- Специализированные процессоры для ИС
ЛЕКЦИЯ 11
Специализированные процессоры для ИС.
МБД.
Основные требования:
1) Поддержка широкого спектра типа данных
2) Естественное представление в БД отношений между объектами
3) Поддержка целостности БД в различных предметных областях и ???????
4) Управление распред. БД
Рекомендуемые материалы
5) Повышение надёжности БД.
6) Реализация дедукт. БД
ЭВМ общего назначения: программная реализация функций СУБД приводит к громоздкости и непроизводительности, снижению надёжности.
Причины:
1) ? ? ? ? ? ?Функция надёжности? ? ? ? ? ? структуры памяти неадекватна требованиям СУБД (поиск, обновление, защита и др.)
2) Многоуровневое и сложное ПО СУБД.
3) Перегружаемость ЭВМом функциями управления БД.
МБД – считается аппаратно-программным мультипроцессорным комплексом для реализации некоторых или всех функций СУБД.
Используются реляционные модели данных: из-за их свойств
1) расчленение отношений на непересекаемые группы
2) возможность массовой парной обработки
3) простота и независимость данных
4) повышение развития теории реляционных БД
Основные технические приёмы:
1) Использование многоканальных устройств массовой памяти со встроенными в каналы процессорами поиска и фильтра
2) Использование буферизации между УМП и основной памятью
3) Сегмент данных в УМП
4) Использование ассоциативной памяти в качестве буфера
5) Использование подсистем опережающей выборки данных в буферную память.
6) Реализация режимов ??????? интерпретации каждой операции, конвейерная и потоковая обработка операций и транцакций в целом.
7) Функция специализирования процессоров обработки и аппаратной реализации в виде СБИС.
МБД. 2 класса:
1) Многопроцессорные, неоднородные (МН МБД)
2) Сетевые.
Особенности МН МБД:
1) наличие как минимум трех уровней обработки данных:
а) селекционная и первичная обработка данных (контр. устр. мас. нам.);
б) вторичная обработка (операции реляционной алгебры);
в) структурная обработка (индикация, кластеризация);
2) системная буферная память между а и б уровнями обработки (опережающая выборка и стадир.);
3) функция параллелизма (физическое распределение аппарат) для первичной и вторичной обработки.


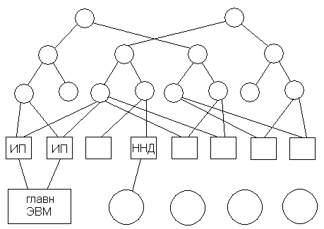
Сетевая МБД
Буферная память до 128 Мб.
Основная память до нескольких сотен Гб.
Систологическая МБД

У-сетевая МБД

Ассоциативные параллельные процессоры
Память адресуется по своему содержимому, + ???паралл. проц.???
Т.е. дополнительные функции АП:
1) сравнение хранимого числа с заданным;
2) указать совпадает или не совпадает.
Регистр указывает результат поиска (первое откликн. слово, т.е. разрешение множества откликов).
Ассоциативный процессор – это /семантическая сеть/, погруженная в вычислительную среду.
Ассоциативный процессор используется в МБД. Поиск операции (точно совпад, >, <).
Однородные структуры
Однородная структура – это вычислительная сеть с одинаковыми вычислительными элементами, связанными друн с другом регул-м образом.
Но для решения заданных ОС объединяя.т все вычислитешльные структуры.
Требования к аппаратной части:
1) универсальность с перенастройкой;
Обратите внимание на лекцию "Сердце, Сосудистая система".
2) развитие интерф. связи;
3) шинная связь;
4) специальный язык (волновой).
Для увеличения производительности используют алгоритм распространения сообщений по относительному адресу.
Модуль ОС хранит кроме программы информацию относительного адреса модулей, хранящих семантические связанные данные.





















