Тяговые и механические характеристики электромагнитов постоянного и переменного тока
Лекция № 5.
Тема лекции:
Тяговые и механические характеристики электромагнитов постоянного и переменного тока.
Динамика электромагнитов, время трогания и движения. Ускорение и замедление срабатывания
г) Сравнение статических тяговых характеристик электромагнитов постоянного и переменного тока. Для электромагнитов постоянного и переменного тока величина силы может быть рассчитана по формуле Максвелла
(5.1)
Если площади полюсов у электромагнитов одинаковы и одинаковы максимальные значения индукции в рабочих зазорах, то максимальное значение силы в электромагните переменного тока будет равно силе, развиваемой электромагнитом постоянного тока. Поскольку среднее значение силы при переменном токе FCp равно Fm/2, то средняя сила, развиваемая электромагнитом переменного тока, в 2 раза меньше силы, развиваемой электромагнитом постоянного тока.
Таким образом, при той же затрате стали электромагнит постоянного тока развивает в 2 раза большее усилие, чем электромагнит переменного тока.
Рекомендуемые материалы
Теперь сравним характеристики F = f(б) для электромагнитов постоянного и переменного тока клапанного типа. Как было показано, с ростом зазора величина силы меняется обратно пропорционально квадрату зазора. В связи с этим клапанный электромагнит постоянного тока либо имеет малый рабочий ход якоря, чтобы развить большую силу, либо катушка должна иметь большую н. с, чтобы создать необходимый поток при большом сопротивлении воздушного зазора.
В электромагните переменного тока средняя сила в 2 раза меньше, чем у электромагнита постоянного тока при том же значении индукции. Однако с ростом зазора, с одной стороны, растет магнитное сопротивление рабочего зазора, с другой — растет ток в обмотке, так что поток в рабочем зазоре падает только за счет активного падения напряжения в обмотке. Таким образом, электромагнит переменного тока как бы имеет автоматическую форсировку. При большом зазоре создается большая н. с. обмотки, которая обеспечивает необходимую величину потока в рабочем зазоре. В связи с этим электромагниты переменного тока могут работать при относительно больших ходах якоря.
ОСНОВЫ ТЕОРИИ, ДИНАМИКА РАБОТЫ И ВРЕМЯ СРАБАТЫВАНИЯ ЭЛЕКТРОМАГНИТОВ
В большинстве электромагнитов, имеющих обмотку напряжения, процесс срабатывания имеет динамический характер.
После включения обмотки электромагнита происходит нарастание магнитного потока до тех пор, пока сила тяги не станет равна противодействующей силе. После этого якорь начинает двигаться, причем ток и магнитный поток изменяются по весьма сложному закону, определяемому параметрами электромагнита и противодействующей силой. После достижения якорем конечного положения ток и магнитный поток будут продолжать изменяться до тех пор, пока не достигнут установившихся значений. Время срабатывания электромагнита — это время с момента подачи напряжения на обмотку до момента остановки якоря:

где
—время трогания, представляющее собой время с начала подачи напряжения до начала движения якоря;
— время движения, т. е. время перемещения якоря из положения при зазоре
до положения при зазоре
.
К моменту остановки якоря переходной процесс еще не закончен и ток в обмотке продолжает возрастать от значения
до установившегося значения
.
Рассмотрим подробно все эти стадии для электромагнита постоянного тока с обмоткой напряжения.
а) Время трогания.
После включения цепи напряжение источника уравновешивается активным падением напряжения и противо-ЭДС обмотки:
U
Так как в начальном положении якоря рабочий зазор относительно велик, то магнитную цепь можно считать не насыщенной, а индуктивность обмотки — постоянной. Поскольку
и
, можно преобразовать:
.
Решение этого уравнения имеет вид
,
где
— установившееся значение тока;
— постоянная времени цепи.
Ток обмотки, при котором начинается движение якоря, называется током трогания
, а время нарастания тока от нуля до
— временем трогания
.
Для момента трогания выражение для тока можно записать в виде

Решив относительно
, получим
.
Время трогания пропорционально постоянной времени Т и зависит от отношения
, увеличиваясь с приближением этого отношения к единице.
б) Движение якоря.
Как только начинается движение якоря (точка а на рис.1), зазор уменьшается и его магнитная проводимость
возрастает и индуктивность обмотки увеличиваются, поскольку
. Так как при движении якоря индуктивность изменяется, то примет вид
.
При движении якоря
поэтому
и
начинают уменьшаться, поскольку сумма всех слагаемых равна неизменному значению напряжения источника U. Зависимость тока от времени показана на рис. Чем больше скорость движения якоря, тем больше спад тока. В точке b, соответствующей крайнему положению якоря, уменьшение тока прекращается. Далее ток меняется по закону

