ДЗ 1: Теория функции комплексного переменного вариант 24
Описание

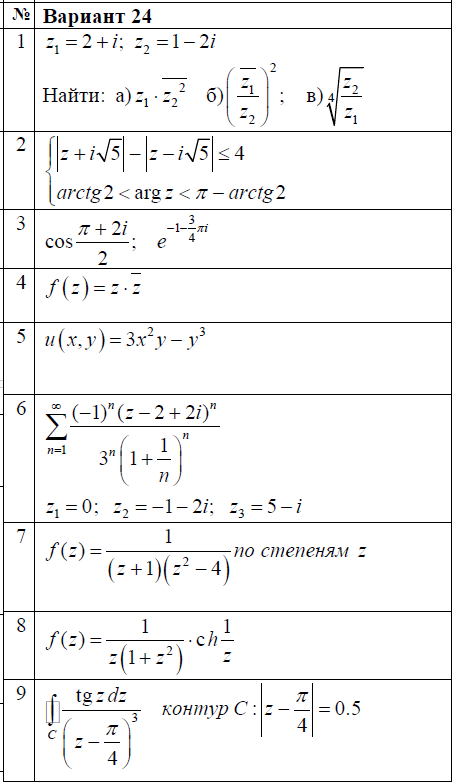
ДЗ № 1 «ТЕОРИЯ ФУНКЦИЙ КОМПЛЕКСНОГО ПЕРЕМЕННОГО». Набор задач №1. Задача 1. Найти значения заданных выражений. Задача 2. Заштриховать на рисунке множество точек плоскости z, определяемое заданными неравенствами. Границы множества, ему принадлежащие, вычертить сплошными, линиями, а ему не принадлежащие, - пунктирными линиями. Задача 3. Вычислить значение функций при заданном значении аргумента. Задача 4. Проверить, будет ли регулярна заданная функция. Для регулярной функции найти производную, используя формулу ; 0 \' x z y f z u i v x x Задача 5. Установить, может ли данная функция служить вещественной или мнимой частью некоторой регулярной функции, и если может, то восстановить эту регулярную функцию в виде f z.
Убедиться, что найденная функция регулярна и удовлетворяет заданному условию. В условии задачи: через ux, y обозначается вещественная, а через vx, y - мнимая часть искомой регулярной функции. Задача 6. Определить круг сходимости заданного степенного ряда. Сходится ли ряд в заданных точках z1, z2 , z3 ? Сходится ли заданный степенной ряд в крайних левой, правой, верхней и нижней точках круга сходимости. Если сходится, то как - абсолютно или условно? Сделать рис. Задача 7. Найти все разложения заданной функции по степеням заданной разности z a. Указать области пригодности каждого из разложений. Задача 8. Найти все особые точки заданной функции, определить их характер и найти вычеты в них.
Установить, чем является для данной функции бесконечно удаленная точка, и найти вычеты в ней. Задача 9. В вар.1-15 вычислить интеграл при помощи теорем о вычетах. Варианты 16-30 задачи №9, заданные в таблице к этой задаче, использовать как условие задачи №10 (см. ниже). В вар.16-30 вычислить интеграл при помощи формулы Коши или ее следствия..
Характеристики домашнего задания
Список файлов
