Для студентов ММА по предмету Теория вероятностей и математическая статистика (ТВиМС)Теория вероятности и математическая статистикаТеория вероятности и математическая статистика
5,0051
2024-08-022024-08-02СтудИзба
Ответы к зачёту: Теория вероятности и математическая статистика
Описание
Теория вероятности и математическая статистика. Коллекция ответов на вопросы. ВУЗ - ММА.
Список вопросов
В мешок с двумя шарами опустили белый шар, после чего из него наудачу извлекли один шар. Найти вероятность того, что этот шар оказался белым, если равно возможны все возможные предположения о первоначальном составе шаров (по цвету)
Плотность равномерного распределения дана формулой:
f(x) = 1/(b – a), если a ≤ x ≤ b, f(x) = 0, если x < 0 и x > b.
Тогда математическое ожидание случайной величины с таким распределением равно:
f(x) = 1/(b – a), если a ≤ x ≤ b, f(x) = 0, если x < 0 и x > b.
Тогда математическое ожидание случайной величины с таким распределением равно:
В течении часа на коммутатор поступает в среднем 120 телефонных вызовов. Какова вероятность того, что в течение заданной минуты поступит 4 вызова?
Сочетаниями из n элементов по m в каждом называются такие комбинации
Вероятность того, что при n испытаниях событие А произойдет m раз, определяется по формуле Бернулли (q = 1 – p):
Распределение дискретной случайной величины X имеет вид: Математическое ожидание случайной величины M(x) равно:
![]()

Пусть в группе 15 студентов, 8 из них вышли из аудитории на перерыв. Тогда для подсчета числа возможных групп из 15 по 8 необходимо составлять:
Среди 9 лотерейных билетов 6 выигрышных. Наудачу купили 3 билета. Вероятность того, что среди них 2 выигрышных равна
В первом ящике 20 белых и 1 черный шар, во втором 50 белых и 6 черных. Из первого ящика во второй переложили 11 шаров, затем из второго извлекли 1 шар. Найти вероятность того, что выбранный шар - белый.
Из колоды в 52 карты извлекаются наудачу 4 карты. Вероятность того, что среди них окажутся ровно две пики равна
В колоде 36 карт. Каждому из четырех игроков раздали по 6 карт. Вероятность того, что каждый игрок получил по одному тузу равна
Если в схеме Бернулли р – малая величина и λ = np, то вероятность Pn;m того, что при n испытаниях событие А произойдет m раз можно найти по приближенной формуле:
Из колоды в 52 карты извлекаются наудачу 4 карты. Вероятность того, что среди них окажется хотя бы один туз равна
Сколько экзаменационных комиссий, состоящих из 7 человек, можно образовать из 14 преподавателей?
Выборка задана в виде распределения частот: Тогда медиана этого вариационного ряда равна:
![]()

Нормальным (гауссовым) распределением вероятностей непрерывной случайной величины X называется распределение с плотностью вероятностей:
Игровой кубик подброшен 5 раз. Какова вероятность того, что два раза выпадет шесть очков?
Случайная величина, распределена по показательному закону f(x)=λe . Произведена выборка, среднее значение которой равно 10. Тогда параметр λ оценивается числом:
Дисперсия случайной величины X определяется формулой:
Перестановками из n элементов называются такие комбинации
При дальней радиосвязи из-за помех 10% сигналов искажаются и принимаются неверно. Найдите вероятность того, что при передаче 50 сигналов ошибок в приёме будет не более трёх.
Пусть X = (x1, x2,…., xn) – дискретная случайная величина, pi – вероятности появления xi. Тогда математическое ожидание M(X) случайной величины X рассчитывается о формуле:
Число размещений из n элементов по m в каждом вычисляется по формуле:
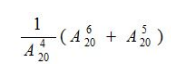
Значение равно:
![]()

Магазин при осмотре партии товара А обнаружил в этой партии 2% брака. Дисперсия этого альтернативного признака (бракованного товара) равна:
Случайная величина X характеризуется рядом распределения: Тогда математическое ожидание случайной величины X равно:
![]()

Ковариация между выборками x = (x1, x2,…xn) и y = (y1, y2,…,yn), вычисляется по формуле:
Магазин при осмотре партии товара А обнаружил в этой партии 2% брака. Средняя арифметическая числа альтернативного признака (бракованного товара) равна:
Среднее квадратическое отклонение – это:
Дана выборка x = (x1, x2,…xn). Несмещенную оценку дисперсии этой выборки можно найти по формуле:
Число сочетаний из n элементов по m вычисляется по формуле:
В ящике 10 одинаковых деталей с номерами 1,2,...,10.
Наудачу извлекаются шесть деталей. Вероятность того, что среди них окажутся детали с номером 1 и 2 равна
Наудачу извлекаются шесть деталей. Вероятность того, что среди них окажутся детали с номером 1 и 2 равна
Для стрелка, выполняющего управжнения в тире, вероятность попасть в цель при одном выстреле не зависит от результатов предшествующих выстрелов и равна 1/4. Спортсмен сделал 5 выстрелов. Найти вероятность того, что было ровно два попадания.
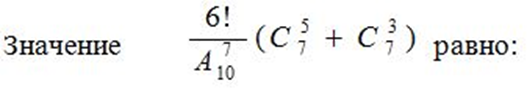
Значение равно: ![]()

Коэффициент корреляции двух случайных величин X и Y принимает значения:
Вариационный ряд – это:
Средний стаж работы рабочих АО составил 5 лет. Дисперсия стажа работы 4 года. Чему равен коэффициент вариации?
Выборочная средняя распределения (n – частота) равна:
![]()

При каком значении линейного коэффициента корреляции между признаками связь можно считать самой сильной:
Характеристики ответов (шпаргалок) к зачёту
Тип
Коллекция: Ответы (шпаргалки) к зачёту
Учебное заведение
Учебная пора
Просмотров
31
Количество вопросов
Пожалуйста, если не трудно, оцените файл на высокую оценку, спасибо!
Комментарии
Нет комментариев
Стань первым, кто что-нибудь напишет!
ММА
iFate
















