Для студентов СПбГУТ по предмету Теоретические основы электротехники (ТОЭ)Использование принципа наложения для расчёта линейной резистивной цепи с двумя независимыми источникамиИспользование принципа наложения для расчёта линейной резистивной цепи с двумя независимыми источниками
5,0053332
2025-06-112025-06-11СтудИзба
ДЗ: Использование принципа наложения для расчёта линейной резистивной цепи с двумя независимыми источниками вариант 52
Описание
Задача 1
Использование принципа наложения для расчёта линейной резистивной цепи с двумя независимыми источниками
Для цепи, схема которой приведена на рисунке 1, рассчитайте все токи, используя принцип наложения.
Для этого:
1. Перерисуйте схему.
2. Выберите произвольно и покажите стрелками положительные направления всех токов.
3. Нарисуйте схему для расчёта частичных токов, создаваемых источником напряжения.
4. Нарисуйте схему для расчёта частичных токов, создаваемых только источником тока.
5. На каждой из этих схем покажите стрелками положительные направления частичных токов.
6. Вычислите все частичные токи в обеих схемах.
7. Составьте таблицу значений частичных и истинных токов во всех ветвях цепи.
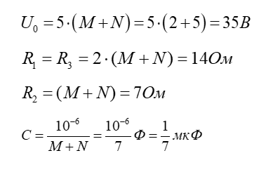
Рассчитываем параметры элементов цепи в соответствии с выполняемым вариантом:
i01=0,5·N=0,5·5=2,5 А;
u05= N·(M+N)=5·(2+5)=35 В;
R1=(M+N)=2+5=7 Ом;
R2=2·(M+N)= 2·(2+5)=14 Ом;
R3=3·(M+N)= 3·(2+5)=21 Ом;
R4=4·(M+N)= 4·(2+5)=28 Ом;
Задача 2
Расчёт линейной резистивной цепи с двумя независимыми источниками методом узловых напряжений
Для цепи, схема которой приведена на рисунке 5, рассчитайте все токи, используя метод узловых напряжений.
Для этого:
1. Перерисуйте схему.
2. Пронумеруйте все узлы, предварительно выбрав базисный узел.
3. Составьте систему узловых уравнений. Уравнения составьте в алгебраической форме и с численными коэффициентами.
4. Вычислите узловые напряжения.
5. Вычислите токи во всех ветвях, предварительно выберите и покажите их положительные направления.
6. Сделайте проверку по первому закону Кирхгофа для независимых узлов цепи.
Для всех вариантов
i01=2/5 А;
i02=4/5 А;
i03=8/5 А;
R1= R2= R3= R4= R5=N=5 Ом
Задача 3
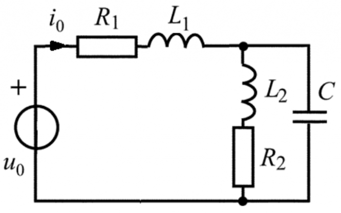
Расчёт линейной цепи с одним независимым источником гармонических колебаний методом комплексных амплитуд
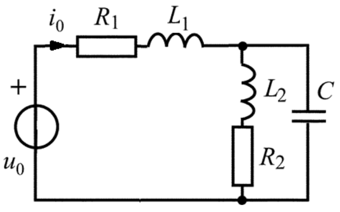
Для цепи, схема которой приведена на рисунке 6, рассчитайте ток или напряжение на зажимах источника напряжения или тока, комплексную мощность на зажимах источника, определите среднюю и реактивную мощности источника. Для этого:
1. Перерисуйте схему и замените заданное гармоническое колебание u0(t) или i0(t) соответствующей комплексной амплитудой.
2. Запишите комплексные сопротивления элементов цепи.
3. Найдите общее комплексное сопротивление относительно зажимов источника.
