Оксосоединения (альдегиды и кетоны)
ТЕМА №5: ОКСОСОЕДИНЕНИЯ: АЛЬДЕГИДЫ И КЕТОНЫ
Лекция 5.1: Оксосоединения (альдегиды и кетоны)
Учебные вопросы:
1. Альдегиды и кетоны в природе, их использование. Гомологический ряд альдегидов и кетонов, общая формула, изомерия, номенклатура.
2. Природа связей в карбонильной группе. Физико-химические свойства оксосоединений. Причины, объясняющие повышенную пожарную опасность оксосоединений (по сравнению со спиртами).
3. Основные химические реакции, в которые вступают альдегиды и кетоны: присоединение водорода, гидросульфита натрия, синильной кислоты; замещение пятихлористым фосфором, аммиаком и гидразином, окисление (неполное – до карбоновых кислот, горение, склонность к самовозгоранию), реакции полимеризации и поликонденсации альдегидов. Качественные реакции на альдегиды и кетоны. Различия в реакционной склонности альдегидов и кетонов.
4. Краткая характеристика муравьиного и уксусного альдегидов, диметилкетона, метилэтилкетона, циклогексанона.
Альдегиды и кетоны
Альдегиды и кетоны представляют собой производные углеводородов, в молекулах которых имеется карбонильная группа, называемая также карбонилом, >С=О. Альдегидами называют соединения с карбонильной группой, в которых атом углерода этой группы связан, по крайней мере, с одним атомом водорода. Кетонами называют карбонилсоединения, в которых углерод карбонильной группы связан с двумя углеводородными остатками. Строение альдегидов и кетонов можно представить следующим общими формулами:
Рекомендуемые материалы

Характерное для альдегидов сочетание карбонильной группы с водородом —С—Н, или упрощенно
называют альдегидной
группой, а карбонильную группу кетонов – кетогруппой.
По международной номенклатуре карбонильная группа называется также оксогруппой, а альдегиды и кетоны – соответственно оксосоединениями. Общая формула СnH2nO.
Альдегиды и кетоны отличаются по целому ряду свойств, однако, благодаря наличию в тех и в других карбонильной группы, в их свойствах есть много общего. Мы опишем эти соединения в одной главе, рассматривая их сходство и различия.
Номенклатура и изомерия альдегидов
Как мы увидим дальше, альдегиды легко окисляются, образуя кислоты с тем же углеродным скелетом. Наиболее употребительны русские и международные тривиальные названия альдегидов, происходящие от соответствующих тривиальных названий кислот, в которые альдегиды переходят при окислении. Простейший альдегид содержит один атом углерода, он называется муравьиным альдегидом или формальдегидом. Его состав и строение выражаются формулами:

Это единственный альдегид, в котором карбонильная группа связана с двумя водородными атомами, или, иначе, в котором альдегидная группа соединена не с углеводородным остатком, а с атомом водорода. Все альдегиды имеют строение, соответствующее приведенной выше формуле. Альдегид, содержащий в молекуле два углеродных атома, называется уксусным альдегидом или ацетальдегидом; следующий гомолог содержит три углеродных атома и называется пропионовым альдегидом или пропиональдегидом:

Альдегиды с четырьмя углеродными атомами, состав которых можно представить формулой С3Н7—СН=О, называются масляными альдегидами, они существуют в виде двух изомеров, различающихся строением углеродного скелета:

Альдегидная группа может быть образованы только первичным углеродным атомом, поэтому она всегда расположена на конце углеродной цепи молекулы альдегида.
Альдегиды С4Н9—СН=О с пятью углеродными атомами (четыре изомера) называются валериановыми альдегидами:


Из них лишь нормальный (I) называется собственно валериановым или валеральдегидом и только один (II) – изовалериановым или изовалеральдегидом; для остальных из этих альдегидов изостроения используются систематические названия. Альдегиды (II) и (III) имеют один углеродный скелет, но изомерны по положению альдегидной группы.
По международной заместительной номенклатуре названия альдегидов производят от заместительных названий соответствующих по углеродному скелету углеводородов, добавляя окончание – аль. Выбирая в формуле наиболее длинную (главную) углеродную цепь, в нее включают альдегидный углерод. Нумерацию цепи начинают с альдегидного углерода; при этом, поскольку альдегидная группа всегда находится при первичном углероде и, следовательно, в начале цепи, цифру 1, относящуюся к альдегидной группе, перед названием основы можно и не ставить. В соответствии с этим по заместительной номенклатуре название муравьиного альдегида – метаналь, уксусного – этаналь, н-валерианового (I) – пентаналь, изовалерианового (II) – 3-метил-1-бутаналь, или просто 3-метилбутаналь, а его изомера (III) – 2-метилбутаналь.
По рациональной номенклатуре более сложные альдегиды (главным образом изостроения) рассматривают: а) как производные уксусного альдегида СН3—СН=О, в метильной группе которого атомы водорода замещены углеводородными радикалами, или б) как производные нормального альдегида, соответствующего самой длинной цепи, перед тривиальным названием которого указывают название боковых радикалов; положения последних в цепи нормального альдегида обозначают греческими буквами. (В цепи альдегидов и кетонов буквой a обозначают углерод, соседний с карбонильным углеродом, следующий за ним – буквой b и т.д., как показано в формуле (I) валерианового альдегида.) Соответственно изовалериановый альдегид (II) может быть назван как изопропилуксусный или b-метилмасляный альдегид; его изомер (III) – метилэтилуксусный или a-метилмасляный альдегид; изомер (IV) – триметилуксусный или a,a-диметилпропионовый альдегид.
Номенклатура и изомерия кетонов
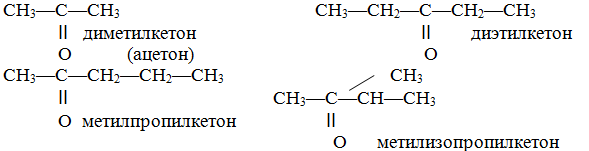
По международной радикально-функциональной номенклатуре названия кетонов, производят из названий радикалов, соединенных с карбонильной группой, и от окончания – кетон. Например:

Диметилкетон, или, как его обычно называют (тривиальное название), ацетон, является простейшим кетоном. Мы привели также формулы трех изомерных друг другу гомологов ацетона. На их примерах видно, что изомерия кетонов обусловлена с одной стороны, изомерией углеродного скелета (метилпропилкетон и метилизопропилкетон), с другой – изомерией положения карбонильной (кето-) группы в углеродной цепи молекулы (диэтилкетон и метилпропилкетон). Кетоны, в которых карбонильная группа связана с различными радикалами, называют смешанными кетонами (метилпропилкетон, метилизопропилкетон).
Кетогруппа может быть образована только вторичными углеродными атомами; образование же карбонильной группы за счет первичных углеродных атомов, как мы видели, характерно для альдегидов. Из этого следует, что кетоны и альдегиды с одинаковым числом углеродных атомов изомерны друг другу по положению карбонильной группы. Так, ацетон и пропионовый альдегид имеют один состав (С3Н6О) и являются изомерами:

По международной заместительной номенклатуре названия кетонов производят от заместительных названий соответствующих углеводородов, добавляя к ним окончания –он. Нумерацию цепи начинают с того конца, к которому ближе кетонная группа. Цифру, обозначающую положение этой группы, ставят перед названием основы (главной цепи). В соответствии с этим по заместительной номенклатуре диметилкетон (ацетон) имеет название пропанон, диэтилкетон – 3-пентанон, метилпропилкетон – 2-пентанон, метилизопропилкетон – 3-метил-2-бутанон.
Физические свойства
Первый представитель альдегидов формальдегид – газообразное вещество, ацетальдегид – уже легколетучая жидкость, следующие гомологи – жидкости, температуры кипения которых по мере увеличения числа атомов углерода в молекулах закономерно возрастают. Высшие по числу углеродных атомов – альдегиды – твердые вещества. Формальдегид и ацетальдегид хорошо растворяются в воде, растворимость последующих гомологов постепенно падает. Низшие альдегиды обладают резкими характерными запахами.
Среди кетонов при нормальных условиях нет газообразных веществ: уже ацетон – жидкость; высшие кетоны – твердые вещества. Для кетонов характерен не очень сильный, и даже приятный запах, на чем основано применение некоторых из них в парфюмерии. Низшие кетоны смешиваются с водой.
Химические свойства
Благодаря наличию в молекулах альдегидов и кетонов карбонильной группы эти вещества очень активны в химических реакциях. При этом альдегиды гораздо более реакционноспособны, чем кетоны.
В карбонильной группе кислород более электроотрицателен, чем углерод, поэтому p-электроны двойной связи смещены к кислороду. Эта связь значительно поляризована, чем объясняется активность карбонильной группы (I):

