Для студентов СПбПУ Петра Великого по предмету Вычислительная математикаРешение задачи Дирихле для уравнения Лапласа методом сетокРешение задачи Дирихле для уравнения Лапласа методом сеток
5,00512
2023-02-102023-02-10СтудИзба
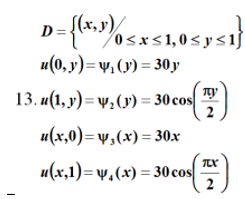
Лабораторная работа 9: Решение задачи Дирихле для уравнения Лапласа методом сеток вариант 13
Описание
Цель работы - приобретение навыков использования соответствующих численных методов с применением программных средств автоматизации вычислений.
Задание
Найти приближенное решение уравнения Лапласа в заданной области с указанными граничными условиями, принять h1 = h2 = 0.1 .
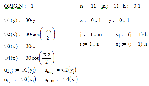
На рис. 1 представлено задание начальных условий: задание краевых функций, количества узлов и шага сетки, уравнений узловых значений переменных и узловых значений краевых функций. По личному усмотрению шаг был взят равный h1 = h2 = 0.2, чтобы поместить таблицу краевых значений матрицы uij.
Рис. 1 Начальные условияПоказать/скрыть дополнительное описание
Задание
Найти приближенное решение уравнения Лапласа в заданной области с указанными граничными условиями, принять h1 = h2 = 0.1 .


Вычислительная математика Решение задачи Дирихле для уравнения Лапласа методом сеток MathCad MathLab .
Характеристики лабораторной работы
Предмет
Учебное заведение
Семестр
Номер задания
Вариант
Просмотров
12
Качество
Идеальное компьютерное
Размер
942,28 Kb
Список файлов
Работа №9 Вариант 13 Васянин А.Ю. 3331501_80002.docx
Решение задачи Дирихле.xmcd