Магнитные усилители без обратной связи
Глава 22
МАГНИТНЫЕ УСИЛИТЕЛИ БЕЗ ОБРАТНОЙ
связи
§ 22.1 Физические основы работы магнитных усилителей
Работа магнитных усилителей основана на использовании свойств ферромагнитных материалов. Напомним эти свойства, известные из курса физики. Если по обмотке, расположенной на сердечнике из ферромагнитного материала, проходит электрический ток, то в сердечнике возникает магнитное поле. Это магнитное поле в сердечнике характеризуется напряженностью Н и магнитной индукцией
. Напряженность магнитного поля Я создается током, проходящим по обмотке, и выражается в амперах на метр (
). Магнитная индукция В увеличивается при возрастании напряженности Н и выражается в теслах (Тл). Кривая, характеризующая зависимость магнитной индукции В от напряженности магнитного поля
, называется кривой намагничивания ферромагнитного материала (рис. 22.1).
Начиная с некоторого значения напряженности магнитного поля дальнейшее ее увеличение практически не приводит к изменению магнитной индукции. В этом случае говорят, что магнитный материал достиг состояния насыщения. Максимальная индукция в сердечнике называется индукцией насыщения
, напряженность поля при этом равна 
Если далее уменьшать напряженность поля, то изменение магнитной индукции происходит по новой кривой (кривая 2). Индукция при этом уменьшается медленнее, чем она возрастала при увеличении
от 0 до
(кривая 1). При уменьшении напряженности магнитного поля до нуля (т. е. при отсутствии тока в обмотке) индукция в сердечнике сохраняет значение
, называемое остаточной индукцией. При увеличении напряженности магнитного поля в обратном направлении (т. е. при изменении направления тока в обмотке) индукция уменьшается до нуля при напряженности —
, которая носит название коэрцитивной силы. Затем при значении напряженности
сердечник снова насыщается, индукция в нем будет равна
. Теперь при изменении напряженности от
до
изменение индукции происходит по кривой 3. Таким образом, изменение индукции в зависимости от напряженности поля происходит по графику, имеющему вид петли, называемой петлей гистерезиса. Как видим, зависимость
имеет явно выраженный нелинейный характер.

В зависимости от ширины петли гистерезиса различают магнитомягкие и магнитотвердые материалы. Материалы с широкой петлей гистерезиса называются магнитотвердыми, они используются для постоянных магнитов. Материалы с узкой петлей гистерезиса называются магнитомягкими, они используются для сердечников магнитных усилителей и других электромагнитных устройств: реле, трансформаторов, электрических машин. Для пояснения принципа действия магнитного усилителя можно пренебречь петлей гистерезиса и считать, что изменение магнитной индукции в зависимости от напряженности происходит по средней (основной) кривой намагничивания (кривая / на рис. 22.1).
Рекомендуемые материалы
Рассмотрим процессы, происходящие в сердечнике, если к обмотке (рис. 22.2) приложено синусоидальное напряжение 
, где
—мгновенное значение напряжения;
—максимальное (амплитудное) значение напряжения;
—угловая частота;
— текущее значение времени.
Под действием этого напряжения по обмотке пойдет ток
, а в сердечнике происходит изменение магнитной индукции В и напряженности магнитного поля Н.
Связь между электрическими и магнитными величинами определяется на основании закона полного тока и закона электромагнитной индукции. Согласно закону полного тока, напряженность магнитного поля
в сердечнике пропорциональна току
в обмотке и обратно пропорциональна средней длине пути магнитного потока в сердечнике.
Согласно закону электромагнитной индукции, при изменении магнитной индукции (магнитного потока Ф) в обмотке индуцируется электродвижущая сила (ЭДС)
, которая пропорциональна числу витков обмотки
и скорости изменения магнитного потока Ф.
Так как магнитный поток равен произведению магнитной индукции
на сечение сердечника
, то

Знак минус означает, что ЭДС е направлена навстречу напряжению
, вызывающему появление магнитного потока.
Приложенное к обмотке переменное напряжение
уравновешивается падением напряжения на активном сопротивлении обмотки
и значением ЭДС
:

ЭДС
намного больше
, т. е.
мало, поэтому можно принять 
Подставляя в это равенство значения напряжения
и ЭДС
, получим

откуда

Интегрируя это уравнение, получим

где
—постоянная интегрирования, представляющая собой постоянную составляющую магнитной индукции.
определяется начальным магнитным состоянием сердечника (при отсутствии подмагничивания сердечника постоянным магнитным полем
).
Амплитудное (максимальное) значение переменной составляющей индукции равно
(22.1)
-
Так как действующее значение синусоидального напряжения в
раз меньше его амплитудного значения
, то на основании формулы (22.1) можно записать
(22.2)
где
и
—соответственно действующие значения напряжения ЭДС, а
—их частота, Гц.
Анализ уравнения (23.2) позволяет сделать важный вывод:амплитуда магнитной индукции
не зависит от магнитных
|
|
свойств сердечники и постоянной составляющей магнитной индукции и однозначно определяется амплитудой приложенного 'к обмотке переменного напряжения. В зависимости от магнитных свойств сердечника и первоначального подмагничивания
изменяется не амплитуда переменной составляющей индукции, а ток
в обмотке и соответственно напряженность магнитного поля 
В соответствии с законом полного тока можно записать выражение для среднего значения напряженности поля:


где l — средняя длина пути магнитного потока по сердечнику.
Для выяснения зависимости тока
, протекающего по обмотке с числом витков
при синусоидальном напряжении
, от свойств материала сердечника и постоянной составляющей магнитной индукции воспользуемся графическими построениями.
На рис. 22.3 изображена средняя кривая намагничивания сердечника
, обозначенная MON. На этом же рисунке изображены две кривые изменения во времени магнитной индукции: 1 — при отсутствии постоянной составляющей магнитной индукции; 2—при наличии постоянной составляющей, равной Во.
Проецируя значения магнитной индукции, соответствующие кривой 1, на кривую намагничивания, находим кривую изменения напряженности поля
в зависимости от времени при переменной индукции без постоянной составляющей. Аналогичным построением находим кривую изменения напряженности поля
в зависимости от времени при наличии постоянной составляющей индукции. Так как напряженность поля может быть создана только током
, протекающим в обмотке сердечника, то кривые
и
на рис. 22.3 в другом масштабе представляют собой зависимости этого тока
от времени. Из сравнения кривых
и
видно, что при подмагничивании сердечника постоянным током, т. е. при наличии постоянной составляющей магнитной индукции
, растет переменная составляющая напряженности поля и, следовательно, переменный ток в обмотке. На этом явлении и основано действие магнитных усилителей.
Важной характеристикой материала сердечника является относительная магнитная проницаемость
, где
— магнитная постоянная (
). Относительная проницаемость является безразмерной величиной, показывающей, во сколько раз проницаемость данного материала сердечника превышает проницаемость вакуума (или воздуха). Из анализа кривой намагничивания
видно, что магнитная проницаемость ферромагнитного материала, из которого изготовлен сердечник, непостоянна. Сначала кривая идет круто вверх, малым изменениям
соответствуют большие изменения
, т. е. магнитная проницаемость велика. Затем кривая изгибается и идет полого, индукция
мало увеличивается при возрастании
, т. е. магнитная проницаемость уменьшается. Именно из-за нелинейного характера изменения индукции от напряженности, т. е. из-за непостоянства магнитной проницаемости, и достигается эффект усиления в магнитном усилителе. Подмагничивание постоянным током приводит к уменьшению магнитной проницаемости и, как следствие, к увеличению (усилению) переменного тока.
§ 22.2. Принцип действия магнитного усилителя
Для изучения принципа действия магнитного усилителя рассмотрим его простейшую схему (рис. 22.4, а, б), состоящую из двух обмоток. Одна обмотка — рабочая (или обмотка переменно-

го тока) с числом витков
, другая — обмотка управления (или управляющая) с числом витков
. Обе обмотки размещены на общем ферромагнитном замкнутом сердечнике. На обмотку управления подается входной сигнал в виде напряжения постоянного тока
или тока
, подлежащего усилению. Последовательно с рабочей обмоткой включена нагрузка
, напряжение на которой
является выходным сигналом усилителя. Цепь рабочей обмотки получает питание от источника напряжения переменного тока (например, промышленной частоты 50 Гц). Сердечник одновременно намагничивается двумя полями: постоянным, созданным током
, протекающим в обмотке
, и переменным, созданным током
, протекающим в обмотке
. Если принять сопротивление рабочей обмотки чисто индуктивным
, а форму тока — близкой к синусоидальной, то ток в нагрузке

Так как
, то
| (22.4) |
где
—угловая частота питающего напряжения
;
—индуктивность рабочей обмотки.
Напряженность магнитного поля в сердечнике создается именно током
. Так как мы приняли допущение о синусоидальности тока, то и напряженность будет изменяться по синусоидальному закону. Амплитудное значение напряженности

(22.5)
где
—средняя длина пути магнитного потока в сердечнике. Выразим из уравнения (22.4) индуктивность рабочей обмотки:

Подставим сюда значение
из уравнения (22.2)
и значение
из уравнения (22.5):
|
|
где
—динамическая (или действующая) магнитная проницаемость материала сердечника для переменной составляющей магнитного поля:
(22.7)

Так как с увеличением постоянной составляющей индукции В0 амплитуда индукции
остается неизменной, а
растет (см.рис. 22.3), то, согласно формулам (22.6) и (22.7), проницаемость сердечника
и индуктивность
рабочей обмотки уменьшаются подмагничивании сердечника постоянным магнитным полем. Характер зависимости
и
от напряженности постоянного поля
при
показан на рис. 22.5.
определяется током в обмотке управления:
(22.8)
|
|
|
|
|
|
Из формул (22.4) и (22.6) следует, что при неизменном напряжении сети
ток в цепи нагрузки
может быть увеличен только за счет уменьшения магнитной проницаемости
для переменной составляющей магнитного поля, так как остальные параметры (
;
;
;
;
) не изменяются. Уменьшение магнитной проницаемости
достигается за счет увеличения постоянного подмагничивающего поля в сердечнике, создаваемого управляющим током
в соответствии с уравнением (22.8).
При изменении тока нагрузки
будет изменяться и падение напряжения
на нагрузке
, т. е. выходной сигнал. Мощность, выделяемая в нагрузке, может во много раз превышать мощность, расходуемую в управляющей обмотке, т. е. схема обладает усилительными свойствами и ее можно рассматривать как простейший магнитный усилитель. Такой усилитель называют еще дроссельным, поскольку изменение тока в нагрузке обеспечивается за счет изменения индуктивности рабочей обмотки, т. е. сопротивления дросселя — катушки с сердечником (рис. 22.6).
Рассмотренная схема по рис. 22.4 имеет серьезные недостатки и крайне редко применяется на практике. Дело в том, что замыкающийся по сердечнику переменный магнитный поток наводит в обмотке управления (как во вторичной обмотке трансформатора) переменную ЭДС. Поэтому выходной сигнал может влиять на входной. А усилители должны обладать однонаправленностью действия: только от входа к выходу. Для уменьшения значения переменного тока, протекающего по цепи управления под влиянием наведенной ЭДС, последовательно с управляющей обмоткой
включают большую индуктивность
. Однако при этом увеличивается инерционность усилителя: при быстрых изменениях входного напряжения ток управления изменяется медленно. Кроме того, увеличивается расход материала (так как необходим сердечник и для дросселя), возрастают габариты и вес усилителя. Другим недостатком рассмотренной схемы является то, что форма тока в нагрузке существенно отличается от синусоиды, что видно по кривой 2' на рис. 22.3.
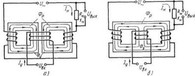
Для уничтожения ЭДС, наводимой в обмотке управления, ис-

