Электродинамические усилия, методы расчета
Лекция №6.
Тема лекции:
6. Электродинамические усилия (ЭДУ), методы расчета. Электродинамическая устойчивость.
Нагрев электроаппаратов. Нормы нагрева, термическая устойчивость.
ЭЛЕКТРОДИНАМИЧЕСКИЕ УСИЛИЯ В ЭЛЕМЕНТАХ АППАРАТОВ
При коротком замыкании в сети через токоведущую часть аппарата могут протекать токи, в десятки раз превышающие номинальные. Эти токи, взаимодействуя с магнитным полем, создают электродинамические усилия (э. д. у.), которые стремятся деформировать проводники и изоляторы, на которых они крепятся. В некоторых случаях величина э. д. у. может достигать десятков тонн, при этом возможно даже разрушение аппарата.
Для определения э. д. у. используются два метода.
В первом методе сила рассматривается как результат взаимодействия проводника с током и магнитным полем. Если элементарный проводник
dl с током
i находится в магнитном поле с индукцией
. создаваемой другими проводниками, то сила действующая на этот элемент, равна
Рекомендуемые материалы
(6.1)
где
угол между векторами элемента dl и индукции В.
За направление dl принимается направление тока в этом элементе.
Направление индукции, создаваемой проводником, легко найти с помощью правила буравчика. Если винт буравчика движется вдоль тока в проводнике, то направление вращения рукоятки совпадает с направлением магнитной силовой линии, т. е. с вектором индукции.
Направление силы можно определить по правилу левой руки. Для этого левую руку располагают так, чтобы вектор индукции пронизывал ладонь, а направление тока в проводнике совпадало с четырьмя вытянутыми пальцами. Тогда направление силы будет указывать большой палец (рис. ).
![]() |
Рис.6.1. Правило левой руки
Правило буравчика можно использовать и для определения направления результирующего вектора , следовательно, и направления силы.
Если рукоятку штопора вращать от вектора к вектору
по кратчайшему расстоянию, то направление движения винта штопора совпадает с направлением силы, действующей на элемент с током
Для определения полной силы, действующей на проводник длиной l, необходимо просуммировать силы, действующие на все его элементы:
![]() |
(6.2)
В случае любого расположения проводников в одной плоскости р = 90° уравнение упрощается:
(6.3)

Описанный метод рекомендуется применять тогда, когда можно аналитически найти индукцию в любой точке проводника, для которого необходимо определить силу.
Второй метод определения э. д. у. основан на использовании энергетического баланса системы проводников с током. Если пренебречь электростатической энергией системы и принять, что при деформации токоведущих контуров или их перемещении под действием э. д. у. величина тока во всех контурах остается неизменной, то силу можно найти по уравнению
(6.4)
где электромагнитная энергия;
возможное перемещение в направлении действия силы F.
Таким образом, сила равна частной производной от электромагнитной энергии данной системы по координате, в направлении которой действует сила.
Электромагнитная энергия системы обусловлена как энергией магнитного поля каждого изолированного контура, так и энергией, определяемой магнитной связью между контурами.
Для системы трех взаимосвязанных контуров электромагнитная энергия
(6.5)
здесь индуктивности контуров;
токи в контурах;
взаимоиндуктивности между контурами.
Первые три члена уравнения определяют энергию независимых контуров, вторые три члена характеризуют энергию, обусловленную магнитной связью.
Уравнение дает возможность рассчитать как силы, действующие в изолированном контуре, так и силу взаимодействия этого контура со всеми остальными.
При коротком замыкании величина тока в цепи не зависит от незначительных деформаций токоведущих контуров или от изменения расстояния между ними, возникающих под действием э. д. у. Поэтому при нахождении сил с помощью уравнения можно считать, что величина тока не меняется, а сила возникает в результате изменения индуктивности или взаимоиндуктивности.
Для определения сил внутри одного контура пользуются уравнением
(6.6)
![]() |
где х — координата, в направлении которой действует сила F.
При расчете силы, действующей между контурами, считаем, что энергия меняется только в результате возможного изменения взаимного расположения контуров. При этом энергия, обусловленная собственной индуктивностью, считается неизменной:
(6.7)
Энергетическим методом очень удобно пользоваться тогда, когда известна аналитическая зависимость индуктивности или взаимоиндуктивности от геометрических параметров.
Этот метод позволяет легко найти направление э. д. у. Из уравнения (6.4) следует, что положительному направлению силы F соответствует возрастание энергии системы , т.е. деформация контура или его перемещение происходит под действием силы таким образом, чтобы электромагнитная энергия системы возрастала.
Электромагнитная энергия одного контура
![]() |
(6.8)
где потокосцепление;
магнитный поток;
число витков в контуре.
Сила, действующая в контуре, будет направлена таким образом, чтобы индуктивность, потокосцепление и поток при деформации контура под действием этой силы возрастали.
Возьмем для примера круговой виток рис.6.2.
