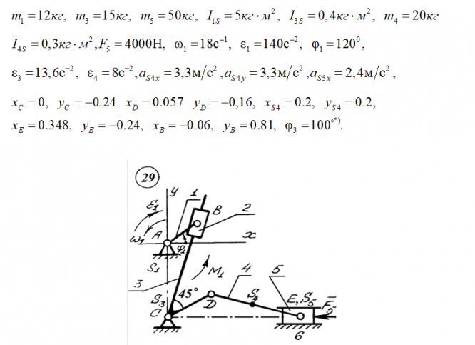
Для студентов МГТУ им. Н.Э.Баумана по предмету Теория механизмов и машин (ТММ)Вариант №29 ДЗ ''Силовой анализ механизма'' (оформлено в word)Вариант №29 ДЗ ''Силовой анализ механизма'' (оформлено в word)
5,0055
2020-12-272020-12-27СтудИзба
ДЗ: Вариант №29 ДЗ ''Силовой анализ механизма'' (оформлено в word) вариант 29
Описание
Характеристики домашнего задания
Учебное заведение
Семестр
Вариант
Просмотров
121
Качество
Идеальное компьютерное
Размер
564,01 Kb
Список файлов
Вариант 29 ДЗ ''Силовой анализ механизма''.docx
Комментарии
Нет комментариев
Стань первым, кто что-нибудь напишет!
МГТУ им. Н.Э.Баумана


