пользуются схемы магнитных усилителей с двумя одинаковыми сердечниками (рис. 22.7, а, б). Такие схемы составлены из схем по рис. 22.4 как из типовых элементов, что особенно хорошо видно на рис. 22.7, а. Рабочая обмотка
и обмотка управления
имеют по две секции — по одной на каждом сердечнике. Секции управляющей обмотки
соединяются последовательно и встречно; следовательно, происходит взаимное вычитание ЭДС, индуцируемых в каждой секции. Поскольку сердечники и соответствующие обмотки на них одинаковы, происходит взаимное уничтожение (компенсация) ЭДС, наведенных переменным магнитным полем. Секции рабочей обмотки
включены последовательно и согласно. В один полупериод питающего переменного напряжения
переменный магнитный поток
складывается с постоянным
магнитным потоком
в одном сердечнике и вычитается в другом сердечнике. В следующем полупериоде сердечники меняются ролями. Таким образом, совместное действие на цепь нагрузки обеих секций рабочих обмоток в каждый из полупериодов совершенно одинаково. Обе полуволны нагрузки будут симметричны (без четных гармоник), т. е. форма кривой тока будет менее искажена, чем в схеме с одним сердечником (см. рис. 22.3).
§ 22.3. Основные схемы и параметры нереверсивных магнитных усилителей
Проследим пути магнитных потоков в обоих сердечниках магнитного усилителя, изображенного на рис. 22.7. Магнитные потоки обмотки управления
в соседних стержнях направлены в одну сторону, а магнитные потоки рабочей обмотки
—в противоположные стороны. Поэтому обмотку управления можно выполнять не в виде двух секций (по одной на каждом сердечнике),

Рис. 22.8. Магнитные усилители с общей обмоткой управления
а общей — охватывающей стержни обоих сердечников (рис. 22.8, а). ЭДС, наведенные переменными магнитными потоками Ф ~ в секциях рабочей обмотки, расположенных на крайних стержнях, взаимно компенсируются. Возможно и выполнение магнитных усилителей на Ш-образном сердечнике (рис. 22.8, б). Секции рабочей обмотки наматываются на крайних стержнях, а обмотка управления— на среднем стержне. В этом случае в среднем стержне происходит компенсация переменного потока
, поскольку потоки от каждой секции рабочей обмотки направлены в среднем стержне навстречу друг другу и равны по величине. Поэтому выходной сигнал не будет влиять на входной.
Нет принципиальной разницы между выполнением магнитного усилителя на одном Ш-образном или на двух сердечниках. Поэтому при дальнейшем рассмотрении будем изображать только схемы соединения обмоток, отмечая при необходимости согласное и встречное включение секций обмоток с помощью точек, указывающих начало обмотки.
В зависимости от соединения секций рабочей обмотки и нагрузки различают схемы с последовательной и параллельной нагрузкой. На рис. 22.7 и 22.8 нагрузка включается последовательно с рабочей обмоткой. Диаграммы ЭДС для такой схемы показаны на рис. 22.9. Ток нагрузки в этом случае будет синусоидален, поскольку при неизменном входном сигнале в каждом из полупериодов питающего напряжения рабочий поток одной секции скла-
|
|
дывается с потоком управления, а рабочий поток другой секции вычитается из потока управления. Поэтому общая индуктивность
рабочей обмотки будет постоянна при неизменном входном сигнале. Мгновенное значение тока нагрузки
|
|
где
и
— активное и индуктивное сопротивления нагрузки соответственно;
и
—активное и индуктивное сопротивления рабочей обмотки (обеих секций);
|
|
фазовый сдвиг между током и напряжением, определяемый соотношением активного и индуктивного сопротивлений..
При неизменном входном сигнале все сопротивления неизменны и ток имеет синусоидальную форму.
Синусоидальный ток рабочей обмотки создает в сердечнике синусоидальную напряженность поля
, что, в свою очередь, приводит к несинусоидальному потоку. Кривая изменения индукции в одном периоде получена графически на рис. 22.9, а. Как видно из диаграмм мгновенных значений (рис. 22.9, б, в), ЭДС, создаваемые несинусоидальными потоками разных секций рабочей обмотки в обмотке управления, не уничтожаются полностью. Это приводит к появлению в обмотке управления ЭДС двойной частоты
(рис. 22.9, г). В тех случаях, когда наличие ЭДС двойной частоты в цепи управления нежелательно, предпочтение следует отдать параллельному соединению секций рабочей обмотки.
При параллельном соединении секций рабочей обмотки (рис. 22.10, а) в каждой из них протекает несинусоидальный ток, содержащий четные гармоники (рис. 22.10, б, в). Однако ток нагрузки, представляющий собой сумму токов секций, близок к синусоидальному (рис. 22.10, г). Это объясняется тем, что четные гармоники тока циркулируют в короткозамкнутом контуре, образованном секциями рабочей обмотки, и не выходят в цепь нагрузки. Наличие короткозамкнутого контура в цепи рабочей обмотки приводит к уменьшению быстродействия по сравнению с последовательным соединением секций рабочей обмотки.
Схема магнитного усилителя, в которой нагрузка включена параллельно секциям рабочей обмотки, соединенным встречно, показана на рис. 22.11. Для поддержания неизменным тока питания используется достаточно большое добавочное сопротивление
В зависимости от входного сигнала происходит перераспределение токов между нагрузкой и рабочей обмоткой. При отсутствии управляющего сигнала (
) индуктивное сопротивление рабочей обмотки
максимально, вследствие чего в рабочую обмотку ответвляется незначительный ток. При этом ток в нагрузке имеет максимальное значение. По мере увеличения входного сигнала индуктивное сопротивление рабочей обмотки уменьшается, а ток в ней возрастает, что приводит к уменьшению тока нагрузки.
Аналогично происходит изменение тока в нагрузке в так называемой трансформаторной схеме (рис. 22.12). Здесь помимо секций обмотки
, включенных встречно через добавочное сопротивление
на напряжение источника питания
, имеется обмотка
, питающая нагрузку
. Такая схема позволяет изолировать цепь нагрузки от цепи питания и получать на нагрузке практически любое напряжение, отличное от напряжения питания. Ток в нагрузке зависит от коэффициента трансформации обмоток, под которым в данном случае понимается отношение напряжений на обмотках
и
.
Этот коэффициент не остается постоянным, как в обычном трансформаторе, а зависит от сигнала управления, изменяющего магнитную проницаемость. При отсутствии управляющего сигнала (
) магнитная проницаемость

