Для студентов ИГЭУ им. Ленина по предмету Высшая математикаУсловия к Промежуточному контролюУсловия к Промежуточному контролю
2025-04-082025-05-13СтудИзба
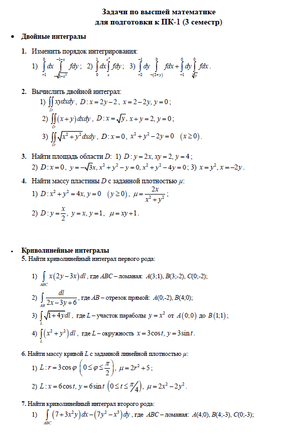
Вопросы/задания к контрольной работе ПК-1: Условия к Промежуточному контролю
Описание

Характеристики вопросов/заданий к КР
Предмет
Учебное заведение
Семестр
Номер задания
Программы
Теги
Просмотров
17
Качество
Идеальное компьютерное
Размер
326,73 Kb
Список файлов

🎓Помощь студентам Ивановских ВУЗов🎓 ❤️ Каждая приобретенная работа служит стимулом для добавления новых материалов и упрощает учебный процесс.