Для студентов МГТУ им. Н.Э.Баумана по предмету Теория функций комплексного переменного (ТФКП)Операционное исчислениеОперационное исчисление
5,00562
2021-03-072021-03-07СтудИзба
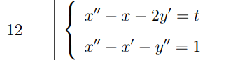
ДЗ 2: Операционное исчисление вариант 12
Описание
Характеристики домашнего задания
Учебное заведение
Семестр
Номер задания
Вариант
Теги
Просмотров
130
Качество
Фото рукописных листов
Размер
1,05 Mb
Список файлов
ИУ1_2_ОИ_ДЗ_12_вариант.pdf
Комментарии
Нет комментариев
Стань первым, кто что-нибудь напишет!

МГТУ им. Н.Э.Баумана
neonoir


















