Для студентов МФПУ «Синергия» по предмету Вступительные экзаменыМатематика Прохождение вступительных испытанийМатематика Прохождение вступительных испытаний
5,00557
2024-03-192024-03-19СтудИзба
Ответы к экзамену: Математика Прохождение вступительных испытаний
Бестселлер
Описание
В первом цилиндрическом сосуде уровень жидкости достигает 27 см. Эту жидкость (без потери объёма) перелили во второй цилиндрический сосуд, диаметр основания которого в 3 раза больше диаметра основания первого. На какой высоте будет находиться уровень жидкости во втором сосуде? Ответ дайте в см.
9
81
3
1
В правильной четырёхугольной пирамиде все рёбра равны 18. Найдите площадь сечения пирамиды плоскостью, проходящей через середины боковых рёбер.
9
36
81
162
В равнобедренном треугольнике ABC AC=BC=25, высота CH равна 20. Найдите cosA
0.2
0.75
0.6
0.8
В треугольнике АВС АС=ВС, АВ=15, АН – высота, ВН =3. Найдите cos ВАС.
0
0.5
1
В треугольнике ABC угол C равен 90°, AB = 24, tgA = 3√55 / 55. Найдите BC.
12
9
5
В треугольнике ABC AB = BC. Внешний угол при вершине B равен 138°. Найдите угол C. Ответ дайте в градусах
42
69
96
138
В фирме такси в данный момент свободно 20 машин: 10 черных, 2 желтых и 8 зеленых. По вызову выехала одна из машин, случайно оказавшаяся ближе всего к заказчице. Найдите вероятность того, что к ней приедет зеленое такси.
0.25
0.2
0.8
0.4
В ходе случайного эксперимента бросают две игральные кости. Найдите вероятность того, что в сумме выпадет 10 очков. Результат округлите до сотых.
0.08
0.06
0.02
В чемпионате по гимнастике участвуют 80 спортсменок: 21 из Аргентины, 27 из Бразилии, остальные — из Парагвая. Порядок, в котором выступают гимнастки, определяется жребием. Найдите вероятность того, что спортсменка, выступающая первой, окажется из Парагвая
0.25
0.2
0.8
0.4
Вероятность того, что батарейка бракованная, равна 0,06. Покупатель в магазине выбирает случайную упаковку, в которой две таких батарейки. Найдите вероятность того, что обе батарейки окажутся исправными.
0.0036
0.6
0.8836000000000001
0.9399999999999999
Виноград содержит 90% влаги, а изюм — 5%. Сколько килограммов винограда требуется для получения 20 килограммов изюма?
90
100
190
180
Вычислите значение производной функции у = sinx – 2х в точке х0 = 0
1
0
-1
Диагональ прямоугольного телевизионного экрана равна 100 см, а ширина экрана – 80 см. Найдите высоту экрана. Ответ дайте в сантиметрах.
60
20
180
40
Для транспортировки 6 тонн груза на 250 км можно воспользоваться услугами одной из трех фирм-перевозчиков. Стоимость перевозки и грузоподъемность автомобилей для каждого перевозчика указана в таблице. Сколько рублей придется заплатить за самую дешевую перевозку?
9000
8000
7500
Из пункта А в пункт В, расстояние между которыми 60 км, одновременно выехали автомобилист и велосипедист. Известно, что в час автомобилист проезжает на 35 км больше, чем велосипедист. Определите скорость велосипедиста, если известно, что он прибыл в пункт В на 2 часа 48 минут позже автомобилиста. Ответ дайте в км/ч
20
15
10
К источнику с ЭДС ε=95 В и внутренним сопротивлением r=0,5 ом, хотят подключить нагрузку с сопротивлением R ом. Напряжение на этой нагрузке, выражаемое в вольтах, даeтся формулой U=εR/(R+r). При каком наименьшем значении сопротивления нагрузки напряжение на ней будет не менее 90 В? Ответ выразите в омах.
1.89
9
2.5
Какое из следующих чисел входит в множество значений функции y=2х+4?
5
2
3
Материальная точка движется прямолинейно по закону x(t)=1/3 t^3-5t^2-4t-7 (где x — расстояние от точки отсчета в метрах, t — время в секундах, измеренное с начала движения). В какой момент времени (в секундах) ее скорость была равна 71 м/с?
5
10
15
20
На одном из следующих рисунков изображен график нечетной функции. Укажите этот рисунок.
mat_9.png
mat_10.png
mat_11.png
На окружности радиуса 3 взята точка С . Отрезок АВ — диаметр окружности, АС=2√5 . Найдите ВС.
4
9
6
16
На рисунке изображен график y=f`(х) — производной функции f(х), определенной на интервале (-2:10). Найдите количество точек, в которых касательная к графику функции f(х) параллельна прямой y=x-17 или совпадает с ней.
1
3
4
На рисунке изображены графики функций y = f (x) и y = g (x), заданных на промежутке [-3; 6]. Найдите все значения х, для которых выполняется неравенство f (x) ≤ g (x)
[-3; -1] ∪ [1;6]
[-1;1]
[-3; -2] ∪ [2;6]
На рисунке показано изменение температуры воздуха на протяжении трех суток. По горизонтали указывается дата и время суток, по вертикали — значение температуры в градусах Цельсия. Определите по рисунку наибольшую температуру воздуха 15 октября. Ответ дайте в градусах Цельсия.
5
9
11
На рисунке показано изменение температуры воздуха на протяжении трех суток. По горизонтали указывается дата и время суток, по вертикали — значение температуры в градусах Цельсия. Определите по рисунку разность между наибольшей и наименьшей температурами воздуха 24 января. Ответ дайте в градусах Цельсия.
-36
-9
9
Найдите 3cos∝ если sin∝=-(2√2)/3 ∝∈(3π/2;2π)