где
— постоянная времени при
.
Начало движения якоря имеет место при
(рис.). При движении якоря ток вначале еще немного нарастает, а затем падает до значения, меньшего
. Таким образом, во время движения якоря, когда зазор меняется от начального
до конечного
, ток в обмотке значительно меньше установившегося значения
. Поэтому и сила тяги, развиваемая электромагнитом в динамике, значительно меньше, чем в статике при
.
в) Отпускание электромагнита.
При размыкании цепи обмотки электромагнита магнитный поток в нем начинает уменьшаться из-за введения в цепь большого сопротивления дугового или тлеющего разряда между контактами. Магнитный поток уменьшается, и в момент, когда сила тяги электромагнита становится меньше усилия пружины, происходит отпускание якоря. Время отпускания
состоит из времени спада потока
от установившегося
до потока отпускания
и времени движения
.
Процесс отпускания описывается уравнением
,
где
— сопротивление искры (дуги);
— индуктивность цепи обмотки при конечном зазоре.
Если положить, что
, то решение уравнения примет вид

где
— постоянная времени, равная
. Обычно
.
Так как
велико, то
очень мало. Процесс спада тока, а следовательно, и магнитного потока протекает очень быстро. Если сердечник, на котором размещается обмотка, сплошной и имеет большое сечение, то спад магнитного потока замедляется, так как в сердечнике возникают вихревые токи, поле которых стремится поддерживать спадающий поток . Это необходимо учитывать при расчете
.
После трогания якоря его движение происходит за счет усилия противодействующей пружины. Время движения при отключении определяется выражением
,
где
–среднее значение усилия противодействующей пружины при конечном и начальном зазоре,
масса подвижных частей электромагнита.
г) Ускорение и замедление срабатывания и отпускания электромагнитов постоянного тока.
В большинстве случаев основную часть времени срабатывания составляет время трогания. Поэтому для изменения времени срабатывания воздействуют прежде всего на
.
Допустим, что ток трогания не изменяется (неизменна сила противодействующей пружины). Рассмотрим влияние активного сопротивления цепи при неизменных индуктивности и питающем напряжении. После включения электромагнита ток в обмотке изменяется по выражению
.
Скорость нарастания тока
.
И при 
.
Таким образом, скорость нарастания тока в момент включения не зависит от активного сопротивления цепи и определяется только питающим напряжением и индуктивностью цепи,
. Изменение тока во времени при различных значениях активного сопротивления цепи и
показано на рис.1.
Следует отметить, что, поскольку
и
— одинакова для обоих случаев кривая тока
идет выше кривой тока
и, что обеспечивает ускорение срабатывания при
. Это же следует из анализа. По мере увеличения сопротивления
установившийся ток
приближается к току
, знаменатель у логарифма стремится к нулю, а сам логарифм растет до бесконечно большого значения. Поэтому увеличение активного сопротивления ведет к росту времени трогания
. Постоянная времени Т с ростом сопротивления уменьшается
, и, следовательно, снижается время трогания, но влияние этого множителя меньше, чем влияние логарифма. Чем меньше активное сопротивление цепи, тем быстрее будет срабатывать электромагнит. Для уменьшения сопротивления R при неизменной индуктивности L необходимо увеличивать сечение обмоточного провода q, что вызывает увеличение окна Q0 и габаритов электромагнита в целом. Мощность, рассеиваемая в виде тепла,
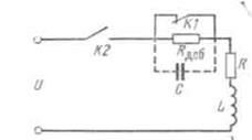
также возрастает, что требует увеличения поверхности охлаждения катушки. Ускорить срабатывание электромагнита при неизменных его габаритах можно с помощью специальных схем форсировки. Для того чтобы добиться эффекта уменьшения сопротивления R при неизменных размерах электромагнита, широко применяется схема форсировки (рис. 1). Введенный в схему добавочный резистор
шунтирован размыкающим контактом К1, связанным с якорем электромагнита. После замыкания контакта К2 малое сопротивление обмотки R способствует быстрому нарастанию тока до тока трогания. После начала движения якоря контакт К1 размыкается и в цепь вводится сопротивление
, благодаря чему мощность Р, выделяемая в обмотке, ограничивается в соответствии с выражением

Иногда вместо контакта К.1 используется конденсатор С. В первый момент времени незаряженный конденсатор уменьшает падение напряжения на резисторе
, благодаря чему обеспечивается форсировка электромагнита. В установившемся режиме ток в цепи ограничивается резистором
. Емкость конденсатора, мкФ, рекомендуется брать равной
,
где L — индуктивность обмотки электромагнита, Гн; R — ее активное сопротивление, Ом;
— сопротивление добавочного резистора, Ом.
|
|

а) б)
Рис.1. Изменение тока в обмотке при включении. Схема форсировки электромагнита (а); ток в обмотке электромагнита при различных активных сопротивлениях цепи (б).
Рассмотрим влияние питающего напряжения на время трогания. При уменьшении питающего напряжения уменьшается значение
установившегося тока, что ведет к увеличению значения
. При
время трогания
.
Минимальное напряжение, при котором электромагнит может сработать,
. С ростом питающего напряжения время трогания уменьшается в связи с уменьшением
из-за роста
. Зависимость
изображена на рис.1. Иногда возникает необходимость ускорить срабатывание уже готового электромагнита, не затрагивая его конструкцию и входящие в нее узлы и детали. Увеличение питающего напряжения без изменения активного сопротивления цепи ведет к ускорению срабатывания, но обмотка электромагнита может сгореть, если при номинальном значении питающего напряжения ее температура близка к предельно допустимой. В этих случаях рекомендуется при повышении питающего напряжения в цепь включать добавочный резистор, сопротивление которого обеспечивает неизменность тока
. Ускорение срабатывания происходит за счет уменьшения постоянной времени. Величина
остается неизменной.
На рис.2 показаны зависимости
при различных значениях
и при неизменном установившемся токе электромагнита. Кривые показывают, что чем больше постоянная времени, тем больше время трогания.


