Для студентов МГТУ им. Н.Э.Баумана по предмету Теоретическая механикаКолебания линейной системы с одной степенью свободыКолебания линейной системы с одной степенью свободы
3,8156
2022-04-062024-09-03СтудИзба
ДЗ 2: Колебания линейной системы с одной степенью свободы вариант 7
-66%
Описание
Вариант 7 - ДЗ №2 - Колебания системы с одной степенью свободы (для ИУ)
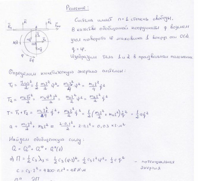
![]()
Зачтено на максимальный балл
Вариант 7. Зубчатая рейка 1 массы m1 может двигаться в горизонтальных направляющих и находится в зацеплении с шестернёй 2 массы m2. Полагая шестерню однородным диском, составить дифференциальное уравнение движения и найти амплитуду вынужденных колебаний рейки, возбуждаемых парой сил, приложенных к шестерне, с моментом M(t)=M0·sinpt, если m1= m2 = 2 кг, коэффициент жёсткости пружины 3 r = 0,1 м, M0 = 5Н м, p =40 рад/с.


Характеристики домашнего задания
Предмет
Учебное заведение
Семестр
Номер задания
Вариант
Теги
Просмотров
1246
Качество
Фото рукописных листов
Размер
3,2 Mb
Список файлов
Вариант 7 - ДЗ №2 - Колебания системы с одной степенью свободы (для ИУ)
1.jpg
2.jpg
3.jpg
4.jpg
5.jpg
6.jpg
7.jpg
8.jpg
termeh_image.docx

Друзья, спасибо за доверие! Если вам понравилась работа – поставьте 5⭐ и напишите отзыв. Это поможет другим студентам, а мне даст силы делать ещё больше качественных материалов для вас 🔥