и индуктивность обмоток имеют максимальное значение и падение напряжения на этих обмотках велико. Коэффициент трансформации будет максимален, и соответственно ток нагрузки
имеет максимальное значение. При увеличении входного сигнала индуктивность обмотки wpi уменьшается. Соответственно уменьшаются коэффициент трансформации, напряжение па обмотке
и ток нагрузки
Схема с параллельным соединением нагрузки по рис. 22.11 применяется чаще всего тогда, когда имеется источник тока, например в схемах автоматики, питаемых от трансформаторов тока. Применение источника напряжения и использование добавочного сопротивления
экономически невыгодно из-за больших потерь в этом сопротивлении. Трансформаторные магнитные усилители с параллельной нагрузкой широко используют как элементы реверсивных схем магнитных усилителей (см. гл. 24).
Все рассмотренные схемы магнитных усилителей (см. рис. 22.7—22.12) питали нагрузку переменным током. При необходимости питать нагрузку постоянным током используются выпрямительные схемы. В качестве примера включения нагрузки постоянного тока на рис. 22.13, а приведена схема с последовательным включением выпрямительного моста и нагрузки. Магнитный усилитель с выходным постоянным током может использовать и двух-полупериодную схему па двух диодах и трансформаторе с выводом от средней точки вторичной обмотки (рис. 22.13, б).
§ 22.4. Основные характеристики магнитных усилителей
Основной характеристикой магнитного усилителя является зависимость действующего или среднего значения тока в нагрузке от тока управления:
. Графическое изображение такой зависимости называется статической характеристикой вход-выход. Для всех рассмотренных выше схем магнитных усилителей зависимость магнитной проницаемости и индуктивности рабочей' обмотки от тока управления показана на рис. 22.14. При отсутствии управляющего сигнала (
) эти величины имеют максимальное значение. Если подадим в обмотку управления постоянный ток
, то в сердечнике создается постоянный магнитный поток, накладывающийся на переменный поток, созданный рабочей обмоткой. По мере увеличения входного сигнала
из-за нелинейности характеристики намагничивания происходит насыщение сердечника.
|
|
Это приводит к уменьшению магнитной проницаемости
, а следовательно, и индуктивности рабочей обмотки
. Направление (полярность) тока управления не влияет на
и
. Вид статической характеристики вход-выход зависит от того, как включена нагрузка: последовательно или параллельно рабочей обмотке.
На рис. 22.15, а показана статическая характеристика для схем магнитных усилителей (см. рис. 22.7, 22.8, 22.10, 22.13). Здесь
— ток холостого хода усилителя (подмагничивающее поле отсутствует),
— максимальный ток. В идеальном усилителе при отсутствии входного сигнала (
) должен быть равен нулю и выходной
сигнал (
). Однако из-за того, что при
магнитная проницаемость и индуктивность рабочей обмотки не равны бесконечности, через нагрузку протекает небольшой ток холостого хода
. По мере увеличения входного сигнала (тока управления) растет выходной сигнал (ток нагрузки), но из-за насыщения сердечника этот рост ограничен некоторым максимальным током
=
. Отношение максимального тока к току холостого хода называется коэффициентом кратности тока
—это один из
параметров усилителя. Чем больше этот коэффициент, тем лучше усилитель.
Наряду с коэффициентом кратности тока магнитный усилитель характеризуется следующими параметрами: коэффициентом усиления, чувствительностью, максимальной мощностью в нагрузке, КПД рабочей цепи, постоянной времени, добротностью.