Рис.2.Зависимость времени трогания от напряжения питания и зависимости i=f(t) при различных постоянных времени и неизменном значении
.
Отметим, что при прочих равных условиях увеличение натяжения противодействующей пружины ведет к росту
и
.
Для создания электромагнитов замедленного действия применяется короткозамкнутая обмотка. Такая обмотка может иметь всего один виток в виде медной или алюминиевой гильзы, надеваемой на сердечник электромагнита. Электромагнит с короткозамкнутой обмоткой w2 показан на рис. 3.
При включении питающей обмотки и нарастании создаваемого ею магнитного потока в короткозамкнутой обмотке наводится ЭДС. Последняя вызывает ток такого направления, при котором магнитный поток короткозамкнутой обмотки направлен встречно потоку питающей обмотки. Результирующий поток равен разности этих потоков. Скорость нарастания потока в электромагните уменьшается и время трогания увеличивается.
Если принять, что короткозамкнутая обмотка пронизывается тем же потоком, что и питающая (отсутствует рассеяние), то поток нарастает по экспоненте с суммарной постоянной времени
:

где
– установившийся поток;
;
— постоянные времени обмоток.
Если пренебречь потоками рассеяния, то индуктивности обмоток согласно равны:
; 
При отпущенном якоре
и значение
мало. Суммарная постоянная времени
невелика, и замедление электромагнита при срабатывании получается небольшим.

Рис.3. Электромагнит замедленного действия, изменение тока в обмотках электромагнита при отключении
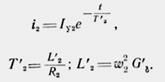
При отключении электромагнита можно считать, что ток
в питающей обмотке практически мгновенно спадает до нуля из-за быстрого нарастания сопротивления дугового промежутка в отключающем аппарате К (рис. 3).
Поскольку магнитный поток в системе мгновенно не может измениться, в короткозамкнутой обмотке возникает ток
.
Спадание магнитного потока определяется процессом затухания этого тока. При спадании потока в короткозамкнутой обмотке наводится ЭДС и возникает ток, направленный так, что поток, создаваемый обмоткой
, препятствует уменьшению потока в системе. Замедленное спадание потока создает выдержку времени при отпускании.
Для короткозамкнутой обмотки и ненасыщенной магнитной системе можно записать
,
Решив уравнение, получим
где
— начальное значение тока в короткозамкнутой обмотке (при t=0);
— индуктивность короткозамкнутой обмотки при притянутом якоре. Очевидно, что
. Умножив обе части на
получим

где
—установившийся магнитный поток при включенной питающей обмотке.
Рабочий зазор при притянутом якоре в десятки и даже, в сотни раз меньше, чем при отпущенном. Поэтому постоянная времени при притянутом якоре
и замедление времени трогания при отпускании может достигать 10 с, тогда как задержка времени трогания при срабатывании составляет доли секунды.
После затухания тока i2 в цепи устанавливается остаточный магнитный поток, определяемый кривой размагничивания материала магнитопровода и воздушным зазором . Возможны случаи, когда остаточный магнитный поток создает силу притяжения большую, чем сила, развиваемая пружиной. Происходит так называемое залипание якоря, когда якорь остается в притянутом положении после отключения питающей обмотки. Для устранения залипания на торце сердечника или якоря устанавливается тонкая немагнитная прокладка. Наличие этой прокладки обеспечивает фиксированный достаточно малый конечный зазор
, что приводит к снижению остаточного магнитного потока и устранению залипания.
В электромагнитах для реле времени магнитная система при притянутом положении якоря сильно насыщена. В этом случае справедливо уравнение

Решив уравнение относительно
, получим
,
где
— магнитный поток, при котором усилие пружины равно электромагнитной силе;
— начальное значение потока.
Выдержка времени при отпускании при прочих равных условиях определяется начальным потоком Фу уравнения. Этот поток определяется кривой намагничивания магнитной системы в замкнутом состоянии. Поскольку напряжение и ток в обмотке пропорциональны, зависимость
повторяет в другом масштабе зависимость
. Если система при номинальном напряжении не насыщена, то поток Фу сильно зависит от питающего напряжения. При этом выдержка времени также зависит от напряжения обмотки. Для независимости выдержки времени от питающего напряжения магнитная цепь электромагнитов делается сильно насыщенной. На рис.4 представлена кривая намагничивания магнитной системы
. В зоне насыщения колебания питающего напряжения на
ведут к незначительному изменению установившегося потока
и колебанию времени отпускания в пределах от
до
. Вся рабочая зона лежит в области напряжений выше
. При работе в ненасыщенной зоне
даже небольшие колебания питающего напряжения приводят к значительному изменению потока Фу и выдержки времени на отпускание.
В разнообразных схемах автоматики, в которых используются электромагниты, напряжение на их питающие обмотки может подаваться кратковременно. В этом случае для стабильности выдержки времени при отпускании необходимо, чтобы длительность приложения питающего напряжения была достаточна для достижения потоком установившегося значения.