![]() |
Рис. 6.2. Силы в витке, обтекаемом током
Если
то индуктивность витка достаточно точно выражается уравнением
При протекании тока возникает сила, стремящаяся увеличить радиус витка, поскольку с ростом R растет индуктивность L, а следовательно, увеличивается и электромагнитная энергия системы:
(6.9)
С ростом радиуса возрастает потокосцепление данного контура при условии, что ток в цепи не меняется.
![]() | ![]() | ||||||||||
![]() | |||||||||||
![]() | |||||||||||
![]() | |||||||||||
![]() | |||||||||||
ЭЛЕКТРОДИНАМИЧЕСКИЕ СИЛЫ, ВОЗНИКАЮЩИЕ ПРИ ИЗМЕНЕНИИ СЕЧЕНИЯ ПРОВОДНИКА
При протекании тока по цилиндрическому проводнику на отдельные нити тока действуют э. д. у., стремящиеся переместить эту нить к центру проводника. Поскольку все линии тока вертикальны, а индукция в любой точке проводника направлена по касательной, то сила, действующая на элементарные нити, направлена по радиусу и не имеет осевой составляющей.
При изменении сечения проводника линии тока искривляются и, кроме поперечной сжимающей силы, возникает продольная, стремящаяся разорвать место перехода вдоль оси проводника. Как видно из рис.6.3, сила, возникающая в месте перехода, направлена в сторону большего сечения.
Рис.6.3. Электродинамические силы, действующие в месте изменения
поперечного сечения проводника
Формула для расчета этих сил имеет вид:
(6.10)
Следует отметить, что эта формула справедлива для любого симметричного перехода от сечения с радиусом гк к сечению с радиусом ги. Так, в случае многократного конуса
(6.11)
где радиус конечного сечения;
радиус начального сечения.
Плавный переход от одного сечения к другому можно рассматривать как переход, образованный большим числом конусных переходов. Таким образом, электродинамическая сила, возникающая при изменении сечения, зависит только от отношения конечного и начального радиусов и не зависит от формы перехода. Этот вывод справедлив для равномерного распределения тока по сечению проводника.
Известно, что в электрическом контакте при переходе тока из одного контакта в другой происходит искривление линий тока, аналогичное показанному на рис. 6.3. Для одноточечного контакта касание контактов происходит по площадке смятия. Если положить, что эта площадка находится в центре цилиндрических проводников, то сила, действующая на каждый контакт, может быть рассчитана по формуле
(6.12)
где радиус цилиндрического контакта;
радиус круглой площадки касания.
При номинальном токе эта отбрасывающая сила ничтожна. При коротком замыкании в одноточечном контакте отбрасывающая сила может достигать сотен ньютонов. Для того чтобы контакт был динамически устойчив, сила нажатия должна быть больше силы отброса.
В реальных контактах, кроме силы отброса, возникающей из-за изменения сечения проводника, появляется дополнительное э. д. у. за счет взаимодействий, создаваемых токоведущим контуром.
СИЛЫ ВТЯГИВАНИЯ ДУГИ (ПРОВОДНИКА) В СТАЛЬНУЮ РЕШЕТКУ
В дугогасительных камерах аппаратов высокого и низкого напряжений применяется решетка из набора ферромагнитных пластин с пазами.
Электрическая дуга, возникающая между контактами аппарата, является своеобразным проводником тока. Взаимодействие этого проводника с решеткой создает электромагнитную силу, двигающую дугу. Наиболее широко распространены решетки из стальных пластин с клиновидными пазами.
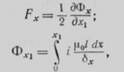
Рассмотрим силу, действующую на проводник (дугу), симметрично расположенный в пазу прямоугольного сечения (рис.6.3).
При расчете примем следующие упрощения: магнитное сопротивление стали равно нулю; потоком рассеяния, выходящим с торца решетки пренебрегаем; ток течет по геометрической ОСИ проводника.
В данном случае для расчета силы удобно воспользоваться энергетическим методом. Сила, действующая на проводник, в данном случае будет равна
(6.13)
![]() |
Рис.6.4.К расчету сил, действующих на проводник
расположенный в прямоугольном пазу ферромагнитного тела
Индуктивность системы L можно выразить через поток
![]() |
(6.14)
Поскольку
тогда
(6.15)
Поток, связанный с проводником, равен
(6.16)
где
активная длина решетки;
расстояние от проводника до начала паза;
ширина паза.
Подставляя , получим
(6.17)
При сделанных допущениях сила, действующая на проводник, не зависит от положения проводника в пазу.
В дугогасительных устройствах низкого напряжения дуга, втягиваясь в решетку, пересекает ее и останавливается в точке а, в которой сила, действующая на дугу, должна быть равна нулю.

Это может быть при т. е. дуга остановится в точке, где поток достигает максимального значения. Поскольку то эта точка также соответствует максимуму электромагнитной энергии. По мере движения дуги вверх проводимость нижней части магнитной цепи растет линейно с х. В точке а общая проводимость цепи будет максимальна. Если дуга пройдет выше нее, то поток начнет снова убывать и возникнет сила, стремящаяся вернуть дугу опять в точку а.