3
-1
0
1
Найдите значение выражения (√54-√24) √6
6
36
150
180
Найдите значение выражения (11/12+11/20)∙15/8
11
2.125
44
2.75
Найдите значение выражения 1/(1/9-1/12)
36
3
108
37
Найдите значение выражения 2^(3√7-1)∙8^(1-√7)
4
2
8
32
Найдите значение выражения 4 4/9:4/9
0.1
4
10
40
Найдите значение выражения 46p*4-4p при p=1/4
1
2
32
Найдите значение выражения 49⁹ ⋅ 3¹² : 147⁹.
1
27
147
Найдите значение выражения log4(64c) если log4c=-3,5
-6.5
-0.5
-10.5
Найдите значение выражения log5b , если log5b3=9
27
6
3
Найдите значение выражения: √3132-3122
1
25
125
Найдите значение выражения7∙5^(〖log〗_5^4 )
7
20
28
35
Найдите квадрат расстояния между вершинами D и C1 многогранника, изображенного на рисунке. Все двугранные углы многогранника прямые.
2
4
5
Найдите корень уравнения 5^х+6 = 125
-9
-3
9
-6
Найдите корень уравнения 8(6+х)+2х=8
-6
4
-4
6
Найдите корень уравнения: √(39 − 2x) = 5.
7
17
-11
Найдите множество значений функции у = 6х –12.
(0; +¥)
(–12; +¥)
[–12; +¥)
Найдите наибольшее значение функции y=x^7+5x^3-16 на отрезке [-9;1]
7
10
-10
5
Найдите наименьшее значение функции y=11x-ln(x+15)11 на отрезке [-14,5;0]
-154
-14.5
0
Найдите область определения функции f (x)= log 0,5 (2х-х2)
(0; 2)
(-∞; 0) ∪ (2; +∞)
[0; 2 ]
Найдите область определения функции y = ⁶√(1 − log₀,₇x)
[0,7; +¥)
(0; 0,7]
(–¥; 0,7]
Найдите площадь параллелограмма, изображенного на рисунке.
5
10
20
Найдите площадь треугольника, изображенного на рисунке
6
2
4
Найдите производную функции y=(x-3)cosx
y`= cosx+(x-3) sinx
y`=(x-3)sinx - cosx
y`= cosx-(x-3) sinx
Найдите решение уравнения (1/6)ˣ⁺⁸ = 6ˣ.
-4
4
-8
Найдите тангенс угла С2В2D2 многогранника, изображенного на рисунке. Все двугранные углы многогранника прямые
4
2
1
Основанием прямой треугольной призмы служит прямоугольный треугольник с катетами 6 и 8, боковое ребро равно 5. Найдите объем призмы.
120
220
240
500
Периметр прямоугольника равен 54, а диагональ равна 26. Найдите площадь этого прямоугольника
26.5
80
40
53
Площадь треугольника ABC равна 136. DE — средняя линия. Найдите площадь треугольника CDE.
17
34
68
102
Поезд отправился из Санкт-Петербурга в 23 часа 40 минут (время московское) и прибыл в Москву в 7 часов 40 минут следующих суток. Сколько часов поезд находился в пути?
7
8
9
14
Правильная четырехугольная призма описана около цилиндра, радиус основания которого равен 3. Площадь боковой поверхности призмы равна 288. Найдите высоту цилиндра
48
24
12
Представьте в виде степени выражение 5^(2/3) ⋅ 5^(4/3)
25^(8/9)
5^(8/9)
5^2
Прямая y= - 4x-11 является касательной к графику функции y=x^3+7x^2+7x-6. Найдите абсциссу точки касания.
-1
1
0
4
Прямолинейный участок трубы длиной 3 м, имеющей в сечении окружность, необходимо покрасить снаружи (торцы трубы открыты, их красить не нужно). Найдите площадь поверхности, которую необходимо покрасить, если внешний обхват трубы равен 32 см. Ответ дайте в квадратных сантиметрах.
96
350
960
9600
Розничная цена учебника 180 рублей, она на 20% выше оптовой цены. Какое наибольшее число учебников можно купить по оптовой цене на 10000 рублей?
66
200
55
Сила тока в цепи I (в амперах) определяется напряжением в цепи и сопротивлением электроприбора по закону Ома: IU/R= , где U — напряжение в вольтах, R — сопротивление электроприбора в омах. В электросеть включен предохранитель, который плавится, если сила тока превышает 25 А. Определите, какое минимальное сопротивление должно быть у электроприбора, подключаемого к розетке в 220 вольт, чтобы сеть продолжала работать. Ответ выразите в омах
0.11
8.800000000000001
5500
Строительной фирме нужно приобрести 40 кубометров строительного бруса у одного из трех поставщиков. Какова наименьшая стоимость такой покупки с доставкой (в рублях)? Цены и условия доставки приведены в таблице
150000
152000
200000
Сумма двух углов ромба равна 120°, а его меньшая диагональ равна 25. Найдите периметр ромба.
50
75
100
125
Теплоход проходит по течению реки до пункта назначения 504 км и после стоянки возвращается в пункт отправления. Найдите скорость течения, если скорость теплохода в неподвижной воде равна 23 км/ч, стоянка длится 3 часа, а в пункт отправления теплоход возвращается через 49 часов после отплытия из него. Ответ дайте в км/ч.
15
5
10
Треугольник ABC вписан в окружность с центром O. Угол BСA равен 82°. Найдите угол BOА. Ответ дайте в градусах
41
164
16
278
Укажите множество значений функции y=2х=5
(5; + ∞)
(0; + ∞)
(– ∞; + ∞)
Укажите множество значений функции, график которой изображен на рисунке
[-3;7)
[-3;-2] ∪ [2;5]
[-4; -1] ∪ [-1; 3]
Укажите множество решений неравенства ((2x - 3)(x + 2)) / (x - 6) ≤ 0
(- ∞;-2] ∪ [1,5;6)
(-∞; -1,5] ∪ [2;6)
(- ∞;-2] ∪ [3;6)
Упростите выражение ∛(25b²) ⋅ ∛(5b⁴)
5b2
25b
5b
Упростите выражение ∛54 ⋅ √16 / ∛250
1.2
6 * ∛2 / 5
2.4
Футболка стоила 800 рублей. После снижения цены она стала стоить 680 рублей. На сколько процентов была снижена цена на футболку?
15
17
19
