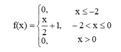
Для студентов по предмету Теория вероятностей и математическая статистика (ТВиМС)Случайная величина Х задана плотностью вероятностиСлучайная величина Х задана плотностью вероятности
5,0053309
2025-09-242025-09-24СтудИзба
Задача: Случайная величина Х задана плотностью вероятности
Описание
Случайная величина Х задана плотностью вероятности
Найти:
1) функцию распределения F(x),
2) вероятность того, что в результате одного испытания величина X примет значение, заключенное в интервале (−1, 0),
3) математическое ожидание M(x),
4) вероятность того, что в результате 50-ти испытаний величина X примет значение, заключенное в интервале (−1, 0), от значения 30 до 45 раз.

1) функцию распределения F(x),
2) вероятность того, что в результате одного испытания величина X примет значение, заключенное в интервале (−1, 0),
3) математическое ожидание M(x),
4) вероятность того, что в результате 50-ти испытаний величина X примет значение, заключенное в интервале (−1, 0), от значения 30 до 45 раз.
Характеристики решённой задачи
Просмотров
1
Качество
Идеальное компьютерное
Размер
597 Kb
Список файлов
zadacha-111.doc

Если нужен другой вариант работы или отдельная задача из любой работы, пишите в комментарии