Рис.4.. Характеристика намагничивания магнитной системы и зависимость времени отпускания от напряжения питания
Это время называется временем подготовки или зарядки. Если длительность приложения напряжения меньше этого времени, то выдержка времени уменьшается. Время зарядки зависит от габаритов реле и составляет около 1 с.
На выдержку времени электромагнита влияет температура короткозамкнутой обмотки. Согласно
.
Здесь t — время отпускания;
— температура нагретой короткозамкнутой обмотки.
Заводы-изготовители гарантируют работу таких электромагнитов в диапазоне температур от -– 40 до +60 °С. Если температура короткозамкнутой обмотки равна окружающей, то при указанном изменении температуры сопротивление, а следовательно, и выдержка времени изменятся почти в 1,5 раза. В среднем можно считать, что изменение температуры на каждые 10 °С ведет к изменению времени выдержки на 4 %. Зависимость выдержки времени от температуры является одним из основных недостатков электромагнитов с короткозамкнутой обмоткой.
ДИНАМИКА И ВРЕМЯ СРАБАТЫВАНИЯ ЭЛЕКТРОМАГНИТОВ
а) Время срабатывания. До сих пор мы рассматривали только статические характеристики электромагнитов, когда в их обмотке проходит неизменный ток, причем якорь либо неподвижен, либо якорь движется, но ток в обмотке не меняется по своему действующему значению, поскольку электромагнит имеет последовательную обмотку. В таком режиме работают тормозные и удерживающие электромагниты. В большинстве электромагнитов процесс имеет динамический характер. В этом случае после включения обмотки электромагнита происходит нарастание потока в магнитной цепи до тех нор, пока сила, развиваемая электромагнитом, не станет равна противодействующей силе. По достижении указанного равенства якорь начинает двигаться. При этом ток и поток меняются по весьма сложному закону, определяемому параметрами электромагнита и противодействующей силой. После того как якорь придет в свое конечное положение, ток и поток в электромагните будут продолжать изменяться до тех пор, пока не достигнут установившегося значения.
Рассмотрим более подробно все эти три стадии для электромагнита постоянного тока с параллельной обмоткой. Первая стадия — с момента подачи напряжения до начала трогания якоря. Начиная с момента включения обмотки и до момента начала движения якоря напряжение источника уравновешивается активным падением напряжения и противо– э. д. с. в катушке:
(5.2)
Так как в начальном положении якоря рабочий зазор имеет относительно большое значение, магнитная цепь может считаться ненасыщенной, а индуктивность обмотки— постоянной величиной. Поскольку потокосцепление
уравнение можно преобразовать:
![]() |
(5.4)
Решение этого уравнения относительно тока, как известно, имеет вид:
(5.5)
где
установившееся значение тока;
постоянная времени цепи.
Величина тока, при котором начинается движение якоря, называется током трогания /Тр, а время нарастания тока от нуля до /Тр — временем трогания £Тр.
Для момента трогания можно записать в виде
(5.6)
Решив относительно времени трогания, получим:
![]() |
(5.7)
Таким образом, во-первых, время трогания пропорционально постоянной времени T, и, во-вторых, по мере приближения
время трогания начинает быстро расти. Как только начинается движение якоря, зазор уменьшается и индуктивность увеличивается, поскольку
Так как при движении якоря индуктивность изменяется, то примет вид:
(5.8)
При движении якоря
поэтому величина тока
начинают уменьшаться, поскольку сумма всех падений напряжения равна неизменному значению напряжения источника U. Зависимость тока от времени показана на рис. 5.1. Чем больше скорость движения якоря, тем больше спад тока. В точке b якорь достиг своего крайнего положения и уменьшение тока прекратилось. После остановки якоря ток будет увеличиваться до тех пор, пока не достигнет установившегося значения
причем постоянная времени
будет больше, чем
, поскольку конечный зазор б меньше, чем начальный зазор б„. Так как в притянутом положении якоря рабочий зазор мал, то возможно насыщение магнитной системы, и закон нарастания тока будет отличаться от экспоненциального, что необходимо учитывать при расчете времени установления потока.
![]() |
Рис. 5.1. Зависимость тока от времени
Имеется целый ряд методов расчета процессов в электромагните при движении якоря. Как показано на рис. 5.1, в динамике начало движения имеет место при токе
. При движении якоря ток вначале еще немного нарастает, а затем падает до величины, меньшей тока трогания. Таким образом, в процессе движения якоря, когда зазор меняется от начального до конечного значения, величина тока в обмотке значительно меньше установившегося значения. Поскольку при движении якоря во всех точках его пути ток в обмотке меньше установившегося значения, то и сила, развиваемая электромагнитом, в динамике значительно меньше, чем в статике при
. С этим необходимо считаться при согласовании силы тяги электромагнита и противодействующих сил.
Для ориентировочного определения времени движения можно воспользоваться статической характеристикой. На рис.5.2 изображены статическая тяговая характеристика электромагнита
и характеристика противодействующей силы. Разность сил
, идет на сообщение ускорения подвижным частям:
(5.9)
где
масса подвижных частей, приведенная к рабочему зазору;
перемещение якоря;
скорость движения якоря.
После интегрирования получим:
![]() |
(5.10)
![]() |
Рис.5.2. Статическая тяговая характеристика электромагнита и характеристика противодействующей силы
Интеграл удобно рассчитывается графоаналитически. Скорость в точке хода б равна:
![]() |
(5.11)
где
масштаб по оси силы;
масштаб по оси перемещения;
площадь, пропорциональная работе движущей силы.
Зная скорость в любой точке хода, можно рассчитать время движения на всех участках и суммированием определить полное время движения.
Иногда во время движения ток мало меняется и составляет некоторую долю а от установившегося
В таких случаях рекомендуется строить статическую характеристику при
.
б) Ускорение и замедление срабатывания и отпускания электромагнита постоянного тока. Полное время срабатывания состоит из времени трогания и времени движения:
(5.12)
В большинстве случаев основную часть времени срабатывания составляет время трогания. Поэтому при ускорении и замедлении срабатывания воздействуют прежде всего на
Согласно
![]() |
(5.13)
Допустим, что ток трогания не меняется (неизменна сила противодействующей пружины). Рассмотрим влияние активного сопротивления цепи при неизменной величине индуктивности и питающего напряжения. После включения электромагнита ток в обмотке изменяется и скорость нарастания тока равна:
![]() |
(5.14)

