Домашнее задание по модулю 1 (операционное исчисление) - 5 ЗАДАЧ
Описание
👉ДЗ ПРОВЕРЕНО (с красной плусом) И ЗАЧТЕНО НА МАКСИМАЛЬНЫЙ БАЛЛ!
УСЛОВИЕ (Подобнее в разделе "ДЕМО") + ДЕМО
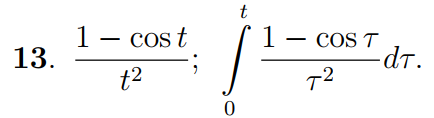
Задача 1:Пользуясь теоремами интегрирования изображения и интегрирования оригинала, найти изображения заданных функций. Найденный результат проверить для первой из заданных функций по 1-й теореме разложения (2 балла).


Задача 2:
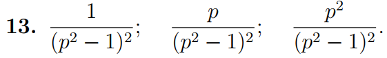
Пользуясь теоремой свертывания, найти оригинал первой из заданных функций. Найти
оригиналы остальных функций применяя к полученному результату либо теорему дифференцирования, либо теорему интегрирования оригинала. Для последней из заданных функций
проверить ответ, либо находя по полученному оригиналу его изображение, либо находя сам
оригинал иным способом (по одной из теорем разложения) (2 балла).


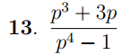
При помощи обобщенной (третьей) теоремы разложения найти оригинал заданной функции.
Ответ проверить с помощью второй теоремы разложения (2 балла).


Задача 4:
Найти изображения периодической функции, заданной графически (на графике изображен
первый период функции и пунктиром показано начало второго; кривые в вариантах 11–16 —
параболы с вертикальной осью, в вариантах 17–22 — синусоиды, в вариантах 23–30 — параболы
с вертикальной осью) (2 балла).


Проинтегрировать линейное дифференциальное уравнение при заданных начальных условиях (2 балла).

Пользуясь теоремами интегрирования изображения и интегрирования оригинала, найти изображения заданных функций. Найденный результат проверить для первой из заданных функций по 1-й теореме разложения (2 балла). Задача 2: Пользуясь теоремой свертывания, найти оригинал первой из заданных функций. Найти оригиналы остальных функций применяя к полученному результату либо теорему дифференцирования, либо теорему интегрирования оригинала. Для последней из заданных функций проверить ответ, либо находя по полученному оригиналу его изображение, либо находя сам оригинал иным способом (по одной из теорем разложения) (2 балла). Задача 3 При помощи обобщенной (третьей) теоремы разложения найти оригинал заданной функции.
Ответ проверить с помощью второй теоремы разложения (2 балла). Задача 4 Найти изображения периодической функции, заданной графически (на графике изображен первый период функции и пунктиром показано начало второго; кривые в вариантах 11–16 — параболы с вертикальной осью, в вариантах 17–22 — синусоиды, в вариантах 23–30 — параболы с вертикальной осью) (2 балла). Задача 5 Проинтегрировать линейное дифференциальное уравнение при заданных начальных условиях (2 балла)..
Файлы условия, демо
Характеристики домашнего задания
Список файлов
