ДЗ 2: Анализ и синтез системы автоматического регулирования 6 вариант вариант 6
Описание
Функциональная схема САР приведена на рисунке 1. Объектом регулирования является электрическая цепь с дугой. Регулируемая величина y – ток i в цепи, внешнее возмущающее воздействие f – изменение ЭДС E источника питания, регулирующее воздействие z – изменение активного сопротивления цепи R.
Рисунок 1 - Функциональная схема САР
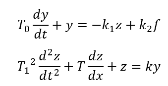
Дифференциальные уравнения объекта регулирования (ОР) и регулятора (Р):

Знак «-» перед координатой z в правой части уравнения ОР соответствует наличию главной отрицательной обратной связи.
Числовые значения коэффициентов уравнения ОР были определены в задании № 1. Поскольку знак «-» вынесен в дифференциальном уравнении ОР перед коэффициентом передачи k1, числовое значение k1 берут положительным. Постоянная времени регулятора Т1 = 0,01 с.
В результате синтеза САР должны быть обеспечены следующие показатели качества переходного процесса (рисунок 2): статическая ошибка уст < 0,1; максимальное допустимое отклонение регулируемой величины уmax≤ 0,6; время переходного процесса tр ≤ 0,2 с. Переходный процесс САР следует рассматривать при ступенчатом изменении внешнего воздействия на величину f = 0,2. Зону допустимой нестабильности принять Δуд = ± 0,02.

Рисунок 2 – Переходный процесс САР
Постоянная времени регулятора: с.
Постоянная времени ОР: с.
Коэффициент передачи z: 1,5.
Коэффициент передачи f: .
Ступенчатое изменение ЭДС: f = 0,2 В.
МГТУ им. Н.Э.Баумана

