Ящик, имеющий форму куба с ребром 10 см без одной грани, нужно покрасить со всех сторон снаружи. Найдите площадь поверхности, которую необходимо покрасить. Ответ дайте в квадратных сантиметрах.
500
100
1000
600
9
81
3
1
В правильной четырёхугольной пирамиде все рёбра равны 18. Найдите площадь сечения пирамиды плоскостью, проходящей через середины боковых рёбер.
9
36
81
162
В равнобедренном треугольнике ABC AC=BC=25, высота CH равна 20. Найдите cosA
0.2
0.75
0.6
0.8
В треугольнике АВС АС=ВС, АВ=15, АН – высота, ВН =3. Найдите cos ВАС.
0
0.5
1
В треугольнике ABC угол C равен 90°, AB = 24, tgA = 3√55 / 55. Найдите BC.
12
9
5
В треугольнике ABC AB = BC. Внешний угол при вершине B равен 138°. Найдите угол C. Ответ дайте в градусах
42
69
96
138
В фирме такси в данный момент свободно 20 машин: 10 черных, 2 желтых и 8 зеленых. По вызову выехала одна из машин, случайно оказавшаяся ближе всего к заказчице. Найдите вероятность того, что к ней приедет зеленое такси.
0.25
0.2
0.8
0.4
В ходе случайного эксперимента бросают две игральные кости. Найдите вероятность того, что в сумме выпадет 10 очков. Результат округлите до сотых.
0.08
0.06
0.02
В чемпионате по гимнастике участвуют 80 спортсменок: 21 из Аргентины, 27 из Бразилии, остальные — из Парагвая. Порядок, в котором выступают гимнастки, определяется жребием. Найдите вероятность того, что спортсменка, выступающая первой, окажется из Парагвая
0.25
0.2
0.8
0.4
Вероятность того, что батарейка бракованная, равна 0,06. Покупатель в магазине выбирает случайную упаковку, в которой две таких батарейки. Найдите вероятность того, что обе батарейки окажутся исправными.
0.0036
0.6
0.8836000000000001
0.9399999999999999
Виноград содержит 90% влаги, а изюм — 5%. Сколько килограммов винограда требуется для получения 20 килограммов изюма?
90
100
190
180
Вычислите значение производной функции у = sinx – 2х в точке х0 = 0
1
0
-1
Диагональ прямоугольного телевизионного экрана равна 100 см, а ширина экрана – 80 см. Найдите высоту экрана. Ответ дайте в сантиметрах.
60
20
180
40
Для транспортировки 6 тонн груза на 250 км можно воспользоваться услугами одной из трех фирм-перевозчиков. Стоимость перевозки и грузоподъемность автомобилей для каждого перевозчика указана в таблице. Сколько рублей придется заплатить за самую дешевую перевозку?
9000
8000
7500
Из пункта А в пункт В, расстояние между которыми 60 км, одновременно выехали автомобилист и велосипедист. Известно, что в час автомобилист проезжает на 35 км больше, чем велосипедист. Определите скорость велосипедиста, если известно, что он прибыл в пункт В на 2 часа 48 минут позже автомобилиста. Ответ дайте в км/ч
20
15
10
К источнику с ЭДС ε=95 В и внутренним сопротивлением r=0,5 ом, хотят подключить нагрузку с сопротивлением R ом. Напряжение на этой нагрузке, выражаемое в вольтах, даeтся формулой U=εR/(R+r). При каком наименьшем значении сопротивления нагрузки напряжение на ней будет не менее 90 В? Ответ выразите в омах.
1.89
9
2.5
Какое из следующих чисел входит в множество значений функции y=2х+4?
5
2
3
Материальная точка движется прямолинейно по закону x(t)=1/3 t^3-5t^2-4t-7 (где x — расстояние от точки отсчета в метрах, t — время в секундах, измеренное с начала движения). В какой момент времени (в секундах) ее скорость была равна 71 м/с?
5
10
15
20
На одном из следующих рисунков изображен график нечетной функции. Укажите этот рисунок.
mat_9.png
mat_10.png
mat_11.png
На окружности радиуса 3 взята точка С . Отрезок АВ — диаметр окружности, АС=2√5 . Найдите ВС.
4
9
6
16
На рисунке изображен график y=f`(х) — производной функции f(х), определенной на интервале (-2:10). Найдите количество точек, в которых касательная к графику функции f(х) параллельна прямой y=x-17 или совпадает с ней.
1
3
4
На рисунке изображены графики функций y = f (x) и y = g (x), заданных на промежутке [-3; 6]. Найдите все значения х, для которых выполняется неравенство f (x) ≤ g (x)
[-3; -1] ∪ [1;6]
[-1;1]
[-3; -2] ∪ [2;6]
На рисунке показано изменение температуры воздуха на протяжении трех суток. По горизонтали указывается дата и время суток, по вертикали — значение температуры в градусах Цельсия. Определите по рисунку наибольшую температуру воздуха 15 октября. Ответ дайте в градусах Цельсия.
5
9
11
На рисунке показано изменение температуры воздуха на протяжении трех суток. По горизонтали указывается дата и время суток, по вертикали — значение температуры в градусах Цельсия. Определите по рисунку разность между наибольшей и наименьшей температурами воздуха 24 января. Ответ дайте в градусах Цельсия.
-36
-9
9
Найдите 3cos∝ если sin∝=-(2√2)/3 ∝∈(3π/2;2π)
3
-1
0
1
Найдите значение выражения (√54-√24) √6
6
36
150
180
Найдите значение выражения (11/12+11/20)∙15/8
11
2.125
44
2.75
Найдите значение выражения 1/(1/9-1/12)
36
3
108
37
Найдите значение выражения 2^(3√7-1)∙8^(1-√7)
4
2
8
32
Найдите значение выражения 4 4/9:4/9
0.1
4
10
40
Найдите значение выражения 46p*4-4p при p=1/4
1
2
32
Найдите значение выражения 49⁹ ⋅ 3¹² : 147⁹.
1
27
147