Таким образом, скорость нарастания тока в момент включения не зависит от активного сопротивления цепи и определяется только питающим напряжением и индуктивностью цепи. Изменение тока во времени для двух значений активного сопротивления цепи показано на
рис.5.3. Поскольку обе кривые в начале координат имеют общую касательную, так как
не зависит от активного сопротивления. Постоянная времени для первого случая
для второго Tt == L/R.i; так как
то
При уменьшении сопротивления R
увеличивается установившийся ток и величина уменьшается.
Можно показать, что логарифм уменьшается быстрее, чем растет постоянная времени Т. В результате ^Tpi> >tTp2, несмотря на то, что Т{<Т2. Чем меньше активное сопротивление цепи, тем быстрее будет срабатывать электромагнит.
При уменьшении активного сопротивления обмотки растет мощность Р, потребляемая ею:
Для ограничения температуры нагрева необходимо развивать у катушки поверхность охлаждения, т. е. ее размеры. Увеличение размеров обмотки потребует увеличения размеров магнитопровода.
Для ограничения размеров электромагнита в настоящее время широко применяется форсировка по схеме рис. 5.4. В отключенном положении сопротивление #ДОб шунтировано размыкающим контактом, связанным с якорем электромагнита.
После замыкания контакта К малое сопротивление обмотки R способствует быстрому нарастанию тока до тока трогания. После начала движения якоря контакт размыкается и в цепь вводится сопротивление ./?доб, благодаря чему ограничивается мощность Р, выделяемая в обмотке:
(5.15)
![]() |
Рис.5.3 Изменение тока во времени для двух значений активного сопротивления
![]() |
Рис.5.4. Схема форсировки электромагнита
Иногда для ускорения срабатывания сопротивление/?ДОб шунтируют конденсатором. В первый момент времени конденсатор уменьшает падение напряжения на этом сопротивлении, благодаря чему обеспечивается форсировка электромагнита. В установившемся режиме величина тока в цепи ограничивается сопротивлением ^?ДОб-. Величину емкости конденсатора в рекомендуется брать равной:
(5.16)
где
индуктивность обмотки, Гн
ее активное сопротивление,
— добавочное сопротивление, Ом.
Теперь рассмотрим влияние питающего напряжения на время трогания. При уменьшении питающего напряжения уменьшается величина установившегося тока, что ведет к увеличению
![]() |
При время трогания
С ростом напряжения время трогания уменьшается в соответствии с уменьшением
Иногда возникает необходимость ускорить срабатывание уже готового электромагнита. Увеличение питающего напряжения без изменения активного сопротивления цепи ведет к ускорению срабатывания, но катушка электромагнита может сгореть, если при номинальном значении питающего напряжения температура обмотки равна предельно допустимой. В этих случаях рекомендуется при повышении питающего напряжения в цепь включать добавочное сопротивление, чтобы величина установившегося тока оставалась неизменной и равной /у. При этом ускорение срабатывания происходит за счет уменьшения постоянной времени. Величина
![]() |
остается неизменной.

