Для студентов МГТУ им. Н.Э.Баумана по предмету Вычислительная физикаЛабораторная работаЛабораторная работа
2021-10-172021-10-17СтудИзба
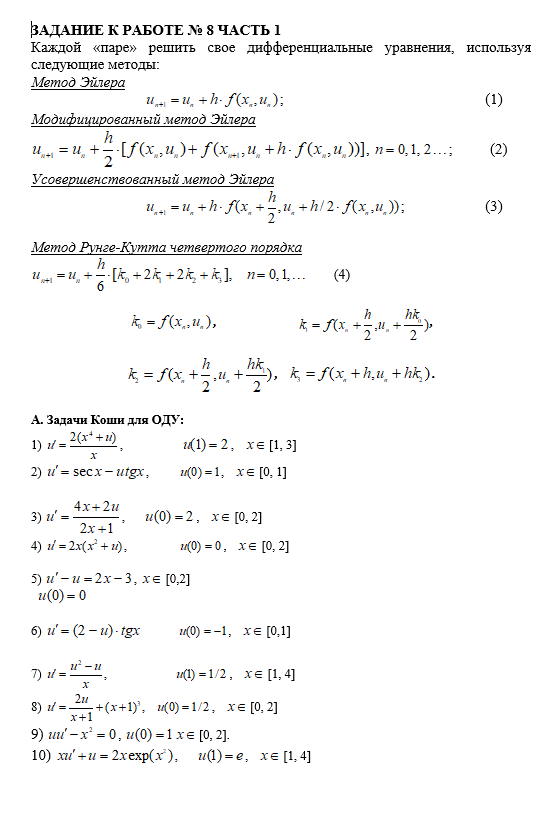
Лабораторная работа вариант 2
Описание
Файлы условия, демо
Характеристики лабораторной работы
Предмет
Учебное заведение
Семестр
Вариант
Просмотров
29
Качество
Идеальное компьютерное
Размер
477,7 Kb
Список файлов
Комментарии
Нет комментариев
Стань первым, кто что-нибудь напишет!
МГТУ им. Н.Э.Баумана


















