Для студентов МГТУ им. Н.Э.Баумана по предмету Теоретическая механикаКинематика плоского движения твердого телаКинематика плоского движения твердого тела
3,4055
2023-03-182024-09-03СтудИзба
ДЗ 2: Кинематика плоского движения твердого тела вариант 2
-66%
Описание
Вариант 2 - ДЗ №2 - Кинематика плоского движения твердого тела
Зачтено на максимальный балл 💥 💥 💥
Спасибо за покупку 🥰🥰🥰
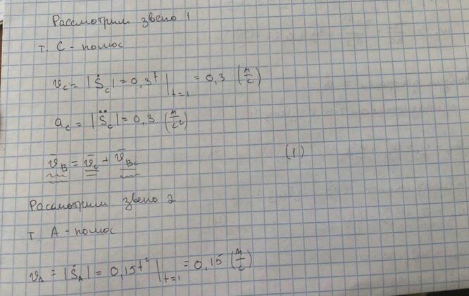
В механизме звенья 1 и 2 связаны между собой шарниром В. Звено 2 соединено шарниром с ползуном А, перемещающимся по горизонтальной направляющей по закону 0,05 0,25 3 SA t м, а звено 1 связано с ползуном С, движущимся по направляющей, которая составляет угол 600 с горизонталью, по закону 0,15 0,15 2 SC t м. Принять AB DC 0,3 м, AD BD,t 1с, 0 t 1 с.


Характеристики домашнего задания
Предмет
Учебное заведение
Семестр
Номер задания
Вариант
Просмотров
491
Размер
2,27 Mb
Список файлов
Вариант 2 - ДЗ №2 -Кинематика плоского движения твердого тела.docx

Друзья, спасибо за доверие! Если вам понравилась работа – поставьте 5⭐ и напишите отзыв. Это поможет другим студентам, а мне даст силы делать ещё больше качественных материалов для вас 🔥