Для студентов МГТУ им. Н.Э.Баумана по предмету Теория механизмов и машин (ТММ)Вариант 30 - Полное ДЗ - Угол 60Вариант 30 - Полное ДЗ - Угол 60
5,0052
2022-02-212025-02-11СтудИзба
ДЗ: Вариант 30 - Полное ДЗ - Угол 60 вариант 30
-39%
Описание
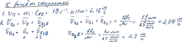
Внутри файла: Структурная схема механизма, Расчеты определения скоростей, Расчеты определения ускорений. Зачтенная работа










Характеристики домашнего задания
Учебное заведение
Семестр
Вариант
Просмотров
153
Размер
9,42 Mb
Список файлов
ТММ Вариант 11.pdf

Спасибо за покупку! Я буду очень рад, если поставишь справедливую оценку купленному файлу :3 Ищи больше работ в моём профиле, там много нужного тебе!