Для студентов по предмету Теория игрПостроить на плоскости область решений системы линейных неравенствПостроить на плоскости область решений системы линейных неравенств
5,0053332
2025-01-102025-01-10СтудИзба
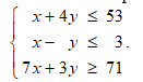
Задача: Построить на плоскости область решений системы линейных неравенств
Описание
Построить на плоскости область решений системы линейных неравенств
![]()

Характеристики решённой задачи
Предмет
Просмотров
1
Качество
Идеальное компьютерное
Размер
70 Kb
Список файлов
lineynyh-neravenstv.doc

Если нужен другой вариант работы или отдельная задача из любой работы, пишите в комментарии