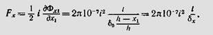
В реальном аппарате картина значительно усложняется, поскольку по мере продвижения дуги вверх растет поток в цепи и наступает насыщение верхней части пластин решетки. Если опытным путем , с помощью измерительной катушки получить зависимость Фл- = /(х), заменив дугу проводником, то величина силы, действующей на дугу, может быть достаточно точно рассчитана с учетом сопротивления стали по следующей формуле:
(6.18)
![]() |
где находится графическим дифференцированием опытной кривой Фх = / (л:). Для клиновидной щели (рис.6.5) сила, действующая на дугу, может быть также рассчитана по уравнению (6.16), если принять те же допущения, что и для прямоугольной щели:
![]() |
(6.20)
здесь
воздушный зазор на расстоянии х от начала решетки
![]() |
Рис. 6.5. К расчету сил, действующих на проводник,
расположенный в суживающемся пазу ферромагнитного тела
Подставив Фх1 в уравнение для силы, получим
![]() |
(6.21)
В отличие от предыдущего случая по мере роста х1 величина силы увеличивается и достигает бесконечной величины при х1 —h. В действительности, по мере уменьшения Ьх будет возрастать падение магнитного потенциала в стали. В этом случае мы не имеем права пользоваться уравнением. При 6( = 0 вся намагничивающая сила проводника становится равной падению магнитного потенциала в стали. Уравнением можно пользоваться только тогда, когда падение магнитного потенциала в стали невелико (не более 10% от общей намагничивающей силы).
Сила, действующая на дугу, может значительно искажаться ее формой. После расхождения контактов дуга имеет форму не прямолинейного проводника, а скорее форму части окружности. Это приводит к тому, что сначала в решетку входит средняя часть дуги, а потом ее крайние части. Кроме того, дуга может не располагаться точно по оси паза, что также затрудняет расчет. Формулы могут быть использованы только для ориентировочных расчетов. Для более точных расчетов рекомендуется опытным путем снимать зависимость Фх = / (х) и пользоваться графическим дифференцированием.
Аналогичные силы возникают между проводником и ферромагнитным телом, поскольку при приближении проводника к телу обязательно возрастает поток и, следовательно, увеличивается электромагнитная энергия системы.
ЭЛЕКТРОДИНАМИЧЕСКАЯ УСТОЙЧИВОСТЬ АППАРАТОВ
Электродинамические силы, возникающие в токоведущих частях аппаратов, стремятся деформировать как сами проводники, так и изоляторы, с помощью которых эти проводники укреплены к заземленным частям аппарата.
Ранее было показано, что э. д. у. меняются как во времени, так и по направлению. Известно, что прочность материала зависит не только от величины силы, но и от направления, длительности ее воздействия и от крутизны нарастания. К сожалению, в настоящее время сведения о работе проводниковых и изоляционных материалов в динамическом режиме крайне ограничены. Поэтому расчет прочности конструкции, как правило, ведется, исходя из максимально возможных сил, хотя действуют эти силы кратковременно.
Электродинамической устойчивостью аппарата называется его способность противостоять силам, возникающим при протекании токов короткого замыкания.
Эта устойчивость может выражаться либо непосредственно амплитудным значением тока £дин, при котором механические напряжения в деталях аппарата не выходят за пределы допустимых величин, либо кратностью этого тока относительно амплитуды номинального тока
(6.22)
Иногда динамическая устойчивость оценивается действующим значением ударного тока за период после начала короткого замыкания.
В однофазных установках расчет э. д. у. ведется по ударному току короткого замыкания
(6.23)
Если короткое замыкание произошло вблизи генератора, то за расчетную величину 1т берется амплитуда сверхпереходного тока короткого замыкания.
Для трехфазного аппарата за расчетный ток принимается
![]() |
(6.24)
где ток Iтз — амплитуда симметричной составляющей 3-фазного замыкания. Расчет устойчивости проводится для средней фазы, дающей наибольшее значение сил.
Для проводниковых материалов рекомендуется не превышать следующих значений механических напряжений:
Медь (МТ)-1400 кГ/см2; 1 кГ/см2 =
Алюминий (AT) —700 кГ/см2.

ДОПУСТИМЫЕ МАКСИМАЛЬНЫЕ ТЕМПЕРАТУРЫ
ЭЛЕКТРИЧЕСКИХ АППАРАТОВ В НОРМАЛЬНОМ РЕЖИМЕ И ПРИ КОРОТКОМ ЗАМЫКАНИИ
ИЗОЛИРОВАННЫЕ ПРОВОДНИКИ ЭЛЕКТРИЧЕСКОГО ТОКА В НОРМАЛЬНОМ РЕЖИМЕ
Как показывают наблюдения, чем выше температура, воздействию которой подвергаются изоляционные материалы, входящие в конструкции аппаратов, тем быстрее ухудшаются их механические и электрические качества: уменьшаются механическая и электрическая прочность, эластичность; при переменном токе увеличиваются диэлектрические потери, что, в свою очередь, вызывает дальнейшее повышение температуры изоляции и ее быстрое старение. Ухудшение электрических и механических свойств изоляционных материалов приводит к нарушению нормальной работы аппарата. С другой стороны, при прочих равных условиях, чем большие температуры допускаются в аппарате, тем требуется меньший расход проводниковых материалов, следовательно, снижаются вес и стоимость аппарата. Оптимальное решение вопроса о допустимых температурах достигается в результате длительных лабораторных исследований и эксплуатации электрических аппаратов с разными изоляционными материалами при различных температурах и режимах работы (длительном, повторно-кратковременном, кратковременном).