Найдите значение выражения log4(64c) если log4c=-3,5
-6.5
-0.5
-10.5
Найдите значение выражения log5b , если log5b3=9
27
6
3
Найдите значение выражения: √3132-3122
1
25
125
Найдите значение выражения7∙5^(〖log〗_5^4 )
7
20
28
35
Найдите квадрат расстояния между вершинами D и C1 многогранника, изображенного на рисунке. Все двугранные углы многогранника прямые.
2
4
5
Найдите корень уравнения 5^х+6 = 125
-9
-3
9
-6
Найдите корень уравнения 8(6+х)+2х=8
-6
4
-4
6
Найдите корень уравнения: √(39 − 2x) = 5.
7
17
-11
Найдите множество значений функции у = 6х –12.
(0; +¥)
(–12; +¥)
[–12; +¥)
Найдите наибольшее значение функции y=x^7+5x^3-16 на отрезке [-9;1]
7
10
-10
5
Найдите наименьшее значение функции y=11x-ln(x+15)11 на отрезке [-14,5;0]
-154
-14.5
0
Найдите область определения функции f (x)= log 0,5 (2х-х2)
(0; 2)
(-∞; 0) ∪ (2; +∞)
[0; 2 ]
Найдите область определения функции y = ⁶√(1 − log₀,₇x)
[0,7; +¥)
(0; 0,7]
(–¥; 0,7]
Найдите площадь параллелограмма, изображенного на рисунке.
5
10
20
Найдите площадь треугольника, изображенного на рисунке
6
2
4
Найдите производную функции y=(x-3)cosx
y`= cosx+(x-3) sinx
y`=(x-3)sinx - cosx
y`= cosx-(x-3) sinx
Найдите решение уравнения (1/6)ˣ⁺⁸ = 6ˣ.
-4
4
-8
Найдите тангенс угла С2В2D2 многогранника, изображенного на рисунке. Все двугранные углы многогранника прямые
4
2
1
Основанием прямой треугольной призмы служит прямоугольный треугольник с катетами 6 и 8, боковое ребро равно 5. Найдите объем призмы.
120
220
240
500
Периметр прямоугольника равен 54, а диагональ равна 26. Найдите площадь этого прямоугольника
26.5
80
40
53
Площадь треугольника ABC равна 136. DE — средняя линия. Найдите площадь треугольника CDE.
17
34
68
102
Поезд отправился из Санкт-Петербурга в 23 часа 40 минут (время московское) и прибыл в Москву в 7 часов 40 минут следующих суток. Сколько часов поезд находился в пути?
7
8
9
14
Правильная четырехугольная призма описана около цилиндра, радиус основания которого равен 3. Площадь боковой поверхности призмы равна 288. Найдите высоту цилиндра
48
24
12
Представьте в виде степени выражение 5^(2/3) ⋅ 5^(4/3)
25^(8/9)
5^(8/9)
5^2
Прямая y= - 4x-11 является касательной к графику функции y=x^3+7x^2+7x-6. Найдите абсциссу точки касания.
-1
1
0
4
Прямолинейный участок трубы длиной 3 м, имеющей в сечении окружность, необходимо покрасить снаружи (торцы трубы открыты, их красить не нужно). Найдите площадь поверхности, которую необходимо покрасить, если внешний обхват трубы равен 32 см. Ответ дайте в квадратных сантиметрах.
96
350
960
9600
Розничная цена учебника 180 рублей, она на 20% выше оптовой цены. Какое наибольшее число учебников можно купить по оптовой цене на 10000 рублей?
66
200
55
Сила тока в цепи I (в амперах) определяется напряжением в цепи и сопротивлением электроприбора по закону Ома: IU/R= , где U — напряжение в вольтах, R — сопротивление электроприбора в омах. В электросеть включен предохранитель, который плавится, если сила тока превышает 25 А. Определите, какое минимальное сопротивление должно быть у электроприбора, подключаемого к розетке в 220 вольт, чтобы сеть продолжала работать. Ответ выразите в омах
0.11
8.800000000000001
5500
Строительной фирме нужно приобрести 40 кубометров строительного бруса у одного из трех поставщиков. Какова наименьшая стоимость такой покупки с доставкой (в рублях)? Цены и условия доставки приведены в таблице
150000
152000
200000
Сумма двух углов ромба равна 120°, а его меньшая диагональ равна 25. Найдите периметр ромба.
50
75
100
125
Теплоход проходит по течению реки до пункта назначения 504 км и после стоянки возвращается в пункт отправления. Найдите скорость течения, если скорость теплохода в неподвижной воде равна 23 км/ч, стоянка длится 3 часа, а в пункт отправления теплоход возвращается через 49 часов после отплытия из него. Ответ дайте в км/ч.
15
5
10
Треугольник ABC вписан в окружность с центром O. Угол BСA равен 82°. Найдите угол BOА. Ответ дайте в градусах
41
164
16
278
Укажите множество значений функции y=2х=5
(5; + ∞)
(0; + ∞)
(– ∞; + ∞)
Укажите множество значений функции, график которой изображен на рисунке
[-3;7)
[-3;-2] ∪ [2;5]
[-4; -1] ∪ [-1; 3]
Укажите множество решений неравенства ((2x - 3)(x + 2)) / (x - 6) ≤ 0
(- ∞;-2] ∪ [1,5;6)
(-∞; -1,5] ∪ [2;6)
(- ∞;-2] ∪ [3;6)
Упростите выражение ∛(25b²) ⋅ ∛(5b⁴)
5b2
25b
5b
Упростите выражение ∛54 ⋅ √16 / ∛250
1.2
6 * ∛2 / 5
2.4
Футболка стоила 800 рублей. После снижения цены она стала стоить 680 рублей. На сколько процентов была снижена цена на футболку?
15
17
19
Ящик, имеющий форму куба с ребром 10 см без одной грани, нужно покрасить со всех сторон снаружи. Найдите площадь поверхности, которую необходимо покрасить. Ответ дайте в квадратных сантиметрах.
500
100
1000
600
Список вопросов
Расстояние от точки A(2,1) до прямой 3x-4y-3=0 равно …
Дана матрица А = ((1, 0, 1), (2, 3, 5), (0, 4, 8)) Чему равен определитель данной матрицы? Будет ли он совпадать с определителем транспонированной матрицы?
![]()