4. Применяя закон Ома в комплексной форме, вычислите комплексную амплитуду тока через источник напряжения или комплексную амплитуду напряжения на зажимах источника тока.
5. Запишите мгновенное значение тока через источник напряжения или напряжения на зажимах источника тока.
6. Найдите комплексную мощность на зажимах источника, определите среднюю и реактивную мощности источника.
Задача 4
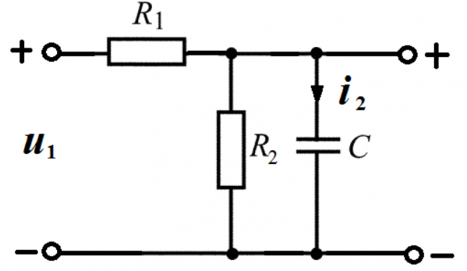
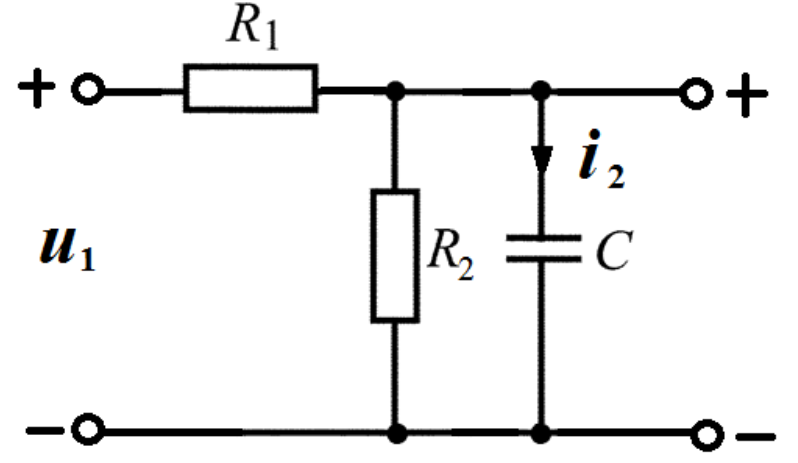
Определение комплексной передаточной функции цепи 1-го порядка. Построение амплитудно-частотных и фазочастотных характеристик
Найдите комплексную передаточную функцию H(jω) цепи 1-го порядка и определите по ней частотные характеристики: амплитудно-частотную |H(jω)| и фазочастотную Θ(ω).
Для этого:
1. Выберите для своего варианта схему пассивной RL или RC цепи из табл. 1.3 и рассчитайте значения её параметров через M и N.
2. Найдите требуемую комплексную передаточную функцию H(jω) в общем виде через её параметры R, L, C:
𝐻(𝑗ω)=|𝐻(𝑗𝜔)|∙𝑒𝑗ϴ(𝜔)
3. Запишите в общем виде через параметры R, L, C выражения для амплитудно-частотной |H(jω)| и фазочастотной Θ(ω) = arg H(jω) характеристик.
Постройте качественные графики АЧХ и ФЧХ, определив значения частотных характеристик при ω=0 и ω→∞.
4. На графике АЧХ покажите полосу пропускания и определите граничную частоту полосы пропускания ωгр.
Задача 5
Анализ переходных колебаний в электрической цепи
классическим методом
Найдите закон изменения напряжения и тока на реактивном элементе uC(t), iC(t) или uL(t), iL(t) после коммутации при условии, что до коммутации в цепи был установившийся режим.
Для этого:
1. Выберите для своего варианта схему цепи и рассчитайте её параметры через M и N из табл. 1.4, если последняя цифра номера зачётной книжки нечётная, или из табл. 1.5, если – чётная (цифру 0 считать чётной).
2. Составьте для схемы, получившейся после коммутации, систему уравнений по законам Кирхгофа для мгновенных значений токов и напряжений и получите одно дифференциальное уравнение относительно uC(t) или iL(t).
3. Найдите путём решения полученного дифференциального уравнения искомую реакцию цепи uC(t) или iL(t), по которой определите iC(t) или uL(t) соответственно.
4. Постройте графики функций uC(t), iC(t) или iL(t), uL(t).
![]()
Использование принципа наложения для расчёта линейной резистивной цепи с двумя независимыми источниками
Для цепи, схема которой приведена на рисунке 1, рассчитайте все токи, используя принцип наложения.
Для этого:
1. Перерисуйте схему.
2. Выберите произвольно и покажите стрелками положительные направления всех токов.
3. Нарисуйте схему для расчёта частичных токов, создаваемых источником напряжения.
4. Нарисуйте схему для расчёта частичных токов, создаваемых только источником тока.
5. На каждой из этих схем покажите стрелками положительные направления частичных токов.
6. Вычислите все частичные токи в обеих схемах.
7. Составьте таблицу значений частичных и истинных токов во всех ветвях цепи.