Естественно, что изоляционные материалы обладают разной стойкостью в отношении воздействия температур. Кроме того, в различных условиях степень воздействия температуры на изоляционные материалы меняется. Так, например, воздействие температуры на изоляцию проводников катушек, пропитанных лаком, значительно слабее, чем непропитанных, и старение изоляции в них соответственно будет протекать медленнее.
В настоящее время в соответствии с ГОСТ 8865—58 и нормами МЭК (Международная электротехническая комиссия) изоляционные материалы разбиты по нагревостойкости на семь классов Y, А, Е, В, F, Н, С, длительно допустимые температуры для этих классов приведены в табл.6.1. В ГОСТах обычно наряду с допустимой температурой часто указывается допустимое превышение температуры аппарата над температурой окружающего воздуха, определяемое как разность допустимой температуры и температуры окружающего воздуха. При этом температура окружающего воздуха чаще всего принимается 35 или 40° С.
Дело в том, что в некоторых пределах изменения температур окружающего воздуха для данного режима работы превышение температуры аппарата практически не зависит от температуры окружающего воздуха, и, таким образом, результаты испытаний на нагрев электрических аппаратов, проведенные при разных температурах окружающего воздуха, становятся сравнимыми. Однако следует помнить, что срок службы аппарата определяется не превышением температуры, а температурой нагрева, и вследствие этого превышения температуры могут быть допущены разные в зависимости от температуры окружающего воздуха.
В настоящее время во многих ГОСТах на электрические аппараты приведенная классификация изоляционных материалов пока не нашла отражения. Так, например, в ГОСТ 8024—56 «Аппараты переменного тока высокого напряжения» в зависимости от нагрева при длительной работе все изоляционные материалы разделяются на классы О, А, В, С с наибольшей температурой нагрева только 110° С.
Для трансформаторного масла согласно ГОСТ 8024—56 допускается превышение температуры 40° С, если масло используется в качестве дугогасящей среды, и 55° С — для случаев, когда масло используется только как изолирующая среда.
Применительно к аппаратам низкого напряжения (до 1000 В) разработан ГОСТ 12434—66, в котором электрические аппараты разделяются на аппараты распределения энергии и аппараты управления приемниками энергии.
К аппаратам распределения энергии относятся автоматические выключатели, переключатели, плавкие предохранители, контактные разъемы.
К аппаратам управления — приемникам энергии относятся контакторы, реле управления и промышленной автоматики, командоконтроллеры, кнопки управления, конечные и путевые выключатели, резисторы, реостаты, электромагниты, контроллеры, ручные и электромагнитные пускатели.
Длительно допустимые температуры для изоляционных материалов различных классов
Таблица 6.1
| Класс |
У |
А |
Е |
В |
F |
Н | С |
|
| 90 | 105 | 120 | 130 | 155 | 180 | 180 |
Примечание.
Класс У— непропитанные и непогруженные в жидкий электроизоляционный материал, волокнистые материалы из целлюлозы и шелка, а также другие материалы, соответствующие данному классу и другому сочетанию материалов.
Класс А — пропитанные и погруженные в жидкий электроизоляционный состав волокнистые материалы из целлюлозы или шелка, а также соответствующие данному классу другие материалы и другие сочетания материалов.
Класс Е~ некоторые синтетические и органические пленки, а также соответствующие данному классу другие материалы и другие сочетания материалов.
Класс В — материалы на основе слюды (в том числе на органических подложках), асбеста и стекловолокна, применяемые с органическими связующими и пропитывающими составами, а также соответствующие данному классу другие материалы и другие сочетания материалов.
Класс F— материалы на основе слюды, асбеста и стекловолокна, применяемые в сочетании с синтетическими связующими и пропитывающими составами, а также соответствующие данному классу другие материалы и другие сочетания материалов.
Класс Н — материалы на основе слюды, асбеста и стекловолокна, применяемые в сочетании с кремнийорганическими связующими и пропитывающими составами, кремнийорганические эластомеры, а также соответствующие данному классу другие материалы и другие сочетания материалов.
Класс С — слюда, керамические материалы, стекло, кварц, применяемые без связующих составов или с неорганическими или кремнийорганическими связующими составами, а также соответствующие данному классу другие материалы и другие сочетания материалов.
ИЗОЛИРОВАННЫЕ И НЕИЗОЛИРОВАННЫЕ
Т0К0ВЕДУЩИЕ ЧАСТИ АППАРАТОВ
ПРИ КОРОТКИХ ЗАМЫКАНИЯХ
Короткое замыкание в электроустановках сопровождается протеканием по проводникам токов, значительно превышающих токи нормального рабочего режима. Так как длительность протекания токов короткого замыкания измеряется обычно от долей до единиц секунд, то естественно, что и допустимые температуры в конце короткого замыкания могут быть значительно выше температур, допускаемых при длительной нормальной работе.