Пусть дан вектор a{−3, 7, 2}, тогда длина вектора 3a равна …
![]()

Если свойство транспонирования произведения матриц выглядит как (A⋅B)T=BT⋅AT, то можно утверждать, что транспонирование произведения матриц есть …
Пусть уравнение плоскости задано точкой A(−2, 2, 8) и нормалью n(1, 2, 3), тогда коэффициент при переменной x в данном уравнении равен
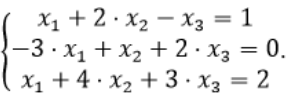
Дана система уравнений {x₁ + 2 ⋅ x₂ − x₃ = 1, −3 ⋅ x₁ + x₂ + 2 ⋅ x₃ = 0, x₁ + 4 ⋅ x₂ + 3 ⋅ x₃ = 2. Сколько решений имеет эта система уравнений и почему?
![]()

Задачей … называется задача нахождения такого решения уравнения, при котором интегральная кривая решения проходит через точку с координатами (x0,y0)
Каноническое уравнение прямой, проходящей через точки A(-3,0) и B(5,2), имеет вид …
Значение функции z(x;y)=3x-2y+16 в точке A(1; 2) равно …
Общее решение уравнения y'+4y=0 имеет вид …
Пусть дана матрица A = ((1, 2, 3), (2, 1, 3), (3, 2, 1)), тогда сумма миноров M₂₂ + M₃₃ будет равна …
![]()

