ДЗ по вариационному исчислению
Описание
Вариант 7
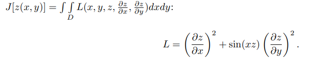
1. Найти все экстремали функционала J[y], удовлетворяющего граничным условиям

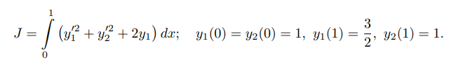
2. Исследовать на экстремум функционал



5. Выписать необходимые условия экстремума функционала

6. Найти экстремали функционала в задаче с подвижными границами


8. Найти функции, на которых может достигаться экстремум в изопериметрической задаче


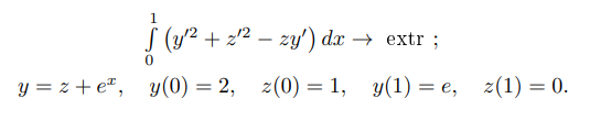
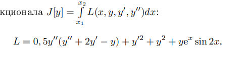
ДЗ по вариационному исчислению 3 курс 6 семестр СМ группа СМ7-63Б. Сдано Котовичу Вариант 7 1. Найти все экстремали функционала J[y], удовлетворяющего граничным условиям 2. Исследовать на экстремум функционал 3. Найти функции y1, y2 C1(x1, x2), на кото ых может достигаться кст емум функционала J[y1, y2]. 4. Найти экстремали функционала J[y] = s{x1, x2} L (x, y, y\', y\'\')dx 5. Выписать необходимые условия экстремума функционала 6. Найти экстремали функционала в задаче с подвижными границами 7. Методом множителей Лагранжа найти экстремали функционала в задаче на условный экстремум 8. Найти функции, на которых может достигаться экстремум в изопериметрической задаче 9.
Определить кривые, на которых может достигаться экстремум в задаче Больца .
Характеристики домашнего задания
Список файлов
