Для студентов МГТУ им. Н.Э.Баумана по предмету Теоретическая механикаКинематика точки и простейших движений твердого телаКинематика точки и простейших движений твердого тела
3,9058
2024-03-092024-09-03СтудИзба
ДЗ 1: Кинематика точки и простейших движений твердого тела вариант 4
-66%
Описание
Вариант4 – ДЗ №1 - Кинематика точки и простейших движений твердого тела
Зачтено на максимальный балл 💥💥💥
Спасибо за покупку 🥰🥰🥰
Условие:
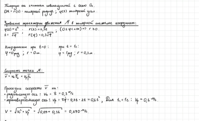
Пример решения
Характеристики домашнего задания
Предмет
Учебное заведение
Семестр
Номер задания
Вариант
Просмотров
224
Размер
4,82 Mb
Список файлов
1.jpg
2.jpg
3.jpg
5.jpg
6.jpg
7.jpg

Друзья, спасибо за доверие! Если вам понравилась работа – поставьте 5⭐ и напишите отзыв. Это поможет другим студентам, а мне даст силы делать ещё больше качественных материалов для вас 🔥