Разность координат нормального вектора плоскости 3x-y+2z+2=0 равна …
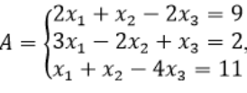
Пусть дана система уравнений A = {2x₁ + x₂ − 2x₃ = 9, 3x₁ − 2x₂ + x₃ = 2, x₁ + x₂ − 4x₃ = 11, тогда определитель |A₁| этой системы равен
![]()

Общее решение уравнения y''+5y'-6y=0 имеет вид …
y=c₁e⁶ˣ+c₂e³ˣ
y=c₁e⁻⁶ˣ+c₂eˣ
y=c₁e⁻²ˣ+c₂e⁻³ˣ
y=c₁e⁶ˣ+c₂e³ˣ
y=c₁e⁻⁶ˣ+c₂eˣ
y=c₁e⁻²ˣ+c₂e⁻³ˣ
Дана матрица |A| =│(1, 0, 1), (2, 3, 5), (0, 4, 8)│. Существует ли обратная матрица для данной матрицы и почему?
![]()

Функции y1=y1(x) и y2=y2(x) называются линейно … на (a,b), если равенство α1 y1+α2 y2+0 выполняется тогда и только тогда, когда хотя бы одно из чисел α1 или α2 отлично от нуля
Значение предела lim (5x³ + x² + 1) / (2x⁴ − 3x² + 5x + 2), x⟶∞ равно …
![]()

Частная производная по переменной x функции z(x;y)=5x4 y2 равна …
Дан матричный многочлен f(A) = 3A2– 5A + 2. Нужно вычислить его значение. Приведите метод решения.
Сумма двух углов ромба равна 120°, а его меньшая диагональ равна 25. Найдите периметр ромба.
Три вектора образуют базис в пространстве тогда и только тогда, когда эти векторы …
Функция f(x; y) = (2x − y²) / (x² + y²) является …
![]()

Функция k=3x+5y-2z+1+l является функцией … переменных
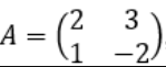
Пусть дана матрица A = ((2, 3), (1, −2)), тогда обратная матрица будет иметь вид …
![]()

Вронскианом называется определитель вида …
Материальная точка движется прямолинейно по закону x(t)=1/3 t^3-5t^2-4t-7 (где x — расстояние от точки отсчета в метрах, t — время в секундах, измеренное с начала движения). В какой момент времени (в секундах) ее скорость была равна 71 м/с?
Дано линейное дифференциальное уравнение второго порядка: y''-4y'+5y=0. Решите это уравнение.
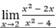
Предел lim (x² − 2x) / (x² − 4), x⟶2 равен …
![]()

Неопределенный интеграл ∫ dx / (x² + 4x + 5) равен …
![]()

Прямолинейный участок трубы длиной 3 м, имеющей в сечении окружность, необходимо покрасить снаружи (торцы трубы открыты, их красить не нужно). Найдите площадь поверхности, которую необходимо покрасить, если внешний обхват трубы равен 32 см. Ответ дайте в квадратных сантиметрах.
Дано дифференциальное уравнение: (2x / y²) ⋅ dx + (y² − 2x²) / y⁴ ⋅ dy = 0. Решите это уравнение.
![]()

Функция нескольких переменных является дифференцируемой, если …
Определенный интеграл ∫ (x / √1 + x))dx, x=0,,3 равен … ![]()

