Для студентов СПбПУ Петра Великого по предмету Вычислительная математикаФормула трапецийФормула трапеций
5,0053167
2024-01-062024-01-06СтудИзба
Задача: Формула трапеций
Описание
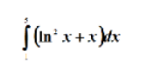
Вычислить определенный интеграл при шаге интегрирования h = 1 по формуле трапеций
![]()

Характеристики решённой задачи
Предмет
Учебное заведение
Просмотров
1
Размер
26,54 Kb
Список файлов
17 Вычислить определенный интеграл при шаге интегрирования по формуле трапеций.xmcd

Если нужен другой вариант работы или отдельная задача из любой работы, пишите в комментарии