На рис. 5.4 показано изменение токов в обмотке электромагнита при неизменном установившемся токе. Кривые показывают, что в данном случае чем больше постоянная времени, тем больше время трогания.
В заключение отметим, что при прочих равных условиях увеличение натяжения противодействующей пружины ведет к росту
при этом
также увеличивается.
Время отпускания электромагнита состоит из времени спадания потока до потока отпускания, при котором сила электромагнита становится равной противодействующей силе и времени движения при отпускании.
В большинстве случаев время спада потока при отсутствии короткозамкнутых обмоток значительно меньше, чем время движения якоря при отпадании.
Поэтому в основном считаются со временем движения. Для упрощения расчетов можно принять, что якорь и подвижные части двигаются равноускоренно под действием силы, равной средней силе пружины. Тогда время отпускания можно найти с помощью формулы
(5.17)
где т — приведенная к центру полюса масса якоря и подвижных частей; х— перемещение якоря; Fcp — приведенное к центру полюса среднее значение силы отключающей пружины на пути х.
![]() |
Рис.5.4. Изменение токов в обмотке электромагнита при неизменном установившемся токе
Для создания электромагнитов замедленного действия применяются короткозамкнутая обмотка или гильза. Эскиз электромагнита с короткозамкнутой обмоткой показан на рис. .
При включении питающей обмотки в магнитной цепи
нарастает поток. Этот поток наводит в короткозамкнутой обмотке э. д. с. Последняя вызывает ток такого направления, при котором поток короткозамкнутой обмотки направлен встречно с намагничивающим. Результирующий поток равен разности этих потоков. Скорость нарастания потока уменьшается, а время трогания увеличивается.
Результирующий поток нарастает во времени по экспоненте с суммарной постоянной времени
(5.18)
где
установившийся поток;

, и — постоянные времени обмоток.
Рис. 5.5.Электромагнит с короткозамкнутой обмоткой
Если пренебречь потоками рассеяния, то индуктивности
согласно равны:
(5.19)
Ввиду того, что при отпущенном якоре Gb мало, суммарная постоянная времени Ti + T2 невелика и замедление электромагнита получается небольшим.
При отключении электромагнита с короткозамкнутой обмоткой можно считать, что ток в первичной обмотке практически мгновенно спадает до нуля из-за быстрого нарастания сопротивления дугового промежутка в отключающем аппарате.
Изменение потока определяется процессом затухания тока в короткозамкнутой обмотке. При спадании потока в короткозамкнутой
обмотке w2 наводится э. д. с. и возникает ток, направленный так, что поток, создаваемый обмоткой о>2, препятствует изменению (уменьшению) потока в системе.
Замедленное спадание потока создает выдержку времени при отпускании.
Для вторичной короткозамкнутой обмотки ненасыщенной системы в этом случае можно записать:
(5.20)
Поскольку величина зазора уменьшилась, индуктивность при притянутом якоре
больше, чем при отпущенном L-i.
Решив относительно тока, получим:
![]() |
(5.21)
Умножив обе части на G w2, после преобразования получим:
![]() |
(5.22)
Благодаря тому, что рабочий зазор в притянутом состоянии в десятки и даже сотни раз меньше, чем в отпущенном
можно получить время трогания при отпускании до 10 сек, тогда как время трогания при притяжении составляет доли секунды.
При н. с, равной нулю, в цепи устанавливается поток, определяемый кривой размагничивания материала и воздушным зазором. Этот остаточный поток может создавать силу притяжения большую, чем сила, развиваемая пружиной. Произойдет залипание якоря. Для устранения залипания ставится немагнитная прокладка, снижающая величину остаточного потока.
В реальных конструкциях реле времени магнитная система при притянутом положении якоря сильно насыщена.
Для насыщенной цепи справедливо уравнение
(5.23)
Решив уравнение относительно времени, получим:
(5.24)
где
поток, при котором сила, развиваемая пружиной, равна силе электромагнита.
Для определения значения интеграла рассчитывается зависимость потока в рабочем зазоре от н. с. После этого строится зависимость 1/ш=/(Ф) и графическим интегрированием решается.
в) Динамика электромагнитов переменного тока. Рассмотрим магнитную цепь электромагнита, у которого магнитопровод ненасыщен. Пусть включение происходит в нуль напряжения. В этом случае можно записать:
(5.25)
Поскольку цепь линейна, ток можно выразить через поток
Подставив, получим:
![]() |
(5.26)
Решив это уравнение относительно потока, найдем:
(5.27)
где Фт — максимальное значение потока.
Согласно (5.27) при / = 0 поток в системе также равен нулю. Через время t=n/u> поток достигает наибольшего значения, поскольку постоянная составляющая потока складывается с переменной составляющей. Если пренебречь затуханием, то через полпериода поток достигает величины, равной 2Фта.
По мере затухания постоянной составляющей потока пиковое значение потока будет уменьшаться, пока не достигнет Фт. Таким образом, в электромагните переменного тока наибольшие пиковые значения потока, а следовательно, и силы, будут иметь место в начале процесса включения, причем пиковое значение потока и силы наступает примерно через 0,01 сек после начала включения (при частоте тока 50 Гц). Это обеспечивает малое время трогания.
Если магнитная система насыщена, то возникновение постоянной составляющей потока в момент включения ведет к появлению большого сильно искаженного намагничивающего тока.
При включении в нуль тока (потока) постоянная составляющая не появляется и пиковое значение потока появляется через четверть периода после начала включения. Таким образом, и в этом случае обеспечивается быстрое срабатывание электромагнита без применения специальных мер.
Расчет динамических характеристик электромагнитов переменного тока аналитически очень затруднен. Эту задачу удается решить применением аналоговых счетных машин. Необходимо отметить, что в момент включения электромагнита рабочий зазор в магнитной цепи велик, что вызывает согласно большой намагничивающий ток, в десятки раз больший, чем ток в притянутом положении якоря.
МАГНИТНЫЕ ЦЕПИ С ПОСТОЯННЫМИ МАГНИТАМИ
а) Общие сведения. Для создания постоянного магнитного поля в целом ряде электрических аппаратов используются постоянные магниты, которые изготавливаются из магнитно-твердых материалов, имеющих широкую петлю гистерезиса (рис.5.6).
Работа постоянного магнита происходит на участке отH= 0 до
H = — Нс. Эта часть петли называется кривой размагничивания.
Рассмотрим основные соотношения в постоянном магните, имеющем форму тороида с одним малым зазором б (рис.5.6). Благодаря форме тороида и небольшому зазору потоками рассеяния в таком магните можно пренебречь. Если зазор мал, то магнитное поле в нем можно считать однородным.
![]() |
Рис.5.6. Кривая размагничивания постоянного магнита
Если пренебречь выпучиванием, то индукции в зазоре В& и внутри магнита В одинаковы.
На основании закона полного тока при интегрировании по замкнутому контуру 1231 рис. получим:
(5.28)

