Для студентов МГТУ им. Н.Э.Баумана по предмету Теоретическая механикаПлоская и пространственная статикаПлоская и пространственная статика
5,0058
2025-05-262025-05-28СтудИзба
ДЗ 4: Плоская и пространственная статика вариант 17
Описание
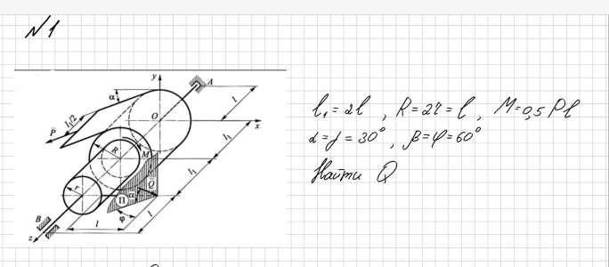
Домашнее задание № 4 по теоретической механике. Выполнено на планшете рукописным текстом, все отлично видно. Работа была принята Паншиной А.В.
![]()


Характеристики домашнего задания
Предмет
Учебное заведение
Семестр
Номер задания
Вариант
Теги
Просмотров
149
Размер
3,91 Mb
Преподаватели
Список файлов
DrawNote_Без названия.pdf
DrawNote_Без названия (1).pdf

Всем привет, все мои работы выполнены на планшете рукописным текстом, пример почерка можете оценить в описании материалов. Сам почерк у меня более чем разборчивый, а за счет формата PDF все слова прекрасно читаемы. Удачи всем и спасибо за покупку! ❤️