Рассмотрим коротко эти параметры. Коэффициент усиления — это отношение приращения тока, напряжения или мощности в нагрузке к приращению соответствующего параметра в цепи управления.
|
|
| Коэффициент усиления по напряжению |
Коэффициент усиления по току
|
|
| Коэффициент усиления по мощности |
(22.10)
|
|
(22.11)
Поскольку статическая характеристика магнитного усилителя нелинейная, коэффициенты усиления по току, напряжению и мощности не являются постоянными величинами. Поэтому различают максимальные значения
,
,
и их значения, соответствующие
заданной выходной мощности усилителя.
При большом значении коэффициента кратности тока
, когда ток холостого хода по сравнению с максимальным током нагрузки мал, можно с достаточной точностью считать, что
;
Например, уже при
ошибка от пренебрежения током холостого хода не превышает 
Чувствительность
— минимальная мощность входного сигнала, начинал с которого пропорционально изменяется ток нагрузки.
Максимальная мощность в нагрузке

Коэффициент полезного действия рабочей цепи

где
—полное активное сопротивление рабочей цепи.
Постоянная времени
характеризует быстродействие усилителя и определяется отношением индуктивности и активного сопротивления обмотки управления 
Добротность является универсальным параметром, учитывающим и коэффициент усиления и быстродействие:

Магнитные усилители по сравнению с другими типами усилителей обладают таким существенным преимуществом, как высокая стабильность во времени параметров и статической характеристики. Имея практически неограниченный срок службы, магнитные усилители не требуют регламентных работ и могут использоваться во взрыво- или пожароопасных условиях, а также при наличии радиоактивного излучения.
Максимальная мощность магнитных усилителей достигает сотен киловатт. Например, на Московском трансформаторном заводе еще в 1933 г. были изготовлены магнитные усилители мощностью 800 кВт для автоматического регулирования частоты вращения мощного асинхронного двигателя. Коэффициент усиления по мощности 100-ваттного магнитного усилителя при частоте питания 50 Гц обычно составляет 50—200. Для более мощных усилителей этот коэффициент увеличивается.
КПД простейших нереверсивных магнитных усилителей обычно лежит в пределах от 0,6 до 0,98. Коэффициент кратности магнитных усилителей в значительной степени зависит от материала сердечника. Для магнитных усилителей с сердечниками из трансформаторной стали
, а с сердечниками из сплавов высокой магнитной проницаемости
Минимальное значение усиливаемой мощности составляет
Вт для сердечников из трансформаторной стали и
Вт для сердечников из сплавов высокой проницаемости. Статическая характеристика вход-выход магнитных усилителей с параллельным включением нагрузки (по рис. 22.11) имеет вид, показанный на рис. 22.15, б. Она обратна характеристике усилителя с последовательной нагрузкой. Действительно, при управляющем сигнале
индуктивность
рабочей обмотки будет максимальной и, следовательно, ток в нагрузке
будет иметь наибольшее значение. С ростом входного сигнала ток в нагрузке
уменьшается, так как все большая часть тока питания ответвляется в рабочую обмотку, индуктивное сопротивление которой уменьшается.
§ 22.5. Теория идеального магнитного усилителя
Теоретически магнитный усилитель можно рассматривать как переменную индуктивность, величина которой зависит от тока управления. В связи с нелинейностью кривой намагничивания переменный ток, протекающий по рабочей обмотке, содержит высшие гармоники. Расчеты для цепей с такими токами весьма сложны. Поэтому для математического анализа работы магнитного усилителя делают различные упрощения (допущения), не вносящие существенных погрешностей, но позволяющие получить сравнительно простые методы расчета.
|
|
Наибольшее распространение получила теория идеального магнитного усилителя. Эта теория основана на предположении, что сердечник имеет идеальную кривую намагничивания (рис. 22.16). По сравнению с реальной эта кривая имеет следующие особенности:
1) на участке от
до
магнитная проницаемость равна бесконечности;
2) в области насыщения магнитная проницаемость равна нулю;
3) площадь петли гистерезиса равна нулю.
На основании теории идеального магнитного
усилителя можно получить представление о форме кривых индукции, ЭДС, напряжения и тока. А главное — эта теория дает простые формулы для основных параметров усилителя. Рассмотрим работу идеального магнитного усилителя при последовательном соединении рабочей обмотки с нагрузкой и выходным постоянным током (см. рис. 22.13, а). Будем полагать, что и рабочая обмотка, и обмотка управления состоят из двух секций, расположенных соответственно на двух сердечниках. Секции обмотки управления включены встречно. Число витков рабочей обмотки —
, секций обмотки управления —
Пусть приложенное к рабочей обмотке напряжение изменяется по синусоидальному закону
В секциях обмотки управления наводятся ЭДС, сумма которых должна быть равна нулю. Если пренебречь сопротивлением цепи управления, то уравнение ЭДС имеет вид

