Для студентов СПбПУ Петра Великого по предмету Вычислительная математикаПрограммирование в среде MathcadПрограммирование в среде Mathcad
5,0053099
2022-11-112022-11-11СтудИзба
Лабораторная работа 1: Программирование в среде Mathcad
Описание
Цель работы – приобретение умений программирования в среде Mathcad.
Задание
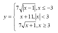
Разработать программу для
а) вычисления значений кусочной функции на интервале аргумента [-4,4] шагом -0,5.
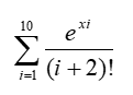
б) вычисления конечной суммы
в) для заданного массива (вектора-столбца) пронормировать элементы относительно наибольшего элемента.
![]()
Задание
Разработать программу для
а) вычисления значений кусочной функции на интервале аргумента [-4,4] шагом -0,5.



Характеристики лабораторной работы
Предмет
Учебное заведение
Номер задания
Просмотров
13
Размер
105,2 Kb
Список файлов
Лабораторная работа №1.docx
1.xmcd
2.xmcd
3.xmcd

Все деньги, вырученные с продажи, идут исключительно на шаурму