Алкильные остатки обладают электродонорными свойствами (способностью подавать электроны). В альдегидах смещение электронов от алкила к карбонильному углероду (II) уменьшает его частичный положительный заряд (d+). Поэтому реакционная способность карбонильной группы в уксусном альдегиде СН3—СН=О уже несколько меньше, чем в муравьином СН2=О, в котором карбонильный углерод не связан с алкилом. В ряду альдегидов реакционная способность уменьшается по мере усложнения алкильных радикалов. В кетонах под влиянием двух алкилов (III) положительный заряд карбонильного углерода и, следовательно, активность карбонильной группы еще более уменьшены.
Реакции окисления
Альдегиды и кетоны различно относятся к действию окислителей. Альдегиды окисляются очень легко; это обусловлено тем, что в их молекулах при уже окисленном углеродном атоме карбонильной группы имеется водород, который под действием различных окислителей (и даже кислорода воздуха) окисляется, образуя группу – ОН. Таким образом, альдегидная группа превращается в карбоксильную, и альдегиды, следовательно, окисляются в карбоновые кислоты с таким же, как в исходном альдегиде, числом углеродных атомов:

Кетоны окисляются значительно труднее, в их молекулах при уже окисленном углероде карбонильной группы нет водорода, и в этом отношении они напоминают третичные спирты. Поэтому они не окисляются слабыми окислителями. Под действием сильных окислителей они распадаются: разрывается углеродная цепь около карбонильной группы с одной или другой стороны, в результате образуются кислоты (иногда и кетоны) с меньшим числом углеродных атомов. Например:

Различное отношение к действию слабых окислителей используют для качественного открытия альдегидов в отличие от кетонов.
Качественная реакция на альдегиды с аммиачным раствором оксида серебра
Альдегиды окисляются оксидом серебра:

В качестве реактива берут бесцветный раствор оксида серебра в водном аммиаке, содержащий комплексное соединение [Ag(NH3)2]OH. При нагревании его с альдегидом, а иногда и на холоду выпадает серебро, образующее на поверхности стеклянного сосуда зеркальный слой (реакция серебряного зеркала).
Кетоны не окисляются оксидом серебра и этой реакции не дают.
Качественные реакции на альдегиды с соединениями меди
Свежеосажденный голубого цвета осадок гидрата оксида меди Cu(OH)2 при нагревании с альдегидами в результате окисления последних и восстановления оксида меди, превращается в осадок закиси меди кирпично-красного цвета:

Обычно для реакции берут так называемую жидкость Фелинга, которую готовят смешением раствора сульфата меди со щелочным раствором соли винной кислоты. При нагревании с альдегидом интенсивный синий цвет реактива исчезает и из раствора выпадает осадок оксид меди (I). Кетоны этих реакций не дают.
Реакции присоединения к карбонильной группе
За счет двойной связи карбонильной группы альдегиды и кетоны вступают в различные реакции присоединения. И в этом случае альдегиды обычно более активны, чем кетоны.
Восстановление альдегидов и кетонов (присоединение водорода)
Водород в момент выделения присоединяется к карбонильной группе альдегидов и кетонов. В присутствии катализаторов (например, Ni) возможно присоединение и обычного газообразного водорода (Н2). Альдегиды восстанавливаются в первичные, а кетоны – во вторичные спирты. Например:

Присоединение синильной кислоты
Альдегиды и кетоны присоединяют к карбонильной группе синильную кислоту-HCN (в присутствии следов щелочи). При этом образуется так называемые a-оксинитрилы (нитрилы a-оксикислот; циангидрины). В них оксигруппа (—ОН) находится при углероде, соседнем с нитрильной группой (остатком синильной кислоты —СºN), т.е. в a-положении. Например:

Важно отметить, что углеродный скелет оксинитрила содержит на один углеродный атом больше, чем исходный альдегид или кетон, т.е. при этой реакции происходит наращивание углеродной цепи.
Присоединение воды
Альдегиды могут присоединять молекулы воды, образуя гидраты. Водород воды присоединяется к карбонильному кислороду, а гидроксил – к углероду:

Образующийся гидрат альдегида представляет собой не что иное, как двухатомный спирт с двумя гидроксилами при одном углероде. Но мы уже знаем, что такие спирты неустойчивы: образуясь при реакциях, они выделяют воду и превращаются в соединения с карбонильной группой. Поэтому гидраты альдегидов существуют, за редким исключением, лишь в водном растворе. Приведенная реакция обратима, причем в зависимости от характера связанного с альдегидной группой радикала равновесие смещено в ту или иную сторону. Например, для раствора муравьиного альдегида оно почти полностью смещено вправо. Раствор уксусного альдегида тоже содержит значительное количество гидрата, а в случае высших альдегидов равновесие сильно смещено влево. [Интересным примером альдегида, прочно удерживающего молекулу воды, является трихлоруксусный альдегид, или хлораль, образующий устойчивый кристаллогидрат, именуемый хлоральгидратом:

В этом случае два гидроксила удерживаются при одном углероде благодаря влиянию атомов хлора при соседнем углероде. Хлоральгидрат вновь отщепляет молекулу воды и образует хлораль лишь при действии серной кислоты или при кипячении.]
Кетоны не образуют гидратов.
Взаимодействие со спиртами (образование полуацеталей и ацеталей)
Спирты – производные воды, также присоединяются к альдегидам. При этом вначале образуются полуацетали:

Полуацетали – не что иное, как неполные простые эфиры рассмотренных выше гидратов альдегидов, т.е. не существующих в свободном виде двухатомных спиртов; они тоже неустойчивы: разлагаются на исходные спирт и альдегид, и реакция их образования обратима. При нагревании альдегидов со спиртами в присутствии следов сухого хлористого водорода (катализатор) первоначально образовавшиеся полуацетали реагируют с еще одной молекулой спирта и, выделяя воду, превращаются в полные простые эфиры гидратов альдегидов – в так называемые ацетали:

Ацетали устойчивы и могут быть выделены в чистом виде. Это обычно приятно пахнущие, труднорастворимые в воде жидкости. В отличие от простых эфиров простых спиртов ацетали в присутствии кислот гидролизуются, образуя исходный спирт и альдегид; под действием щелочей их гидролиз не происходит.
В качестве примера приведем реакцию образования ацеталя из уксусного альдегида и этилового спирта:

диэтилацеталь уксусного альдегида
Как душистые вещества, ацетали используются в парфюмерии. Небольшое количество ацеталей (50-200 мг/г) образуется в виноградных винах в процессе их "созревания" и "старения" – в результате взаимодействия содержащихся в винах спиртов (главным образом этилового) с альдегидами (образующихся в вине в качестве продуктов окисления этих спиртов). В числе других веществ ацетали создают характерный аромат ("букет") вин.
Бисульфитная реакция
Альдегиды присоединяют молекулу бисульфита натрия NaHSO3, образуя кристаллические бисульфитные производные:

Кетоны также дают эту реакцию, но не все, преимущественно лишь те, у которых при карбонильной группе есть хотя бы одна метильная группа. Реакцию с бисульфитом применяют для выделения альдегидов и кетонов из различных смесей. Образующееся бисульфитное производное можно отделить, а затем разложить кислотой или щелочью; при этом вновь выделяется альдегид или кетон.
Реакция на альдегиды с фуксинсернистой кислотой
Краситель красного цвета – фуксин, при насыщении его раствора газообразным сернистым ангидридом (SO2) образует бесцветные раствор фуксинсернистой кислоты. Этот реактив при взаимодействии с альдегидами дает красно-фиолетовое окрашивание, что является качественной реакцией на альдегидную группу. Кетоны этой реакции не дают.
Реакции замещения кислорода карбонильной группы.
Замещение кислорода галогеном
При действии PCl5 или PBr5 на альдегиды или кетоны кислород карбонильной группы замещается двумя атомами галогена. Например:

При этом образуются дигалогенпроизводные, в которых оба атома галогена находятся при одном углеродном атоме.
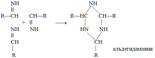
Действие аммиака
Альдегиды реагируют с аммиаком, образуя кристаллические соединения – так называемые альдегидаммиаки. Вначале молекула альдегида взаимодействует с одной молекулой аммиака; при этом выделяется вода и карбонильный кислород замещается на двухвалентный остаток аммиака – иминогруппу >NH; образующиеся вещества называются альдиминами:
R—CH=O + H2NH ¾® R—CH=NH + H2O
альдегид аммиак альдимин
Затем в результате соединения трех молекул альдимина (с разрывом в них двойных связей) получается альдегидаммиаки, имеющие циклическое строение:

Альдегидаммиаки разлагаются при действии разбавленных минеральных кислот, вновь выделяя исходные альдегиды.
Кетоны с аммиаком претерпевают другие сложные превращения.
Реакция с гидроксиламином
Альдегиды и кетоны реагируют с гидроксиламином ((NH2—OH); в результате с выделением воды карбонильный кислород замещается оксииминогруппой >N—OH и образуется так называемые оксимы альдегидов (альдоксимы) и кетонов (кетоксимы)


Оксимы обычно хорошо кристаллизуются; для каждого альдегида или кетона характерен оксим с определенной температурой плавления; это имеет большой значение для выделения и идентификации альдегидов и кетонов. Оксимы гидролизуются в присутствии минеральных кислот, выделяя исходный альдегид ил кетон.
Реакция с фенилгидразином
Аналогично гидроксиламину с альдегидами и кетонами реагирует фенилгидразин (NH2—NH—C6H5); при этом выделяется вода и образуется фенилгидразоны альдегидов и кетонов:

Фенилгидразоны – кристаллические вещества с характерными температурами плавления, поэтому их также применяют при выделении и идентификации альдегидов и кетонов. При гидролизе в присутствии минеральных кислот фенилгидразоны образуют исходные карбонильные соединения.
Реакции, в которых участвуют углеводородные радикалы
альдегидов и кетонов
Альдегиды и кетоны вступают в реакции не только при участии их карбонильной группы, но и при участии связанных с ней углеводородных радикалов. Карбонильная группа оказывает определенное влияние на течение этих реакций. Так, в предельных альдегидах и кетонах под влиянием карбонильной группы особую подвижность приобретают атомы водорода при углеродных атомах, соседних с этой группой, или, как говорят иначе, в a-положении к карбонильной группе, они особенно легко подвергаются замещению, а также участвуют в ряде других реакций. Карбонильная группа влияет и на некоторые реакции присоединения непредельных альдегидах и кетонах.
Замещение водорода в радикале на галоген
Водородные атомы в радикалах альдегидов и кетонов замещаются на галоген легче, чем в предельных углеводородах; при этом в первую очередь галоген замещает подвижные атомы водорода, в a-положении к карбонильной группе. Например:

Подвижность атомов водорода в a-положении к карбонильной группе связана с вызываемыми ею электронными смещениями:

Наличие у карбонильного углерода частичного положительного заряда (d+), возникающего вследствие смещения p-электронов двойной связи к кислороду, вызывает электронное смещения в s-связях Н—С при a-углеродном атоме. Увеличивается поляризация этих связей и способность a-водородных атомов отрываться в виде протона.
Реакции на двойную связь для непредельных альдегидов и кетонов
Подобно этиленовым углеводородам непредельные альдегиды и кетоны дают характерные реакции на этиленовую двойную связь. Например, они обесцвечивают раствор брома; с непредельным альдегидом - акролеином реакция протекает по схеме:

Присоединение галогенводородов к непредельным альдегидам, в которых карбоновая группа непосредственно связана с этиленовой группировкой, протекает так, что галоген присоединяется к углероду в b-положение к карбонильной группе. Так, бромистый водород присоединяется к акролеину по схеме:

В этом случае влияние карбонильной группы приводит к тому, что НBr присоединяется по месту двойной связи не в соответствии с правилом Марковникова. Аналогично протекает реакция присоединения воды.
Это объясняется смещением p-электронов этиленовой двойной связи, вызываемым электронным сдвигом в карбонильной группе:

Естественно, что анион галогена (в данном случае Br-) присоединяется к атому углерода этиленовой группы, несущему частичный положительный заряд (d+).
Межмолекулярные реакции альдегидов и кетонов
Для соединений с карбонильной группой, особенно для альдегидов, характерны межмолекулярные реакции, при которых происходит взаимодействие (уплотнение) нескольких или многих молекул с образованием продуктов, обладающих большим молекулярным весом.
Полимеризация альдегидов
Альдегиды, особенно их низшие представители, очень склонны к полимеризации. Реакция идет с разрывом двойных связей альдегидных групп, причем атомы карбонильного кислорода одной молекулы альдегида соединяются с атомами карбонильного углерода другой молекулы. Так, например, формальдегид полимеризуется по схеме:
nCH2=O <=> (—CH2—O—)n
формальдегид полимер формальдегида
Цепь полимера имеет строение
....—СН2—О—СН2—О—СН2—О—....
Число молекул, участвующих в образовании полимерной цепи (число n), зависит от условий полимеризации и природы альдегида. Формальдегид образует полимеры – полиформальдегиды с различной степенью полимеризации (с различной величиной n), обладающие разнообразными свойствами. Склонность к полимеризации с образованием линейных полимеров проявляется также у уксусного альдегида, но не характерна для других альдегидов.
Альдегиды полимеризуются и с образование не очень сложных циклических полимеров. Так, из уксусного альдегида под влиянием минеральных кислот образуется жидкий циклический тример (полимер, образованный тремя молекулами мономера), называемый паральдегидом:

уксусный альдегид тример уксусного альдегида
Описанные процессы полимеризации альдегидов обратимы: при нагревании полимеров, особенно в присутствии следов минеральных кислот, они деполимеризуются и распадаются на молекулы исходного альдегида.
Альдольная и кротоновая конденсация
Реакциями конденсации обычно называют различные процессы уплотнения органических молекул, приводящие к образованию более сложных соединений в результате возникновения новых связей между углеродными атомами.
В качестве примера приведем конденсацию уксусного альдегида под влиянием разбавленных щелочей (А.П. Бородин, 1863-1873; Ш.А. Вюрц), при которой в реакцию вступают две молекулы альдегида, одна реагирует своей карбонильной группой, а вторая – углеродным атомом в a-положении к карбонильной группе, содержащим подвижный атом водорода, по схеме:

В результате возникает новая С—С - связь и образуется вещество, содержащее одновременно альдегидную и спиртовую группы, оно было названо альдолем. (Альдоль – сокращенное название от слова альдегидоалкоголь, т.е. альдегидоспирт. Альдоль, получающийся из двух молекул уксусного альдегида, представляет собой b-оксимасляный альдегид, или, по заместительной номенклатуре, 3-оксибутаналь.) Конденсация карбонильных соединений, протекающая по такому пути и приводящая к веществам типа альдоля, называется реакцией альдольной конденсации. Последняя, по существу, является реакцией полимеризации, т.к. молекулярный вес образующегося альдоля является суммой молекулярных весов исходных молекул. Гомологи уксусного альдегида вступают альдольную конденсацию аналогично, но всегда за счет водорода в a-положении.
В альдольной конденсации могут участвовать и молекулы различных альдегидов, а также молекулы альдегидов и кетонов. Последние вступают в реакцию главным образом за счет атомов углерода и водорода, находящихся в a-положении к их карбонильной группе; сама же кабонильная группа кетонов в этих реакциях значительно менее активна, чем карбонильная группа альдегидов. Процессы альдольной конденсации имеют большое значение для синтетического получения углеводов. И в природе сложный процесс фотосинтеза углеводов в растениях проходит через стадию альдольной конденсации.
При соответствующих условиях реакция альдольной конденсации двух молекул альдегида или молекулы альдегида и кетона не останавливается на образовании альдоля; она может протекать дальше с отщеплением воды за счет подвижного водорода в a-положении к карбонильной группе и гидроксила при b-углеродном атоме (т.е. при втором от карбонильной группы). В этом случае, в результате взаимодействия двух молекул альдегида, через альдоль образуется непредельный альдегид:

Из уксусного альдегида, таким образом, получается кротоновый альдегид, от названия которого конденсация молекул карбонильных соединений, протекающая с выделением воды и образованием непредельных карбонильных соединений, получила название кротоновой конденсации. Конденсация этого типа уже не может быть отнесена к реакциям полимеризации, так как новое, более сложное вещество образуется с выделением воды, и его молекулярный вес не является суммой молекулярных весов исходных молекул.
Альдегиды вступают в реакции конденсации и с соединениями других классов, например с фенолами, ароматическими аминами и другими. На этом основано, в частности, очень важное использование их в промышленности пластических масс.
Сложноэфирная конденсация альдегидов (реакция Тищенко)
В 1906г. В.Е. Тищенко открыл особый вид межмолекулярного взаимодействия альдегидов. Под влиянием алкоголята алюминия две молекулы, уксусного альдегида взаимодействуют следующим образом:

уксусный альдегид сложный эфир (этилацетат)
Одна молекула присоединяется к карбонильной группе второй молекулы и образуется сложный эфир. Поэтому реакции такого типа и называются сложноэфирной конденсацией. Как мы увидим дальше, сложные эфиры при гидролизе распадаются с образованием спирта и кислоты. Из этого следует, что при сложноэфирной конденсации по существу одна молекула альдегида восстанавливает вторую в спирт, а сама при этом окисляется в кислоту.
Сложноэфирная конденсация имеет важное значение в ряде биохимических процессов (например, в процессах брожения).
Реакция диспропорционирования (реакция С. Канницаро)
Реакция диспропорционирования (самоокисления-самовосстановления) происходит при действии концентрированной щелочи на альдегиды, не содержащие у a-углеродного атома атомов водорода (или вообще не имеющих a-углеродного атома). К таким соединениям относятся формальдегид и ароматические альдегиды:

Если же взять два различных альдегида, то идет перекрестная реакция:

Способы получения альдегидов и кетонов
Окисление и дегидрирование спиртов
Как уже было указано, соединения с карбонильной группой могут быть получены при окислении и дегидрировании спиртов. При этом альдегиды образуются из первичных, кетоны из вторичных спиртов. (см. стр. 96-97.)
Гидролиз дигалогенпроизводных
Альдегиды и кетоны могут быть получены действием воды на дигалогенпроизводные, в которых оба атома галогена находятся при одном углеродном атоме. Предполагают, что при этом вначале образуются двухатомные спирты с двумя гидроксилами при одном углероде; но, как известно, они неустойчивы и в момент образования выделяют воду превращаются в соединение с карбонильной группой:

Реакция ускоряется в присутствии щелочей. Из дигалогенпроизводных с галогеном при первичном углероде образуются альдегиды:

1,1-дихлорэтан уксусный альдегид
Если оба атома галогена находятся при вторичном углероде, то образуется кетон:

Гидратация ацетиленовых углеводородов
Как было указано, присоединение воды к углеводородам с тройной связью (реакция Кучерова) приводит к образованию карбонильных соединений. Из ацетилена при этом образуется альдегид (уксусный), а из его гомологов получаются кетоны (см. стр. 66.).
Сухая перегонка кальциевых солей карбоновых кислот
При нагревании без доступа воздуха кальциевые соли карбоновых кислот разлагаются, образуя кетоны. Так, из уксуснокислого кальция получают ацетон:

уксуснокислый кальций
Смешанные кетоны получают из смесей кальциевых солей двух различных кислот. Такую смесь можно представит как смешанную соль.
Например, чтобы получить метилэтилкетон, надо взять кальциевую соль уксусной и пропионовой кислот:

Как видно из уравнения, наряду со смешанным кетоном в качестве побочных продуктов образуются два симметричных кетона. Если исходить из смеси, в которой одна из кальциевых солей – соль муравьиной кислоты, то могут быть получены соответствующие альдегиды. Например:

Не трудно понять, что в качестве побочных продуктов при этом образуется муравьиный альдегид Н2С=О и симметричный кетон (в данном случае диметилкетон). В описанных реакциях могут быть использованы и бариевые соли кислот.
Оксосинтез
В промышленности значительное количество альдегидов получают присоединением окиси углерода и водорода к углеводородам ряда этилена. Например, из пропилена может быть получена смесь масляного и изомасляного альдегидов:

Исходную смесь газов под высоким давлением пропускают над нагретым катализатором, содержащим Со. В качестве сырья используют этиленовые углеводороды из газов переработки нефти, а также водяной или синтез-газ. Образующиеся альдегиды могут быть восстановлены в соответствующие первичные спирты или окислены в кислоты. Метод получения кислородсодержащих соединений из этиленовых углеводородов, окиси углерода и водорода называют оксосинтезом.
Отдельные представители альдегидов и кетонов
Формальдегид СН2=О (муравьиный альдегид, метаналь).
Представляет собой бесцветное горючее вещество с острым раздражающим запахом. Ткип. = –19,2 оС, Тпл. = –92 оС, Температура самовоспламенения 430 оС, область воспламенения 7,73 % объемных. (Тушить тонкораспыленной водой, воздушно-механической пеной на основе ПО-11.) Растворим в воде, обычно используется в виде 33-40 % водного раствора, который называют формалином. Газообразный формальдегид самопроизвольно полимеризуется, образуя тример состава (СН2О)3, Тпл.= 62 оС, циклического строения, подобный тримеру уксусного альдегида, но не содержащий боковых метилных групп. При длительном стоянии водных растворов формальдегида, особенно при низких температурах, а также при упаривании в них осаждается белый осадок – полимер формальдегида состава (СН2О)n, который называют параформальдегидом (или параформом). Он представляет собой смесь низкомолекулярных полиформальдегидов с величиной n от 10 до 50. При нагревании до 140-160 оС параформальдегид деполимеризуется и превращается в газообразный формальдегид; процесс ускоряется в присутствии кислот.
В промышленности формальдегид обычно получают из метилового спирта; пары спирта в смеси с воздухом пропускают через контактный аппарат с раскаленной медной спиралью:

Образующийся формальдегид улавливают в воду. Другой важный способ получения формальдегида заключается в неполном окислении кислородом воздуха метана, входящего в состав природных газов. Процесс ведут в присутствии катализаторов (соединения Mn и Cu) при температуре около 400 оС:
СН4 + О2 ¾® СН2=О + Н2О
Формальдегид получается в смеси с другими кислородсодержащими соединениями. Его отделяют ректификацией.
Вырабатывают формальдегид в больших количествах. Он применяется в производстве пластмасс. Полиформальдегид с большим молекулярным весом – ценный синтетический материал, используемый в качестве заменителя металлов. В кожевенной промышленности формальдегид применяется для дубления кожи, в медицине и санитарии – для дезинфекции. В с/х формальдегид используется для протравливания семян перед посевом (уничтожают паразитические споры). Так как формальдегид образуется при неполном сгорании различных органических веществ, то он содержится в дыме угля, дерева; на этом основано консервирующее действие дыма при получении мясных и рыбных копченостей.
Ацетальдегид СН3—СН=О (уксусный альдегид, этаналь).
Представляет собой бесцветную легколетучую, легковоспламеняющуюся жидкость с сильным характерным запахом прелых яблок. Ткип.= +20,8 оС, Тпл.= —122,6 оС. (Температура воспламенения –38 оС, температура самовоспламенения 185 оС; область воспламенения 4-55 % объемных. Тушить водой.)
Хорошо растворим в воде. В присутствии капли серной кислоты полимеризуется, образуя жидкий тример состава (С2Н4О)3 – так называемый паральдегид. При низких температурах получается кристаллический тетрамер состава (С2Н4О)4 – так называемый метальдегид. Оба полимера при нагревании с серной кислотой деполимеризуются.
В промышленности ацетальдегид получаю главным образом из ацетилена (по реакции Кучерова), а также каталитическим дегидрированием этилового спирта. По новому промышленному способу его синтезируют (с выходом до 95%), окисляя этилен кислородом воздуха при помощи катализатора, содержащего хлориды меди и палладия:

Используют ацетальдегид для многих промышленных синтезов. Особенно важно окисление его в уксусную кислоту, превращение в этилацетат (по реакции Тищенко); может быть восстановлен в этиловый спирт.
Ацетон СН3—СО—СН3 (диметилкетон).
Бесцветная, легковоспламеняющаяся жидкость с довольно приятным запахом, Ткип. = 56,1 оС, Тпл.= —94,3 оС. Смешивается с водой. Раньше ацетон получали вместе с метиловым спиртом и уксусной кислотой при сухой перегонке дерева. В настоящее время главный промышленный способ получения ацетона – каталитическое дегидрирование вторичного пропилового спирта; последний в свою очередь получают гидратацией пропилена, добываемого из газов крекинга. Ацетон является ценным растворителем (в производстве лаков, искусственного шелка, взрывчатых веществ) и исходным веществом в синтезе разнообразных органических соединений.
В последнее время в технике большое значение приобрело применение ацетона для получения так называемого кетена. Для этой цели ацетон подвергают пиролизу, пропуская его пары над нагретой до 500-600 оС окисью алюминия:

Кетен – газообразное вещество, очень реакционноспособное. Применяется для получения уксусного ангидрида и ряда других ценных продуктов, в частности, очень хорошего пищевого консерванта – сорбиновой кислоты. (Твоспл.= —18 оС; минимальная темп. самовоспл. 465 оС; область воспл. 2,2-13,0 % объемн.; температурные пределы воспламенения: нижний —20 оС; верхний 6 оС. Тушить - тонкораспыленной водой, омыленной химической пеной, воздушно-механической пеной на основе ПО-11.)
Метилэтилкетон СН3СОС2Н5 (этилметилкетон, бутанон-2).
Бесцветная легковоспламеняющаяся жидкость. Тпл.= -86,40 оС, Ткип. 79,60 оС; растворимость в воде 22,6 % вес. Температура воспламенения = —6 оС; температура самовоспламенения 514 оС; область воспламенения 1,9-10,0 % объемных; температурные пределы воспламенения : нижний – —110 оС, верхний – 200 оС. Максимально взрывоопасное содержание кислорода при разбавлении паровоздушной смеси углекислым газом - 14,05 % объемных; азотом - 11,3 % объемных.
Циклогексанон С6Н10О (анон).
Легковоспламеняющаяся бесцветная маслянистая жидкость с запахом мяты. Тпл. = —31,2 оС; Ткип.= 155,7 оС; В воде труднорастворим. Темп. воспламенения 40 оС; Темп. самовоспламенения 495 оС; область воспламенения 0,92-3,5 % объемных; температурные пределы воспламенения: нижний- 31 оС, верхний- 57 оС. Тушить тонкораспыленной водой, пеной.

ЛИТЕРАТУРА
Вам также может быть полезна лекция "98 Биологическое пространство и время".
1. Писаренко А.П., Хавин З.Я. Курс органической химии. М., Высшая школа,
1975. 510 с.
2. Нечаев А.П. Органическая химия. М., Высшая школа, 1976. 288 с.
3. Артеменко А.И. Органическая химия. М., Высшая школа, 2000. 536 с.
4. Березин Б.Д., Березин Д.Б. Курс современной органической химии. М., Высшая школа, 1999. 768 с.
5. Ким А.М. Органическая химия. Новосибирск, Сибирское университетское издательство, 2002. 972 с.





