где
и
—ЭДС, индуцируемые в первом и втором сердечниках переменным магнитным потоком, созданным секциями рабочей обмотки;
и
—мгновенные значения индукции в первом и втором сердечниках с поперечным сечением
. Отсюда Интегрируя это равенство, при наличии тока управления получим
(22.13)
где
—постоянная интегрирования, представляющая собой удвоенное значение составляющей индукции в каждом сердечнике от тока управления.
Из уравнений (22.12) и (22.13) видно, что индукции в обоих сердечниках изменяются во времени по одному закону и отличаются друг от друга на постоянную величину
Поэтому и ЭДС, индуцируемые в секциях рабочей обмотки, будут равны:
(22.14)
где
Рассмотрим режим работы усилителя, когда подмагничивание отсутствует, т. е.
Если при напряжении, приложенном к рабочей обмотке, оба сердечника находятся в ненасыщенном состоянии, т. е.
и
, то магнитная проницаемость сердечников равна бесконечности, а следовательно, и индуктивное сопротивление рабочей обмотки равно бесконечности. В этом случае ток в цепи рабочей обмотки равен нулю и напряжение источника питания равно и направлено навстречу ЭДС самоиндукции секций рабочей обмотки:

В соответствии с равенством (22.14) напряжение питания распределится поровну между секциями рабочей обмотки:

или, подставляя значения ЭДС
и
(22.15)
Проинтегрировав (22.15), получим закон изменения индукции:
или
где
На рис. 22.17 показаны графики изменения напряжения, приложенного к рабочей обмотке (рис. 22.17, а), и индукции при отсутствии подмагничивания (пунктирная линия на рис. 22.17, б).
Теперь рассмотрим режим работы при наличии подмагничивания, т. е. когда по обмотке управления проходит ток. Этот постоянный ток создает постоянное магнитное поле, индукция которого равна
. В одном сердечнике магнитные потоки, обусловленные постоянным и переменным токами, будут складываться, а в другом — вычитаться, вследствие чего значения индукции в сердечниках будут отличаться на величину
. В результате кривая индукции в одном сердечнике пойдет выше, а в другом — ниже (соответственно
и
на рис. 22.17, б).
Пусть в начальный момент подачи тока управления (
) индукция
В этом случае индукция
имеет некоторое начальное значение
По мере возрастания напряжения питания индукция
увеличивается и при
достигает значения насыщения. За это же время с такой же скоростью согласно уравнению (22.12) уменьшается по абсолютной величине индукции
от своего начального значения —
.
|
|
|
|
| Закон изменения индукции в сердечниках за время отдо получим, интегрируя уравнение (22.15): |
Индукция
, достигнув величины насыщения, в дальнейшем некоторое время остается постоянной. Из уравнения (22.12) можно заключить, что если
в одном сердечнике индукция постоянна, то в другом сердечнике в тот же промежуток времени индукция также будет постоянной. Это условие выполняется даже в том случае, если этот другой сердечник ненасыщен. Поэтому если с момента
=
индукции в сердечниках не меняются, то ЭДС самоиндукции в секциях рабочей обмотки равны нулю и все напряжение питания оказывается приложенным к нагрузке.
Ток в нагрузке скачком достигает наибольшего значения
, где
— активное сопротивление рабочей цепи. Таким образом, от
до момента насыщения первого сердечника при
все напряжение сети приложено к рабочей обмотке, а остальную часть полупериода от
до
—к нагрузке (рис. 22.17, а). В следующий полупериод этот процесс повторяется с тем отличием, что сердечники меняются ролями. Таким образом, в интервале управления (от 0 до
) оба сердечника ненасыщенны, а в интервале насыщения (от
до
) один из них насыщен, что приводит к постоянству потока и в другом сердечнике.
На рис. 22.17, г показана кривая тока в рабочей обмотке, а на рис. 22.17, в — в нагрузке. Как видно из совместного рассмотрения графиков на рис. 22.17, б, в, г, напряжение на нагрузке при угле насыщения
скачком достигает наибольшего значения и затем изменяется по синусоидальному закону. Угол
определяется постоянной индукцией
, т. е. управляющим сигналом
. Если сигнал
, то
, а угол
, следовательно, ток в нагрузке равен нулю. С ростом сигнала
увеличивается
, а угол
уменьшается, и ток в нагрузке растет.
Режим работы магнитного усилителя напоминает работу тиратрона с фазовым управлением, где угол
является углом зажигания тиратрона. Поэтому угол
в теории магнитных усилителей (по аналогии с тиратронными цепями) также называют углом зажигания или регулирования. Идеальный магнитный усилитель действует как переключатель, который периодически подключает нагрузку к источнику питания в моменты, фиксированные относительно начала полупериода напряжения питания и определяемые значением управляющего сигнала.
Определим уравнение статической характеристики вход-выход для идеального магнитного усилителя.
Из идеальной кривой намагничивания (см. рис. 22.16) видно, что для ненасыщенного сердечника
. Выше было установлено, что сердечники усилителя насыщаются поочередно, причем в каждый полупериод один из сердечников ненасыщен. В первом полупериоде (рис. 22.17) ненасыщен второй сердечник и для него справедливо равенство
#'
где
—средняя длина пути магнитного потока.
Во втором полупериоде ненасыщенным оказывается первый сердечник и для него справедливо это же равенство. Поэтому мгновенные значения токов в рабочей и управляющей обмотках в любой момент времени связаны соотношением
(22.16)
Изменение тока управления
происходит с частотой, которая вдвое больше частоты питания (рис. 22.17, д). Этот ток содержит кроме переменной и постоянную составляющую. Переменная составляющая является следствием трансформации тока из цепи нагрузки в соответствии с соотношением (22.16); она имеет основную частоту
. Постоянная составляющая
(среднее значение тока) не может появляться вследствие трансформации, она обусловлена управляющим сигналом и численно равна току сигнала
(рис. 22.17, д). Так как формула (22.16) справедлива для мгновенных значений тока в течение всего полупериода, то аналогичное равенство будет справедливо и для средних значений токов нагрузки и управления:
| (22.17) |
или
, где
—среднее (за половину периода) значение напряженности магнитного поля от тока нагрузки. Полученное равенство представляет собой основное уравнение идеального магнитного усилителя и по нему строится статическая характеристика
, показанная на рис. 22.18 (кривая /). Максимально возможное значение тока имеет место при
, когда постоянно насыщены оба сердечника сразу. В этом случае равенство (22.17) теряет свою силу. Максимальная величина постоянной составляющей тока нагрузки в этом случае

