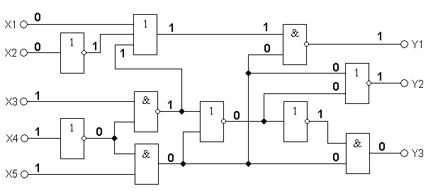
Для студентов по предмету Теоретические основы электротехники (ТОЭ)В комбинационной схеме на рисунке ниже определить сигналы на выходах логических элементов и на выходах Y1, Y2, Y3 при значениях сигналов на входах согВ комбинационной схеме на рисунке ниже определить сигналы на выходах логических элементов и на выходах Y1, Y2, Y3 при значениях сигналов на входах сог
5,0051
2022-04-202024-08-26СтудИзба
В комбинационной схеме на рисунке ниже определить сигналы на выходах логических элементов и на выходах Y1, Y2, Y3 при значениях сигналов на входах согласно варианту №8: Х1 = 0 ; Х2 = 1 ; Х3 = 0 ; Х4 = 0 ; Х5 = 0
Описание
В комбинационной схеме на рисунке ниже определить сигналы на выходах логических элементов и на выходах Y1, Y2, Y3 при значениях сигналов на входах согласно варианту №8:
Х1 = 0 ; Х2 = 1 ; Х3 = 0 ; Х4 = 0 ; Х5 = 0
![]()
Х1 = 0 ; Х2 = 1 ; Х3 = 0 ; Х4 = 0 ; Х5 = 0

Характеристики решённой задачи
Номер задания
Вариант
Программы
Просмотров
12
Качество
Идеальное компьютерное
Размер
83,5 Kb
Список файлов
Задача.doc
