Контрольная по высшей математике: интегралы и ряды
Задача: Кратные интегралы, ряды и функции комплексной переменной
Новинка
Контрольная работа по дисциплине «Высшая математика»
Тема: «Кратные интегралы, ряды, дифференциальные уравнения, функции комплексной переменной»
Вариант № 2
Задание № 1 Кратные интегралы
Однородная пластина имеет форму четырехугольника (рисунок 1). Указаны координаты вершин. С помощью двойного интеграла вычислить координаты центра масс пластины.
Рисунок 1 - Пластина
Задание № 2. Дифференциальные уравнения
Найти общее решение дифференциального уравнения
Задание № 3. Степенные ряды
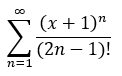
Найти область сходимости ряда
Задание № 4. Приближенные вычисления с помощью разложения функции в ряд
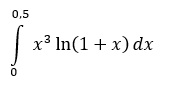
Вычислить с точностью до 0,001 значение определенного интеграла, разлагая подынтегральную функцию в степенной ряд
Задание № 5. Линии и области в комплексной плоскости
По заданным условиям построить область в комплексной плоскости
Задание № 6. Функции комплексного переменного
Вычислить значение функции комплексного переменного, результат представить в алгебраической форме.
Показать/скрыть дополнительное описание
Тема: «Кратные интегралы, ряды, дифференциальные уравнения, функции комплексной переменной»
Вариант № 2
Задание № 1 Кратные интегралы
Однородная пластина имеет форму четырехугольника (рисунок 1). Указаны координаты вершин. С помощью двойного интеграла вычислить координаты центра масс пластины.
Рисунок 1 - Пластина Задание № 2. Дифференциальные уравнения
Найти общее решение дифференциального уравнения
Задание № 3. Степенные ряды Найти область сходимости ряда
Задание № 4. Приближенные вычисления с помощью разложения функции в ряд Вычислить с точностью до 0,001 значение определенного интеграла, разлагая подынтегральную функцию в степенной ряд
Задание № 5. Линии и области в комплексной плоскости По заданным условиям построить область в комплексной плоскости
Задание № 6. Функции комплексного переменного
Вычислить значение функции комплексного переменного, результат представить в алгебраической форме.
Показать/скрыть дополнительное описаниеКонтрольная работа по высшей математике включает решения по кратным интегралам, линейным дифференциальным уравнениям, степенным рядам и функциям комплексной переменной. В ней разобраны типовые приёмы: вычисление центра масс, исследование сходимости ряда, приближённое интегрирование через разложение в ряд и построение областей на комплексной плоскости. Подойдёт студентам технических и IT-направлений для подготовки к зачёту или проверки оформления решений..
Характеристики решённой задачи
Предмет
Учебное заведение
Семестр
Просмотров
0
Размер
217,32 Kb
Список файлов
Контрольная работа .docx
🎓 Никольский - Помощь студентам 📚 Любые виды работ: тесты, сессии под ключ, практики, курсовые и дипломные с гарантией результата ✅ Все услуги под ключ ✅ Знаем все тонкости именно вашего ВУЗа ✅ Сдадим или вернем деньги
Комментарии
Нет комментариев
Стань первым, кто что-нибудь напишет!
МФПУ «Синергия»
nikolskypomosh