где
—максимальная величина постоянной составляющей выпрямленного напряжения;
— активное сопротивление рабочей цепи, состоящее из сопротивления нагрузки
и сопротивления рабочей обмотки
При рассмотрении работы идеального магнитного усилителя не учитывалось сопротивление выпрямителя
, которое несколько уменьшает значение тока нагрузки. Из формулы (22.17) можно определить значения коэффициентов усиления магнитного усилителя:
по току

по напряжению

по мощности

Из последней формулы следует, что чем больше число витков обмотки управления при заданном сопротивлении
этой обмотки, тем больше коэффициент усиления по мощности.
Если усилитель выполнен без выпрямителя на выходе, т. с, по нагрузке проходит переменный ток, то в этом случае за выходной сигнал принимают действующее значение тока нагрузки

где
—коэффициент формы кривой тока нагрузки.
Соответственно коэффициенты усиления будут равны
■
Статическая характеристика усилителя без выпрямителя показана на рис. 22.18 (кривая 2,).. Нелинейность характеристики объясняется тем, что коэффициент формы зависит от
При
имеем
, а с ростом
коэффициент формы увеличивается.
Если в нагрузке переменного тока имеется индуктивность, то она сглаживает кривую тока и вызывает запаздывание тока относительно напряжения.
Полученное выше основное уравнение (22.17) идеального магнитного усилителя с последовательным соединением секций рабочей обмотки справедливо и для параллельного соединения. В этом случае также происходит поочередное насыщение сердечников. Однако четные гармоники в цепи управления отсутствуют, зато они протекают в контуре рабочей обмотки. Так как через секцию рабочей обмотки каждого сердечника проходит половина тока нагрузки, то уравнение статической характеристики имеет вид

Соответственно изменяется выражение для коэффициентов усиления.
§ 22.6. Инерционность идеального магнитного усилителя
Изменение напряжения на нагрузке магнитного усилителя отстает от изменения входного сигнала
, т. е. усилитель обладает некоторой инерционностью. Инерционность магнитного усилителя определяется переходным процессом в цепи управления, вихревыми токами и потерями на гистерезис в сердечниках, переходным процессом в цепи переменного тока.
Вихревые токи и потери на гистерезис вызывают отставание постоянной составляющей индукции от напряженности поля подмагничивания. Однако применение для сердечников тонких листов из железоникелевых сплавов позволяет свести потери на гистерезис и вихревые токи практически к нулю. Поэтому в большинстве случаев замедлением процесса, вызванным вихревыми токами и гистерезисом, можно пренебречь.
У большинства магнитных усилителей время переходного процесса в цепи нагрузки во много раз меньше длительности процесса в цепи управления. Поэтому считают, что инерционность всего усилителя определяется только постоянной времени цепи управления.
При подаче напряжения на обмотку управления постоянная составляющая тока не сразу достигает установившегося значения.
Уравнение переходного процесса в цепи управления имеет вид

где
— потокосцепление двух обмоток управления;
— полное сопротивление цепи управления.
Так как обмотки управления включены встречно, то

На основании формулы (22.13)
Тогда
(22.18)
. Согласно теории идеального
магнитного усилителя, имеем
Из выражения для среднего рабочего тока получим
|
|
| где |
(22.19)
На основании (22.17)

Подставив значения
и
в выражение (22.19), имеем

Тогда уравнение для
запишем в виде
(22.20)
Подставив в выражение (22.18) значение
получим уравнение переходного
процесса в цепи управления:
где
постоянная времени цепи управления, которая как видим, зависит не только от параметров самой цепи управления, но и от параметров рабочей цепи.
Если в выражении для
заменить отношение витков через коэффициенты усилений, а отношение сопротивлений — через КПД, то после несложных преобразований постоянную времени цепи управления можно представить как

где
— коэффициент полезного действия рабочей цепи магнитного усилителя.
Для оценки качества усилителя в переходном режиме вводится понятие о его добротности. Добротность равна отношению коэффициента усиления по мощности к постоянной времени, т. е.
(22.21)
Для усилителя с выходным переменным током

