Для студентов МГТУ им. Н.Э.Баумана по предмету Теоретическая механикаДинамические реакции подшипниковДинамические реакции подшипников
4,88573
2019-03-052019-03-05СтудИзба
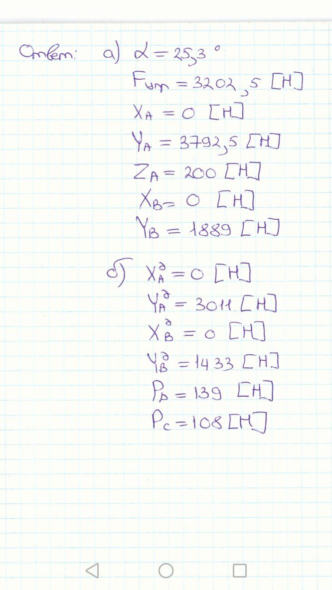
ДЗ 1: Динамические реакции подшипников вариант 14
Описание
Характеристики домашнего задания
Предмет
Учебное заведение
Семестр
Номер задания
Вариант
Просмотров
1372
Качество
Скан рукописных листов
Размер
8,21 Mb
Список файлов
1.jpeg
2.jpeg
3.jpeg
4.jpeg
5.jpeg
6.jpeg
7.jpeg
Комментарии
Нет комментариев
Стань первым, кто что-нибудь напишет!
МГТУ им. Н.Э.Баумана
kirtis26

