Треугольник ABC вписан в окружность с центром O. Угол BСA равен 82°. Найдите угол BOА. Ответ дайте в градусах
Найдите корень уравнения 5^х+6 = 125
Функция … является четной
Определенный интеграл ∫ (1 / √(x + 1))dx, x=0..2 равен …
![]()

В правильной четырёхугольной пирамиде все рёбра равны 18. Найдите площадь сечения пирамиды плоскостью, проходящей через середины боковых рёбер.
На окружности радиуса 3 взята точка С . Отрезок АВ — диаметр окружности, АС=2√5 . Найдите ВС.
При перестановке двух строк матрицы ее определитель …
В равнобедренном треугольнике ABC AC=BC=25, высота CH равна 20. Найдите cosA
Условием существования двух действительных корней характеристического уравнения дифференциального уравнения является то, что дискриминант характеристического уравнения …
Вероятность того, что батарейка бракованная, равна 0,06. Покупатель в магазине выбирает случайную упаковку, в которой две таких батарейки. Найдите вероятность того, что обе батарейки окажутся исправными.
Пусть даны множества A={1,2,3} и B={3,4,5}, тогда сумма всех элементов множества A∪B равна …
Дифференциальное уравнение xy' − y = xe^(y/x) …
![]()

Сумма координат середины отрезка с концами в точках A(-3,-2,5) и A(5,2,-7) равна …
Найдите значение выражения 1/(1/9-1/12)
В треугольнике ABC AB = BC. Внешний угол при вершине B равен 138°. Найдите угол C. Ответ дайте в градусах
Найдите 3cos∝ если sin∝=-(2√2)/3 ∝∈(3π/2;2π)
Производная сложной функции y = √(x² − 3x + 17) имеет вид …
![]()

Дана система уравнений {x₁ + 2 ⋅ x₂ − x₃ = 1, −3 ⋅ x₁ + x₂ + 2 ⋅ x₃ = 0, x₁ + 4 ⋅ x₂ + 3 ⋅ x₃ = 2 Решая уравнение методом Гаусса, какие действия необходимо совершить? ![]()

Дискриминант характеристического уравнения данного дифференциального уравнения y''+5y'-6y=0 равен …
Основанием прямой треугольной призмы служит прямоугольный треугольник с катетами 6 и 8, боковое ребро равно 5. Найдите объем призмы.
В чемпионате по гимнастике участвуют 80 спортсменок: 21 из Аргентины, 27 из Бразилии, остальные — из Парагвая. Порядок, в котором выступают гимнастки, определяется жребием. Найдите вероятность того, что спортсменка, выступающая первой, окажется из Парагвая
В первом цилиндрическом сосуде уровень жидкости достигает 27 см. Эту жидкость (без потери объёма) перелили во второй цилиндрический сосуд, диаметр основания которого в 3 раза больше диаметра основания первого. На какой высоте будет находиться уровень жидкости во втором сосуде? Ответ дайте в см.
Дана функция z = x²siny, z''ₓₓ. Найдите частный производные второго порядка для этой функции.
![]()

Дан определенный интеграл ∫ (√x /(1 + √x))dx, x=0..1. Вычислите его значение. ![]()

Найдите значение выражения 2^(3√7-1)∙8^(1-√7)
Найдите наибольшее значение функции y=x^7+5x^3-16 на отрезке [-9;1]
Виноград содержит 90% влаги, а изюм — 5%. Сколько килограммов винограда требуется для получения 20 килограммов изюма?
Если ланы матрицы ((8, −4), (−5, 0)) и ((1, −7), (4, 9)), то значение выражения A² − Bᵀ будет …
![]()

Параллелепипед построен на векторах a = 3i + 2j − 5k, b = i − j + 4k, c = i − 3j + k.
Вычислите высоту h данного параллелепипеда, если за основание взят параллелограмм, построенный на векторах a и b. ![]()
Вычислите высоту h данного параллелепипеда, если за основание взят параллелограмм, построенный на векторах a и b. 
Функция F(x) называется … для функции f(x), если F(x)' =f(x)
Найдите значение выражения: √3132-3122
Матрица А называется невырожденной, если …
График нечетной функции симметричен относительно …
Периметр прямоугольника равен 54, а диагональ равна 26. Найдите площадь этого прямоугольника
Найдите корень уравнения 8(6+х)+2х=8
В треугольнике ABC угол C равен 90°, AB = 24, tgA = 3√55 / 55. Найдите BC.
Если для функции f(x; y) справедливо равенство fx'(x₀; y₀) = fy'(x₀; y₀) = 0, то точка (x₀; y₀) является …
![]()