Следовательно, при
добротность не зависит от параметров обмоток, нагрузки и мощности и определяется только частотой напряжения источника питания. Из выражения (22 21) видно, что при заданных
и
увеличение коэффициента усиления по мощности вызывает пропорциональное возрастание
. Поэтому практически добротность усилителя повышают путем увеличения частоты напряжения питания.
Постоянную времени цепи управления можно значительно уменьшить за счет снижения
Однако это не даст возможность беспредельно уменьшать запаздывание усилителя в целом, так как в этом случае необходимо учитывать запаздывание рабочей цепи переменного тока. Так как время переходного процесса в рабочей цепи составляет 0,5—1 периода питания, то длительность переходного процесса в усилителе в целом не может быть меньше этой величины. При
время переходного процесса не может быть меньше 0,01 — 0,02 с. Следовательно, действенным средством уменьшении инерционности магнитного усилителя является повышение частоты напряжения питания.
Если в усилителе кроме обмоток управления и рабочих имеется еще ряд обмоток, то каждая из них создает свой замкнутый контур, который замедляет изменение управляющего потока. Результирующая постоянная времени приближенно равна сумме постоянных времени всех обмоток управления и смещения.
§ 22.7. Графоаналитический способ построения статической характеристики магнитного усилителя
|
|
При рассмотрении физических процессов в магнитных усилителях мы видели, что рабочие точки двух сердечников в один и тот же момент времени находятся на различных участках кривой намагничивания. Когда один сердечник насыщен, другой находится в ненасыщенном состоянии, и наоборот. При расчете усилителя значительно удобнее иметь единую эквивалентную кривую намагничивания, на которой рабочая точка была бы общей для обоих сердечников и полностью характеризовала работу и состояние усилителя. Такой эквивалентной кривой является кривая одновременного намагничивания материала сердечников постоянным и переменным магнитными полями.
В расчетной практике широко распространен графоаналитический способ построения статических характеристик, основанный на теории линеаризованного магнитного усилителя. При этом используются экспериментально снятые характеристики одновременного намагничивания материала сердечника переменным и постоянным полями
. Здесь
и
— индукция и напряженность переменного магнитного поля, а
—напряженность постоянного магнитного ноля. Семейство характеристик
приведено на рис. 22.19. На форму кривых этого семейства оказывают влияние не только материал сердечника, но и наличие воздушных зазоров и полей рассеяния, частота питающей сети, форма и размеры сердечника, схема соединения обмоток
, величина сопротивления управляющей цепи. Все указанные факторы автоматически учитываются при экспериментальном снятии семейства кривых намагничивания. Поэтому нельзя характеристики, снятые для одного типа сердечника, использовать при расчете усилителя, имеющего другой сердечник.
Семейство кривых
строится по формулам

где
— ЭДС в рабочих обмотках, а соответствующие токи и напряжения определяются по методу амперметра — вольтметра.
Формула для определения индукции справедлива для синусоидальных
и
Поэтому при ее использовании мы осуществляем линеаризацию, пере-
ходя к эквивалентным синусоидам ЭДС и тока в рабочей цепи.
Для усилителя с выходным постоянным током используются характеристики
. 3десь
определяется по среднему значению рабочего тока
а
Рассмотрим порядок построения статической характеристики линеаризованного усилителя с выходным переменным током. Для цепи переменного тока усилителя, состоящей из последовательно соединенных дросселя и активной нагрузки, можно написать следующее уравнение:
(22.22)
где
При последовательном соединении обмоток
имеем

Подставив значения
и
в выражение (22.22), получим уравнение эллипса
(22.23)
где;— полуоси эллипса.
Уравнение
(22.23)
связывает переменные
и
. Эти же величины связаны и характеристиками намагничивания
Совместное графическое решение уравнений эллипса и семейства характеристик намагничивания позволяет получить при известных параметрах нагрузки и напряжении питания статическую характеристику усилителя.
По известным значениям полуосей строим на семействе характеристик намагничивания эллипс, оси которого совпадают с осями координат (рис. 22.20, а). Точки пересечения эллипса с кривыми
определяют в соответствующей системе координат
характеристику усилителя
, которая может быть легко пересчитана в характеристику
При комплексной нагрузке в дополнение к эллипсу из начала координат проводим луч ON под углом
к оси абсцисс:
где Хя — реактивное сопротивление нагрузки.
Рекомендация для Вас - 7. Синтез нечетких регуляторов.
Вычитая из ординат эллипса ординаты прямой
, получим кривую, показанную на рис. 22.20, а пунктиром. Точки пересечения этой кривой с характеристиками намагничивания определяют зависимость
для индуктивной нагрузки. При емкостной нагрузке ординаты эллипса и прямой
складываются.
Рассмотренный способ построения статической характеристики усилителя позволяет удобно выявить влияние различных факторов на характеристику

«вход-выход». Для этого необходимо определить, используя формулу (22.23), как влияет рассматриваемый параметр на величины полуосей эллипса
и
. Например, при повышении напряжения полуоси эллипса возрастают. Смещение точек, определяющих ток холостого хода, показывает, что с увеличением напряжения он также возрастает.
Влияние различных параметров показано на рис. 22.20, б, в, г. Из рисунка видно, что увеличение частоты питания почти не сказывается на характеристике усилителя. Возрастание сопротивления нагрузки приводит к снижению коэффициента кратности тока в нагрузке.










