i01=0,5·N=0,5·5=2,5 А;
u05= N·(M+N)=5·(2+5)=35 В;
R1=(M+N)=2+5=7 Ом;
R2=2·(M+N)= 2·(2+5)=14 Ом;
R3=3·(M+N)= 3·(2+5)=21 Ом;
R4=4·(M+N)= 4·(2+5)=28 Ом;
Задача 2
Расчёт линейной резистивной цепи с двумя независимыми источниками методом узловых напряжений
Для цепи, схема которой приведена на рисунке 5, рассчитайте все токи, используя метод узловых напряжений.
Для этого:
1. Перерисуйте схему.
2. Пронумеруйте все узлы, предварительно выбрав базисный узел.
3. Составьте систему узловых уравнений. Уравнения составьте в алгебраической форме и с численными коэффициентами.
4. Вычислите узловые напряжения.
5. Вычислите токи во всех ветвях, предварительно выберите и покажите их положительные направления.
6. Сделайте проверку по первому закону Кирхгофа для независимых узлов цепи.

i01=2/5 А;
i02=4/5 А;
i03=8/5 А;
R1= R2= R3= R4= R5=N=5 Ом
Задача 3
Расчёт линейной цепи с одним независимым источником гармонических колебаний методом комплексных амплитуд
Для цепи, схема которой приведена на рисунке 6, рассчитайте ток или напряжение на зажимах источника напряжения или тока, комплексную мощность на зажимах источника, определите среднюю и реактивную мощности источника. Для этого:
1. Перерисуйте схему и замените заданное гармоническое колебание u0(t) или i0(t) соответствующей комплексной амплитудой.
2. Запишите комплексные сопротивления элементов цепи.
3. Найдите общее комплексное сопротивление относительно зажимов источника.
4. Применяя закон Ома в комплексной форме, вычислите комплексную амплитуду тока через источник напряжения или комплексную амплитуду напряжения на зажимах источника тока.
5. Запишите мгновенное значение тока через источник напряжения или напряжения на зажимах источника тока.
6. Найдите комплексную мощность на зажимах источника, определите среднюю и реактивную мощности источника.


Задача 4
Определение комплексной передаточной функции цепи 1-го порядка. Построение амплитудно-частотных и фазочастотных характеристик
Найдите комплексную передаточную функцию H(jω) цепи 1-го порядка и определите по ней частотные характеристики: амплитудно-частотную |H(jω)| и фазочастотную Θ(ω).
Для этого:
1. Выберите для своего варианта схему пассивной RL или RC цепи из табл. 1.3 и рассчитайте значения её параметров через M и N.
2. Найдите требуемую комплексную передаточную функцию H(jω) в общем виде через её параметры R, L, C:
𝐻(𝑗ω)=|𝐻(𝑗𝜔)|∙𝑒𝑗ϴ(𝜔)
3. Запишите в общем виде через параметры R, L, C выражения для амплитудно-частотной |H(jω)| и фазочастотной Θ(ω) = arg H(jω) характеристик.
Постройте качественные графики АЧХ и ФЧХ, определив значения частотных характеристик при ω=0 и ω→∞.
4. На графике АЧХ покажите полосу пропускания и определите граничную частоту полосы пропускания ωгр.


Анализ переходных колебаний в электрической цепи
классическим методом
Найдите закон изменения напряжения и тока на реактивном элементе uC(t), iC(t) или uL(t), iL(t) после коммутации при условии, что до коммутации в цепи был установившийся режим.
Для этого:
1. Выберите для своего варианта схему цепи и рассчитайте её параметры через M и N из табл. 1.4, если последняя цифра номера зачётной книжки нечётная, или из табл. 1.5, если – чётная (цифру 0 считать чётной).
2. Составьте для схемы, получившейся после коммутации, систему уравнений по законам Кирхгофа для мгновенных значений токов и напряжений и получите одно дифференциальное уравнение относительно uC(t) или iL(t).
3. Найдите путём решения полученного дифференциального уравнения искомую реакцию цепи uC(t) или iL(t), по которой определите iC(t) или uL(t) соответственно.
4. Постройте графики функций uC(t), iC(t) или iL(t), uL(t).


Характеристики домашнего задания
Учебное заведение
Вариант
Просмотров
1
Качество
Идеальное компьютерное
Размер
5,39 Mb
Список файлов
kontrolnaya-rabota.docx

Если нужен другой вариант работы или отдельная задача из любой работы, пишите в комментарии