Дано дифференциальное уравнение: y'+2y=4x.Решите это уравнение.
Несобственный интеграл является … интегралом, если предел соответствующего ему собственного интеграла не существует или равен бесконечности
Прямая y= - 4x-11 является касательной к графику функции y=x^3+7x^2+7x-6. Найдите абсциссу точки касания.
Установите соответствие между взаимным расположением прямых y1=k1 x+b1 и y2=k2 x+b2 на плоскости и условием этого расположения:
A. Прямые параллельны
B. Прямые перпендикулярны
C. Прямые совпадают
D. k₁=k₂,b₁≠b₂
E. k₁∙k₂=-1
F. k₁=k₂,b₁=b₂
A. Прямые параллельны
B. Прямые перпендикулярны
C. Прямые совпадают
D. k₁=k₂,b₁≠b₂
E. k₁∙k₂=-1
F. k₁=k₂,b₁=b₂
Габриэль Крамер опубликовал «правило Крамера» в …
Даны векторы p и a. Найдите орт вектора p (вектор единичной длины и того же направления, что вектор p) перпендикулярный вектору a и оси OX ⋅ pª ⊥ a = {3, 6, 8} и pª ⊥ OX.
![]()

Определенный интеграл ∫ (x / √(1 + x))dx, x=3..8 равен …
![]()

Две плоскости пересекаются, если они имеют …
Определенный интеграл ∫ f(x)dx, x=a..a равен …
![]()

Даны следующие матрицы: А₂ = ((1, 2), (3, 6)), В₂ = ((2, 6), (−1, 3)). Над данными матрицами было произведено алгебраическое действие, в результате которого получена матрица C₂ = ((3, 8), (2, 9)). Какое алгебраическое действие было произведено?
![]()

Найдите значение выражения (√54-√24) √6
Найдите значение выражения (11/12+11/20)∙15/8
Общее решение уравнения (2x+1)dy+y2 dx=0 имеет вид …
Если известно, что функция f(x) имеет устранимый разрыв в точке x = 2 и lim f(x) = 1, x⟶2−0, тогда lim f(x), x⟶2+0 равен …
![]()

Определенный интеграл ∫ (1 / √(x + 1))dx, x=0..1 равен …
![]()

Расположите длины векторов a{1, 2, 3}, b{−1, 2, 4} и c{3, −4, 5} в порядке возрастания:
![]()

- │a│
- │b│
- │c│
Установите соответствие между линейными операциями над векторами a{a₁, a₂, a₃} и b{b₁, b₂, b₃} и результатами этих операций:
A. a + b
B. b − a
C. kb
D. {a₁ − b₁, a₂ − b₂, a₃ − b₃}
E. {b₁ − a₁, b₂ − a₂, b₃ − a₃}
F. {kb₁, kb₂, kb₃}
A. a + b
B. b − a
C. kb
D. {a₁ − b₁, a₂ − b₂, a₃ − b₃}
E. {b₁ − a₁, b₂ − a₂, b₃ − a₃}
F. {kb₁, kb₂, kb₃}
Неопределенный интеграл ∫ x(1 − 2x)³dx равен …
Дана функция f(x) = arccos(x/2 − 1). Найдите область определения функции.
![]()

Значение производной функции y=x∙lnx в точке x0=1 равно …
Расположите матрицы в порядке «нижняя треугольная, квадратная, верхняя треугольная, неквадратная»:
- ((3, 0, 0), (3, 3, 0), (3, 3, 3))
- ((2, 2, 2), (2, 2, 2), (2, 2, 2))
- ((2, 2, 2), (0, 2, 2,), (0, 0, 2))
- ((1, 1, 1), (1, 1, 1), (1, 1, 1), (1, 1, 1))
Сумма элементов второй строки матрицы, обратной к матрице A = ((2, 2, 1), (1, 3, 1), (1, 0, 0)) равна …
![]()

Косинус угла между прямыми y1=2x+1 и y2=-x+2 равен …
Поезд отправился из Санкт-Петербурга в 23 часа 40 минут (время московское) и прибыл в Москву в 7 часов 40 минут следующих суток. Сколько часов поезд находился в пути?
Предел lim (7x² + 4x − 3) / (2x² + 3x + 1), x⟶−2 равен …
![]()

Ящик, имеющий форму куба с ребром 10 см без одной грани, нужно покрасить со всех сторон снаружи. Найдите площадь поверхности, которую необходимо покрасить. Ответ дайте в квадратных сантиметрах.
Диагональ прямоугольного телевизионного экрана равна 100 см, а ширина экрана – 80 см. Найдите высоту экрана. Ответ дайте в сантиметрах.
Пусть дана система уравнений A = {2x₁ + x₂ − 2x₃ = 9, 3x₁ − 2x₂ + x₃ = 2, x₁ + x₂ − 4x₃ = 11, тогда определитель |A| этой системы равен
![]()

Эти вопросы в других коллекциях
Характеристики ответов (шпаргалок) к экзамену
Тип
Коллекция: Ответы (шпаргалки) к экзамену
Предмет
Учебное заведение
Просмотров
451
Количество вопросов

❓ Как копировать вопросы во время теста в Синергии?
Комментарии
Нет комментариев
Стань первым, кто что-нибудь напишет!





