Рис.5.7. Постоянный магнит, имеющий форму тороида
Таким образом, напряженность поля в зазоре направлена встречно напряженности в теле магнита. Для электромагнита постоянного тока, имеющего аналогичную форму магнитной цепи, без учета насыщения можно написать:
Сравнивая можно видеть, что в случае с постоянным магнитом н. с, создающей поток в рабочем зазоре, является произведение напряженности в теле магнита на его длину с обратным знаком —Hl.
Воспользовавшись тем, что
(5.29)
получим:
(5.30)
или
(5.31)
где
площадь полюса; проводимость воздушного зазора.
Уравнение есть уравнение прямой, проходящей через начало координат во втором квадранте под углом а к оси Н. С учетом масштаба индукции тв и напряженности тн угол а определяется равенством
(5.32)

Так как индукция и напряженность магнитного поля в теле постоянного магнита связаны кривой размагничивания, то пересечение указанной прямой с кривой размагничивания (точка А на рис.5.6) и определяет состояние сердечника при заданном зазоре.
При замкнутой цепи
и
(5.33)
С ростом б проводимость рабочего зазора и tga уменьшаются, индукция в рабочем зазоре падает, а напряженность поля внутри магнита увеличивается.
Одной из важных характеристик постоянного магнита является энергия магнитного поля в рабочем зазоре Wt. Учитывая, что поле в зазоре однородно,
![]() |
(5.34)
Подставляя значение Нь получим:
(5.35)
где VM — объем тела магнита.
Таким образом, энергия в рабочем зазоре равна энергии внутри магнита.
Зависимость произведения В(—Н) в функции индукции показана на рис.5.6 . Очевидно, что для точки С, в которой В(—Н) достигает максимального значения, энергия в воздушном зазоре также достигает наибольшей величины, и с точки зрения использования постоянного магнита эта точка является оптимальной. Можно показать, что точка С, соответствующая максимуму произведения
есть точка пересечения с кривой размагничивания луча О К, проведенного через точку с координатами
Рассмотрим более подробно влияние зазора б на величину индукции В (рис.5.6). Если намагничивание магнита производилось при зазоре б, то после снятия внешнего поля в теле магнита установится индукция, соответствующая точке А. Положение этой точки определяется
зазором б.
Уменьшим зазор до значения бi<б, тогда
(5.36)
![]() |
При уменьшении зазора индукция в теле магнита возрастает, однако процесс изменения индукции идет не по кривой размагничивания, а по ветви частной петли гистерезиса AMD. Индукция В{ определяется точкой пересечения этой ветви с лучом, проведенным под углом к оси — Н (точка D).
Если мы снова увеличим зазор до значения б, то индукция будет падать до значения В, причем зависимость В (Н) будет определяться ветвью DNA частной петли гистерезиса. Обычно частная петля гистерезиса AMDNA достаточно узка и ее заменяют прямой AD, которую называют прямой возврата. Наклон к горизонтальной оси ( + Н) этой прямой называется коэффициентом возврата:
![]() |
(5.37)
Характеристика размагничивания материала обычно не приводится полностью, а задаются только величины индукции насыщения Bs, остаточной индукции Вг, коэрцитивной силы Нс. Для расчета магнита необходимо знать всю кривую размагничивания, которая для большинства магнитно-твердых материалов хорошо аппроксимируется формулой
![]() |
(5.38)
Кривая размагничивания, выражаемая (5.30), может быть легко построена графически, если известны Bs, Вг.
б) Определение потока в рабочем зазоре для заданной магнитной цепи. В реальной системе с постоянным магнитом поток в рабочем зазоре отличается от потока в нейтральном сечении (середине магнита) из-за наличия потоков рассеяния и выпучивания (рис.).
![]() |
Рис.5.8. Магнитной цепи с постоянным магнитом и потоками рассеяния и выпучивания
Поток в нейтральном сечении равен:
(5.39)
где
поток в нейтральном сечении;
поток выпучивания у полюсов;
поток рассеяния;
рабочий поток.
Коэффициент рассеяния о определяется равенством
(5.40)
Если принять, что потоки
создаются одной и той же разностью магнитных потенциалов, то
(5.41)
Индукцию в нейтральном сечении найдем, определив tga:
![]() |
и воспользовавшись кривой размагничивания рис.5.6. Индукция в рабочем зазоре равна:
(5.42)