В настоящее время довольно широко распространено мнение о нецелесообразности ограничения каким-либо ГОСТом температур при коротких замыканиях, и взамен этого предлагается предъявлять требования к аппарату: быть пригодным к дальнейшей эксплуатации после протекания тока короткого замыкания данной длительности
(1 сек, 5 сек и т. д.). Для лучшей ориентировки при проектировании электрических аппаратов приведем предельно допустимые температуры в конце короткого замыкания, которые обычно принимаются за основу при расчете устойчивости электрических аппаратов при коротких замыканиях:
а)для медных проводников неизолированных или покрытых изоляцией органического происхождения —250° С;
б)для алюминиевых проводников как изолированных, так и не
изолированных —200° С;
в)для медных проводников, покрытых изоляцией неорганического происхождения —350° С.
При таких больших температурах слой изоляции, непосредственно прилегающий к проводнику, повреждается; однако срок службы аппарата, как показывает опыт, все-таки остается довольно большим и экономически приемлемым.
Следует отметить, что при таких температурах, как 200–350о С, особое внимание при проектировании электрических аппаратов должно быть уделено уменьшению механической прочности и температурным деформациям частей электрических аппаратов во избежание неудовлетворительной работы последних.
ПРОСТЕЙШИЕ МЕТОДЫ РАСЧЕТА ПРЕВЫШЕНИЯ ТЕМПЕРАТУРЫ ЭЛЕКТРИЧЕСКИХ АППАРАТОВ
ПОНЯТИЕ О ВИДАХ ТЕПЛООБМЕНА
При наличии разницы температур в теле в нем происходит процесс выравнивания температур из-за потока тепла от мест с более высокой температурой к местам с более низкой температурой.
По аналогичной причине происходит выравнивание температур двух тел, имеющих разные температуры и находящихся в непосредственном соприкосновении или разделенных друг от друга какой-либо средой (газом, жидкостью и др.). Процесс переноса тепла называется теплообменом или теплоотдачей. Различают три способа теплообмена: теплопроводность, конвекция, тепловое излучение.
Теплопроводностью называют явление переноса тепловой энергии непосредственно от одной части тела к другой (в чистом виде явление теплопроводности имеет место в твердых телах).
Конвекцией называют явление переноса тепловой энергии путем перемещения частиц жидкости или газа; явление конвекции всегда сопровождается явлением теплопроводности.
Различают естественную (свободную) конвекцию, когда движение частиц окружающей среды у нагретой поверхности обусловлено разностью плотностей нагретых и холодных частиц жидкости или газа, и вынужденную конвекцию, когда движение частиц окружающей среды происходит в результате действия вентилятора, насоса или ветра и пр.
Исходя из физических представлений, легко прийти к выводу, что отдача тепла конвекцией в значительной мере будет зависеть от физических свойств среды (теплопроводности, вязкости, теплоемкости, плотности), от обтекаемости тела, т. е. от его геометрической формы и расположения в пространстве, от скорости движения частиц окружающей среды около нагретой поверхности и от степени шероховатости последней. Далее, поскольку физические свойства среды зависят от температуры, то и отдача тепла конвекцией будет зависеть от температуры среды и превышения температуры нагретой поверхности относительно среды.
Тепловым излучением (лучеиспусканием) называют явление переноса тепловой энергии электромагнитными волнами. Как будет видно из дальнейшего, теплообмен излучением между нагретыми поверхностями зависит от температуры поверхностей, от размеров, геометрии, обработки и их взаимного расположения, от физических свойств материала.
Наружная поверхность нагретого тела излучает тепло на окружающие поверхности, имеющие меньшую температуру, чем поверхность нагретого тела, при этом мы будем предполагать, что газовая среда, например воздух, разделяющая поверхность нагретого тела от поверхностей, воспринимающих тепловые лучи, полностью прозрачна для последних.
При расчетах часто предполагается, что температура окружающего воздуха практически равна температуре поверхностей, воспринимающих тепловое излучение нагретой поверхности.
Жидкости и твердые тела практически не пропускают тепловых лучей, следовательно, в жидких средах имеет место только конвективный теплообмен. Следует подчеркнуть, что физическая природа всех трех способов передачи тепла совершенно различна.
