных; от задачи к задаче они могут меняться; постоянными эти величины называют потому, что они не являются функцией независимых переменных.
Таким образом, искомые зависимые переменные v, wx и wу зависят от большого числа величин: они являются функцией независимых переменных и постоянных величин, входящих в условия однозначности.
Величины, содержащиеся в уравнениях и условиях однозначности, можно сгруппировать в комплексы. Число безразмерных комплексов будет меньше числа размерных величин.
Для приведения к безразмерному виду выбираются масштабы приведения. В качестве масштабов удобно принять постоянные величины, входящие в условия однозначности. Для линейных величин выберем какой-либо характерный размер, например длину поверхности теплообмена l0, для скорости wo, для температуры vc
Обозначим безразмерные величины:

Тогда

После использования введенных зависимостей в выражении энергии , приведем его к безразмерному виду :

(1.10)
Аналогично преобразуем и уравнение движения. После подстановки выражений переменных в уравнение движения, умножив его на lo/ g wo.
После преобразования в правой части последнего члена уравнения

Окончательно получено:
(1.11)
Уравнение неразрывности (сплошности) в безразмерном виде:
( 1.12)
Граничные условия:
при Y=¥ -
(1.13)
На поверхности тела – 
(1.14)
Система уравнений 1.5-1.7 описывает большое количество процессов теплопередачи, которые отличаются условиями однозначности (граничными условиями) 1.8-1.9, значениями постоянных величин.. (В безразмерном виде 1.10-1.14.)
При решении системы уравнений для конкретных граничных условий получается выражение температурного поля для решаемой задачи: t=t(x.y)
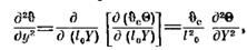
Коэффициент теплоотдачи для полученного решения равен:
a= -
и в безразмерном виде
= -
(1.15)
При одинаковых значениях безразмерных комплексов :
Вместе с этой лекцией читают "5 Источники финансового права".
,
,
(1.16)
Значения

(1.17),
в которые входит искомая величина коэффициента теплоотдачи a , будут одинаковы.
Величины входящие в выражения
,
,
могут быть различны по значению, необходимо только чтобы сами безразмерные комплексы 1.16 были одинаковы для разных задач. Поэтому конкретное решение по теплообмену может распространяться (в безразмерном виде
) на другие задачи, для которых значения комплексов 1.16 одинаково. Процессы и решения обобщенные в виде зависимостей между коэффициентами подобия будут подобны при условии равенства критериев (условия) подобия.
На этом базируются теоремы подобия.



























