Для студентов НГТУ по предмету Теоретические основы электротехники (ТОЭ)Расчетно-графическая работа №1Расчетно-графическая работа №1
4,915211
2022-07-042022-07-04СтудИзба
Задача: Расчетно-графическая работа №1
Описание
Цель работы:
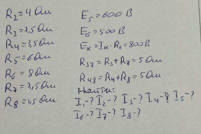
1. Рассчитать токи ветвей методом контурных токов
2. Проверить расчет с помощью баланса мощностей
3. Рассчитать токи методом узловых потенциалов
4. Получить значение тока I1 методом эквивалентного генератора
![]()
1. Рассчитать токи ветвей методом контурных токов
2. Проверить расчет с помощью баланса мощностей
3. Рассчитать токи методом узловых потенциалов
4. Получить значение тока I1 методом эквивалентного генератора
Файлы условия, демо
Характеристики решённой задачи
Учебное заведение
Семестр
Просмотров
10
Качество
Фото рукописных листов
Размер
50,7 Mb
Список файлов
0.jpg
1.jpg
2.jpg
3.jpg
4.jpg
5.jpg
6.jpg
7.jpg
8.jpg
Комментарии
Нет комментариев
Стань первым, кто что-нибудь напишет!
НГТУ

