ПРИМЕНЕНИЕ ФОРМУЛЫ НЬЮТОНА ДЛЯ РАСЧЕТА ОТДАЧИ ТЕПЛА С НАРУЖНОЙ ПОВЕРХНОСТИ ОКРУЖАЮЩЕЙ СРЕДЕ (ЖИДКОСТИ, ГАЗУ)
В электротехнической практике весьма часто приходится рассчитывать превышение температуры наружной поверхности относительно температуры жидкой или газообразной среды, омывающей нагретую поверхность. В этих случаях оказывается весьма удобной широко известная формула Ньютона
(6.25)
здесь
мощность, отдаваемая конвекцией и лучеиспусканием окружающей среде, Вт;
нагретая поверхность, м2;
температура поверхности, °С;
температура окружающей среды
коэффициент теплоотдачи, учитывающий в общем
случае отдачу тепла конвекцией и лучеиспусканием, вт/м2 -град. Коэффициент теплоотдачи
численно равен мощности,
отдаваемой нагретой поверхностью
окружающей среде при
разности температур между нагретой поверхностью и окружающей средой, равной
![]() |
(6.26)
В соответствии с отмеченными факторами, от которых зависит отдача тепла конвекцией и лучеиспусканием, следует подчеркнуть, что коэффициент теплоотдачи
зависит от физических постоянных (удельного веса, теплопроводности, вязкости, теплоемкости), жидкой или газообразной среды, воспринимающей тепло от нагретого тела, или наоборот, отдающей тепло твердому телу, от формы и расположения тела в жидкой или газообразной среде, от состояния поверхностей и т. д.
Практический интерес представляет расчет нагрева катушек электрических аппаратов. На основе большого количества опытов, проведенных с различными цилиндрическими катушками, можно предложить следующие приблизительные выражения для определения коэффициента теплоотдачи:
для случая, когда теплоотдающая поверхность катушек
лежит в пределах
формула для коэффициента
теплоотдачи имеет вид
(6.27)
для случаев, когда
(6.28)
Формула может быть представлена в ином виде:
(6.29)
и формально имеет такой же вид, как и формула закона Ома для электрического тока. Поэтому знаменатель в этой формуле
![]() |
часто называют сопротивлением тепловому потоку при переходе от поверхности S к окружающей среде, при этом имеется в виду, что превышение температуры не изменяется во времени.
ПРИМЕНЕНИЕ ФОРМУЛЫ НЬЮТОНА
ДЛЯ РАССМОТРЕНИЯ УСТАНАВЛИВАЮЩЕГОСЯ ПРОЦЕССА НАГРЕВА ТЕЛА ОТ ИСТОЧНИКОВ ТЕПЛА, РАСПОЛОЖЕННЫХ ВНУТРИ ТЕЛА
Пусть внутри тела действует источник тепла постоянной мощности Р. Введем следующие предположения:
температура тела в любой момент времени одинакова во всех точках объема тела;
теплоемкость тела С не зависит от температуры;
коэффициент теплоотдачи практически не зависит от превышения температуры и одинаков по всей поверхности тела.

За время энергия, генерируемая в теле, будет расходоваться на повышение температуры тела
а часть ее будет отдаваться в окружающую среду:
(6.30)
Следовательно, уравнение процесса нагрева тела
(6.31)
Частное решение последнего уравнения
(6.32)
Общее решение дополнительного уравнения
(6.33)
будет
![]() |
(6.34)
где А — постоянная интегрирования, определяемая условиями задач.
Величина
равная отношению полной теплоемкости С тела к его теплоотдающей способности называется постоянной времени.
Общее решение уравнения:
(6.35)
Для определения постоянной А используем следующее условие: при
должно быть
значит
(6.36)
Подставляя полученное выражение, будем иметь
(6.37)
На рис.6.6 представлено графическое изображение последнего выражения, из которого видно, что при t = со
(6.38)
Откуда следует, что
(6.39)
![]() |
Рис.6.6. Зависимость превышения температуры от времени
при нагреве однородного тела
Таким образом, т0 равно установившемуся превышению температуры, когда выделяемая мощность Р становится численно равной мощности, отдаваемой в окружающую среду с поверхности нагретого тела (k^0SxJ).
Очевидно
(6.40)
Из (6.39)следует:
![]() |
(6.41)
Касательная к кривой
в начале координат отсекает на прямой too отрезок, равный в выбранном масштабе постоянной времени Т.
Нетрудно показать, что при
(6.42)
На основании этого можно определять постоянную времени Т как время, необходимое для достижения
установившегося превышения температуры (см. рис.6.6).
С точностью
можно считать, что процесс установления температуры происходит через время, равное
После отключения аппарата начинается его охлаждение. Так как энергия, подводимая к аппарату, равна нулю, то левая часть также равна нулю:
(6.43)
Решение уравнения (6.43) имеет вид:
![]() |
(6.44)
где А — постоянная интегрирования, равная
![]() |
(6.45)
Окончательно получаем:
![]() |
ОСНОВЫ ТЕОРИИ ПЕРЕДАЧИ ТЕПЛА ТЕПЛОПРОВОДНОСТЬЮ
ОСНОВНОЙ ЗАКОН ТЕПЛОПРОВОДНОСТИ БИО - ФУРЬЕ
Основной закон теплопроводности математически описывается выражением
(6.46)
Здесь: количество тепла, передаваемое за время dt
через площадку S в направлении нормали к последней;
производная от температуры вдоль нормали (п) к
площадке S;
коэффициент теплопроводности {вт/м°С).
Знак (—) показывает, что тепло передается в направлении убывания температуры вдоль нормали (п) к площадке (S).
