Для студентов СПбПУ Петра Великого по предмету Вычислительная математикаМетод простых итерацийМетод простых итераций
5,0053307
2024-01-062024-01-06СтудИзба
Задача 2: Метод простых итераций
Описание
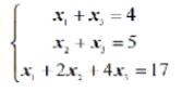
Найти решение системы уравнений методом простых итераций. Выполнить два хода итерации.
![]()

Характеристики решённой задачи
Предмет
Учебное заведение
Номер задания
Просмотров
3
Размер
71,68 Kb
Список файлов
11 Найти решение системы уравнений методом простых итераций. Выполнить два хода итераций.xmcd

Если нужен другой вариант работы или отдельная задача из любой работы, пишите в комментарии