Для студентов ИГЭУ им. Ленина по предмету Высшая математикаИзменить порядок интегрированияИзменить порядок интегрирования
5,00570
2025-04-072025-05-12СтудИзба
Задача 1: Изменить порядок интегрирования вариант 1
Описание
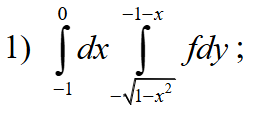
- Изменить порядок интегрирования:

Характеристики решённой задачи
Предмет
Учебное заведение
Семестр
Номер задания
Вариант
Теги
Просмотров
9
Качество
Фото рукописных листов
Размер
146,97 Kb
Преподаватели
Список файлов
вышмат пк2 третий семестр.pdf

🎓Помощь студентам Ивановских ВУЗов🎓 ❤️ Каждая приобретенная работа служит стимулом для добавления новых материалов и упрощает учебный процесс.