поскольку поток в рабочем зазоре в о раз меньше, чем поток в нейтральном сечении.
Очень часто намагничивание системы происходит в несобранном состоянии, когда проводимость рабочего зазора уменьшена из-за отсутствия деталей из ферромагнитного материала. В этом случае расчет ведется с использованием прямой возврата. Если потоки рассеяния значительны, то расчет рекомендуется вести по участкам, так же как и в случае электромагнита.
Потоки рассеяния в постоянных магнитах играют значительно большую роль, чем в электромагнитах. Дело в том, что магнитная проницаемость магнитно-твердых материалов значительно ниже, чем у магнитно-мягких, из которых изготавливаются системы для электромагнитов. Потоки рассеяния вызывают значительное падение магнитного потенциала вдоль постоянного магнита и уменьшают н. с, а следовательно, и поток в рабочем зазоре.
Коэффициент рассеяния выполненных систем колеблется в довольно широких пределах. Расчет коэффициента рассеяния и потоков рассеяния связан с большими трудностями. Поэтому при разработке новой конструкции величину коэффициента рассеяния рекомендуется определить на специальной модели, в которой постоянный магнит заменен электромагнитом. Намагничивающая обмотка выбирается такой, чтобы получить в рабочем зазоре необходимый поток.
в) Определение размеров магнита по требуемой индукции в рабочем зазоре. Эта задача является еще более трудной, чем определение потока при известных размерах. При выборе размеров магнитной цепи обычно стремятся к тому, чтобы индукция В0 и напряженность Н0 в нейтральном сечении соответствовали максимальному значению произведения Н0В0. При этом объем магнита будет минимальным. Даются следующие рекомендации по выбору материалов. Если требуется при больших зазорах получить большое значение индукции, то наиболее подходящим материалом является магнико. Если при большом зазоре необходимо создать небольшие индукции, то можно рекомендовать альниси. При малых рабочих зазорах и большом значении индукции целесообразно применение альни.
Сечение магнита выбирается из следующих соображений. Индукция в нейтральном сечении выбирается равной В0. Тогда поток в нейтральном сечении
![]() |
откуда сечение магнита


Величины индукции в рабочем зазоре Вр и площадь полюса являются заданными величинами. Наиболее трудным является определение значения коэффициента рассеяния. Величина его зависит от конструкции и индукции в сердечнике. Если сечение магнита получилось большим, то применяют несколько магнитов, включенных параллельно. Длина магнита определяется из условия создания необходимой н.с. в рабочем зазоре при напряженности в теле магнита Н0:
где бр — величина рабочего зазора.
Лекция "Раздел 4. Диагностирование технического состояния" также может быть Вам полезна.
При больших рабочих зазорах рекомендуется соединять несколько магнитов последовательно.
После выбора основных размеров и конструирования магнита проводится поверочный расчет по методике, описанной ранее.
г) Стабилизация характеристик магнита. В процессе работы магнита наблюдается уменьшение потока в рабочем зазоре системы — старение магнита. Различают структурное, механическое и магнитное старение.
Структурное старение наступает вследствие того, что после закалки материала в нем возникают внутренние напряжения, материал приобретает неоднородную структуру. В процессе работы материал становится более однородным, внутренние напряжения исчезают. При этом остаточная индукция Вт и коэрцитивная сила Нс уменьшаются. Для борьбы со структурным старением материал подвергается термообработке в виде отпуска. При этом внутренние напряжения в материале исчезают. Его характеристики становятся более стабильными. Алюминиево-никелевые сплавы (альни и др.) не требуют структурной стабилизации.
Механическое старение наступает при ударах и вибрациях магнита. Для того чтобы сделать магнит нечувствительным к механическим воздействиям, его подвергают искусственному старению. Образцы магнита перед установкой в аппарат подвергаются таким ударам и вибрации, которые имеют место в эксплуатации.
Магнитное старение — изменение свойств материала под действием внешних магнитных полей. Положительное внешнее поле увеличивает индукцию по прямой воз врата, а отрицательное снижает ее по кривой размагничивания. Для того чтобы сделать магнит более стабильным, его подвергают действию размагничивающего поля, после чего магнит работает на прямой возврата. Из-за меньшей крутизны прямой возврата влияние внешних полей уменьшается. При расчете магнитных систем с постоянными магнитами необходимо учитывать, что в процессе стабилизации магнитный поток уменьшается на 10-15%.
















































