Методы решения уравнения движения поезда
24. Методы решения уравнения движения поезда.
Используются три метода решения уравнения движения поезда:
1. Аналитический.
2. Метод установившихся скоростей.
3. Графический.
При решении уравнения движения поезда любым способом необходимо иметь диаграмму удельных ускоряющих и удельных замедляющих сил.
24.1.Аналитический метод.


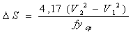
Принимается определенный интервал скорости ΔV, пусть равный 10 км/ч. В каждом интервале скорости от 0 до 10 км/ч, от 10 до 20 км/ч и так далее по диаграмме удельных ускоряющих и удельных замедляющих сил определяем fy ср. Например, в интервале от 10 до 20 км/ч
(Н/кН), затем необходимо учесть величину уклона данного профиля пути, при ξ
подсчитываем:
Аналогичным способом подсчитывают для другого профиля пути. Далее все Δt складываем и находим время, например, для разгона поезда. Складывая всеΔS, определяется путь, проходимый, например, при разгоне поезда.
Рекомендуемые материалы
С учетом полученных данных ΔV, Δt, ΔS можно построить графические зависимости V(S) и t(S).
24.2.Метод установившихся скоростей.
По диаграмме удельных ускоряющих и удельных замедляющих сил по крутизне каждого элемента пути определяют установившуюся скорость.
Установившиеся скорости для каждого элемента пути можно определить путем наложения на тяговую характеристику кривые сопротивления движению поезда на различных уклонах.
Точки пересечения тяговой характеристики и кривых сопротивления движению поезда будут показывать установившуюся скорость для каждой крутизны.
Информация в лекции "33 Конфликты психологического уровня" поможет Вам.
Время движения поезда по каждому элементу пути при равномерной скорости
, где t в мин, S в км, V в км/ч.
При этом необходимо внести поправки на разгон и замедление, которые принимаются для электровозов tp = 2 мин, tЗ = 1 мин, для электропоездов – tp = 0,5 мин, tЗ = 0,4 мин. Время движения по перегону (в мин): 
При этом методе не учитывается плановый переход от одной скорости движения к другой при изменении профиля пути.
Сравнивая расчеты с использованием метода установившихся скоростей и графическим методом, разница получается 4÷7% при электрической тяге и 11÷17% при тепловой тяге.
24.3.Графический метод.
Подробно рассмотрен в методических указаниях по выполнению курсовой работы.