Поделив обе части равенства на dt, получим количество тепла, проходящее в единицу времени через площадку S
(6.47)
Производная
является тепловым потоком через площадку S. Отношение
![]() |
(6.48)
представляет собой плотность теплового потока в какой-либо точке на поверхности S. Таким образом, равенство можно написать в следующем виде
(6.49)
ПЕРЕДАЧА ТЕПЛА ТЕПЛОПРОВОДНОСТЬЮ СКВОЗЬ ТОЛЩУ СТЕНКИ, ОГРАНИЧЕННУЮ ДВУМЯ ПЛОСКОСТЯМИ
Рассмотрим простейшие случаи, когда тепловой поток Ф и его плотность Ф0 не изменяются во времени (стационарное состояние) и в пространстве.
Такой случай может иметь место при наличии стенки толщиной б, ограниченной двумя параллельными плоскостями и разделяющей две среды (жидких или газообразных) с различными температурами (рис. 6.7).
Пусть температура fli на всем протяжении одной стороны стенки 1 будет больше, чем температура Ь2 на противоположной стороне. Предполагая, что площадь стенки достаточно велика (теоретически не ограничена), можно предположить, что поверхности с одинаковой температурой (изотермические поверхности) в толще стенки будут представлять собой плоскости, параллельные граничным поверхностям, имеющим постоянные (но различные) температуры на всем протяжении каждой поверхности. При этом естественно, что изменение температуры будет происходить только в направлении нормали к поверхности стенки. Вследствие этого, направляя ось ординат вдоль стенки 1, ось абсцисс — вдоль нормали к поверхности стенки, и заменяя букву п буквой х в равенстве можно написать:
Этому дифференциальному уравнению соответствуют следующие граничные условия:
Решением уравнения будет
![]() |
(6.50)
Для определения Сх используем условие:
т. е.
Из последнего равенства следует, что температура в стенке изменяется по закону прямой.
Используя условие получим:
т. е.
(6.51)
![]() |
где падение (перепад) температуры в толще стенки при
данной плотности теплового потока.
![]() |
Рис.6.7. К расчету теплопередачи через плоскую стенку
![]() |
Формулу (6.51) пишут иначе, учитывая, что
(6.52)
Следует обратить внимание на аналогию уравнений соответствующим уравнениям для электрических явлений,
Закон Ома для теплового потока
![]() |
(6.53)
Закон Ома для однородного проводника
(6.54)
![]() |
Тепловое сопротивление стенки
![]() |
(6.55)
![]() |
Видно, что между явлениями электрического тока в проводниках и явлениями теплового потока существует далеко идущая аналогия, которой часто пользуются для упрощения решения различных задач по теплопередаче. В частности, для решения задач по нагреву электрических машин и аппаратов весьма удобным оказывается применение понятия о сопротивлении тепловому потоку.
РЕЖИМЫ НАГРЕВА ЭЛЕКТРИЧЕСКИХ АППАРАТОВ
КРАТКОВРЕМЕННЫЙ И ПОВТОРНО-КРАТКОВРЕМЕННЫЙ РЕЖИМЫ НАГРЕВА
Температура аппарата или отдельных его частей в процессе нагрева (или охлаждения) определяется отношением времени нагрева к постоянной времени нагрева аппарата или отдельной его части.
Уравнение процесса нагрева при отдаче тепла в окружающую среду по закону Ньютона имеет следующий вид
(6.56)
![]() |

Теоретически время достижения установившегося превышения температуры бесконечно, но если задаться точностью 2%, то при этом можно считать, что для достижения установившегося превышения температуры время нагрева должно быть больше, чем AT,так как
Если время нагрева t<4T, то, очевидно, температура аппарата не достигнет установившегося значения.
Аналогично при охлаждении аппарата, если время охлаждения аппарата (ток через аппарат не протекает) больше 4T, то можно считать, что за такой промежуток времени температура аппарата станет равной температуре окружающей среды.
Часто встречаются такие режимы работы аппаратуры, когда время, в течение которого аппарат включен (время нагрева) меньше, чем время, необходимое для нагрева до установившейся температуры, т. е. , а время паузы t- (когда ток через аппарат не протекает) много больше, т. е. Подобный режим работы аппарата называется кратковременным.

Очевидно, что при кратковременном режиме работы допустимая величина тока может быть принята большей, чем при длительном режиме.
Пусть известны допустимое превышение температуры аппарата ТДОП, длительно допустимый ток Iдл.доп или длительно допустимая мощность потерь PДЛ.ДОП и постоянная времени нагрева аппарата Т. Пусть через аппарат в кратковременном режиме за время Ткр протекает некоторый ток Iкр. Току Iкр соответствует мощность потерь Ркр. Если бы ток Iкр протекал достаточно долго, то в соответствии с уравнением (6.56) превышение температуры аппарата установилось бы равным (рис.6.8):
(6.57)
При времени протекания tкр максимальное превышение температуры окажется равным
(6.58)
(6.60)
В качестве условия мы примем, что это максимальное превышение температуры в кратковременном режиме не должно превзойти установившегося значения в длительном режиме, т. е.
