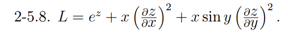
Для студентов МГТУ им. Н.Э.Баумана по предмету Вариационное исчислениеВариационное исчисление ДЗ№1 вар8 ХорьковаВариационное исчисление ДЗ№1 вар8 Хорькова
5,00515
2020-06-042020-06-04СтудИзба
ДЗ: Вариационное исчисление ДЗ№1 вар8 Хорькова
Бестселлер
Описание
Характеристики домашнего задания
Предмет
Учебное заведение
Семестр
Просмотров
336
Размер
512,89 Kb
Список файлов
ВИ ДЗ№1 вар 8 ур-ние эйлера-лагранжа_ экстремали_ экстремумы.pdf
Комментарии
Нет комментариев
Стань первым, кто что-нибудь напишет!

МГТУ им. Н.Э.Баумана
swanfield


















