Для студентов МГТУ им. Н.Э.Баумана по предмету Вариационное исчислениеВариационное исчислениеВариационное исчисление
3,63541
2023-11-192023-11-19СтудИзба
ДЗ: Вариационное исчисление вариант 2
Описание
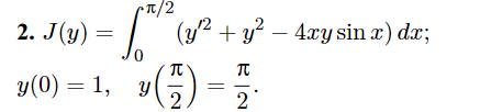
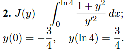
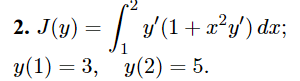
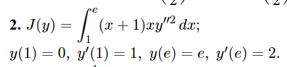
Файл содержит решения всех задач из типового расчета по вариационному исчислению. Методические указания и условия задач приведены ниже.
![]()









Характеристики домашнего задания
Предмет
Учебное заведение
Вариант
Просмотров
49
Качество
Идеальное компьютерное
Размер
336,9 Kb
Список файлов
2 вариант.pdf
Комментарии

Отзыв
3 задача решена не до конца - не составлено уравнение Якоби и не выполнена проверка на отсутствие сопряженных точек. 4 задача решена неоптимально, препод зачел 4 задачу, пойдя навстречу.