(6.59)
то, подставляя , получим
![]() |
(6.60)
Откуда коэффициент допустимой перегрузки по мощности в кратковременном режиме
Если принять в простейшем случае, что мощность потерь пропорциональна квадрату тока, то коэффициент перегрузки по току в кратковременном режиме
![]() |
Рис.6.8.Кратковременный процесс нагрева
При конструировании аппаратов, специально предназначенных для кратковременного режима работы, надо стремиться к увеличению его постоянной времени нагрева Т, так как при этом растет коэффициент перегрузки по току и по мощности. Увеличение постоянной времени Т, как правило, достигается увеличением теплоемкости аппарата.
Если время бестоковой паузы недостаточно для полного остывания аппарата, т. е. если
то при последующем включении аппарата его нагрев начнется при некотором значении температуры, отличающимся от температуры окружающей среды
![]() |
Рис.6.9.Повторно-кратковременный процесс нагрева


Существует ряд аппаратов, предназначенных для работы в повторно-кратковременном режиме. В этом режиме циклы нагрева и охлаждения аппарата строго чередуются. Обозначим время работы аппарата в одном цикле (время протекания тока) tр, а время бестоковой паузы tп. Пусть Графически зависимость тока от времени в повторно-кратковременном режиме представлена на рис.6.9. Сумму назовем временем цикла tц.
В течение первого цикла за время tр1 аппарат нагревается до некоторого превышения температуры
, а за время первой паузы tп1 произойдет его охлаждение до
. Во втором цикле нагрев аппарата начнется при
=
и за время tр2 будет достигнуто превышение температуры
, но так как то
>
. За время второй паузы tn2 аппарат охладится и в конце второго цикла опять будет иметь место превышение температуры, которое будет больше, чем
. Если такие циклы будут периодически повторяться достаточно долго, то в конце концов установится процесс колебания температуры аппарата, так называемый квазиустановившийся режим.
Если в повторно-кратковременном режиме мощность потерь в аппарате в промежутки tр равна Рп.кр, то, очевидно, максимальное превышение температуры в квазиустановившемся режиме будет ниже, чем если бы мощность Рп.кр выделялась бесконечно долго, т.е.
. Для полного использования материалов в аппарате и для обеспечения надежности его работы должно соблюдаться условие
(6.61)
Рассмотрим п-й цикл при достаточно большом значении числа п квазиустановившегося режима. Для этого цикла справедливы равенства
Подставив, будем иметь
(6.62)
Установившееся превышение температуры при длительном процессе выделения мощности
(6.63)
получим
![]() |
(6.64)
тогда коэффициент перегрузки по мощности в повторно-кратковременном режиме
(6.65)
а коэффициент перегрузки по току
![]() |
(6.66)
При расчетах аппаратов, предназначенных для повторно-кратковременного режима работы, часто используется величина относительной продолжительности включения ПВ%. Она является выраженным в процентах отношением времени работы ко времени всего цикла, т. е.
(6.67)
Для аппаратов, предназначенных к работе в повторно-кратковременном режиме, обычно задается частота включения в час п. Тогда время цикла и время работы аппарата могут быть записаны в виде
(6.68)
где п — заданная частота включений в час.
получим выражение коэффициента перегрузки по току
(6.69)
ПРОЦЕСС НАГРЕВА ПРИ КОРОТКОМ ЗАМЫКАНИИ. ПОНЯТИЕ 0 ТЕРМИЧЕСКОЙ УСТОЙЧИВОСТИ
Режим короткого замыкания в цепи большей частью является аварийным и его обычно ликвидируют за малые промежутки времени — секунды и доли секунды, однако, как ни мала длительность протекания токов короткого замыкания, их воздействие может оказаться катастрофическим.

Обычно время воздействия токов к. з. tK 3 значительно меньше постоянной времени нагрева токоведущих частей. Легко показать, что при процесс нагрева происходит так, что тепло не отдается в окружающую среду. Такой процесс нагрева называют адиабатическим.
Действительно, если функцию разложить в ряд Маклорена, то выражение
(6.70)
примет вид
Если Вам понравилась эта лекция, то понравится и эта - Преимущества и неудобства буферного кеша.
(6.71)
Так как температуры проводников в конце процесса короткого замыкания строго ограничены, каждый аппарат может быть охарактеризован допустимой величиной произведения
Обычно задается не сама величина а величина тока неизменной силы, тепловое действие которого аппарат может выдержать в течение заданного времени так, что это не препятствует его дальнейшей нормальной работе. Эта величина тока называется током термической устойчивости. Чаще всего задается ток десяти-, пяти- или односекундиой термической устойчивости. Если необходимо найти ток термической устойчивости при времени действия t, отличающемся от 10 сек (или 5 сек соответственно), то это может быть легко сделано из условия

































































