Для студентов по предмету Теория вероятностей и математическая статистика (ТВиМС)Случайная величина Х задана интегральной функцией F(x). Найти 1Дифференциальную функцию распределения вероятностей f(x) 2вычислить математическое ожСлучайная величина Х задана интегральной функцией F(x). Найти 1Дифференциальную функцию распределения вероятностей f(x) 2вычислить математическое ож
5,00518148
2022-11-202022-11-20СтудИзба
Случайная величина Х задана интегральной функцией F(x). Найти 1Дифференциальную функцию распределения вероятностей f(x) 2вычислить математическое ожидание, дисперсию и среднее квадратческое отклонение 3Вычислить вероятность попадания случайной вел
Описание
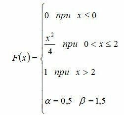
Случайная величина Х задана интегральной функцией F(x). Найти
1 Дифференциальную функцию распределения вероятностей f(x)
2 вычислить математическое ожидание, дисперсию и среднее квадратческое отклонение
3 Вычислить вероятность попадания случайной величины в заданный интервал (a, b).
Характеристики решённой задачи
Номер задания
Программы
Просмотров
1
Качество
Идеальное компьютерное
Размер
38,86 Kb
Список файлов
Задача.docx
