Для студентов МАИ по предмету Теоретическая механикаДинамика механических системДинамика механических систем
5,0051
2026-01-09СтудИзба

Курсовая работа: Динамика механических систем вариант 30

-50%

Описание

Задание №30

В брусе 1 массы m1 сделана цилиндрическая выточка радиуса R, в которой катается без скольжения однородный круглый цилиндр 2 массы m2 и радиуса r (рис. 30). Оси выточки и цилиндра параллельны. Брус двигается по гладкой горизонтальной плоскости под действием горизонтальной силы F=F0sin(pt), силы упругости Fупр=-cx и силы сопротивления Fсопр=-kx'. Ось пружины горизонтальна. Пружина не деформирована при x=0.
  • 1. Ввести подвижную систему координат, связанную с брусом 1. Считая x(t) и φ(t) заданными функциями времени, вычислить абсолютную скорость и абсолютное ускорение центра цилиндра 2. Изобразить на чертеже составляющие векторов vабс и ωабс. Найти угловую скорость и угловое ускорение цилиндра.
  • 2. Принять в этом пункте, что вместо цилиндра 2 по цилиндрической выточке движется материальная точка массы m2. Считая, что x(t) является заданной функцией времени, составить дифференциальное уравнение движения этой точки относительно подвижной системы координат, введенной в п. 1.
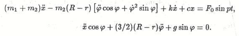
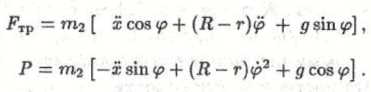
  • 3. Считая x(t) и φ(t) заданными функциями времени, определить величины Fтр силы трения между цилиндром и брусом и Р силы давления цилиндра на брус. Применить теорему о движении центра масс. Показать, что
  • 4. При x=const записать дифференциальное уравнение движения цилиндра, воспользовавшись теоремой об изменении кинетического момента.
  • 5. Для условия п. 4 найти минимальную скорость, которую необходимо сообщить центру цилиндра в его нижнем положении, чтобы он мог подняться в положение, при котором φ=π/3. Применить теорему об изменении кинетической энергии.
  • 6. Считая x(t) и φ(t) заданными функциями времени, найти главный вектор сил инерции цилиндра и их главный момент относительно центра цилиндра.
  • 7. Применяя принцип Даламбера, показать, что величина силы давления системы на плоскость определяется формулой:
  • 8. Составить дифференциальные уравнения движения системы, исходя из общего уравнения аналитической динамики и приняв за обобщенные координаты x и φ.
  • 9. Составить выражения для кинетической и потенциальной энергии системы, вычислить обобщенные силы.
  • 10. Используя уравнения Лагранжа второго рода, показать, что дифференциальные уравнения движения системы имеют вид
  • 11. Полагая, что c=0; k=0; F0=0, получить уравнение малых колебаний цилиндра в окрестности его нижнего (φ=0) положения. Вычислить период малых колебаний.

Характеристики курсовой работы

Учебное заведение
Вариант
Просмотров
36
Качество
Фото рукописных листов
Размер
2,86 Mb

Преподаватели

Список файлов

Динамика механических систем.pdf
Картинка-подпись
Вам все понравилось? Получите кэшбэк - 40 рублей на Ваш счёт при покупке. Поставьте оценку и напишите положительный комментарий к купленному файлу. После Вы получите деньги на ваш счет.

Комментарии

Нет комментариев
Стань первым, кто что-нибудь напишет!
Поделитесь ссылкой:
Цена: 3 000 1 490 руб.
Расширенная гарантия +3 недели гарантии, +10% цены
Рейтинг покупателей
5 из 5
Поделитесь ссылкой:
Сопутствующие материалы

Подобрали для Вас услуги

Вы можете использовать курсовую работу для примера, а также можете ссылаться на неё в своей работе. Авторство принадлежит автору работы, поэтому запрещено копировать текст из этой работы для любой публикации, в том числе в свою курсовую работу в учебном заведении, без правильно оформленной ссылки. Читайте как правильно публиковать ссылки в своей работе.
Свежие статьи
Популярно сейчас
Почему делать на заказ в разы дороже, чем купить готовую учебную работу на СтудИзбе? Наши учебные работы продаются каждый год, тогда как большинство заказов выполняются с нуля. Найдите подходящий учебный материал на СтудИзбе!
Ответы на популярные вопросы
Да! Наши авторы собирают и выкладывают те работы, которые сдаются в Вашем учебном заведении ежегодно и уже проверены преподавателями.
Да! У нас любой человек может выложить любую учебную работу и зарабатывать на её продажах! Но каждый учебный материал публикуется только после тщательной проверки администрацией.
Вернём деньги! А если быть более точными, то автору даётся немного времени на исправление, а если не исправит или выйдет время, то вернём деньги в полном объёме!
Да! На равне с готовыми студенческими работами у нас продаются услуги. Цены на услуги видны сразу, то есть Вам нужно только указать параметры и сразу можно оплачивать.
Отзывы студентов
Ставлю 10/10
Все нравится, очень удобный сайт, помогает в учебе. Кроме этого, можно заработать самому, выставляя готовые учебные материалы на продажу здесь. Рейтинги и отзывы на преподавателей очень помогают сориентироваться в начале нового семестра. Спасибо за такую функцию. Ставлю максимальную оценку.
Лучшая платформа для успешной сдачи сессии
Познакомился со СтудИзбой благодаря своему другу, очень нравится интерфейс, количество доступных файлов, цена, в общем, все прекрасно. Даже сам продаю какие-то свои работы.
Студизба ван лав ❤
Очень офигенный сайт для студентов. Много полезных учебных материалов. Пользуюсь студизбой с октября 2021 года. Серьёзных нареканий нет. Хотелось бы, что бы ввели подписочную модель и сделали материалы дешевле 300 рублей в рамках подписки бесплатными.
Отличный сайт
Лично меня всё устраивает - и покупка, и продажа; и цены, и возможность предпросмотра куска файла, и обилие бесплатных файлов (в подборках по авторам, читай, ВУЗам и факультетам). Есть определённые баги, но всё решаемо, да и администраторы реагируют в течение суток.
Маленький отзыв о большом помощнике!
Студизба спасает в те моменты, когда сроки горят, а работ накопилось достаточно. Довольно удобный сайт с простой навигацией и огромным количеством материалов.
Студ. Изба как крупнейший сборник работ для студентов
Тут дофига бывает всего полезного. Печально, что бывают предметы по которым даже одного бесплатного решения нет, но это скорее вопрос к студентам. В остальном всё здорово.
Спасательный островок
Если уже не успеваешь разобраться или застрял на каком-то задание поможет тебе быстро и недорого решить твою проблему.
Всё и так отлично
Всё очень удобно. Особенно круто, что есть система бонусов и можно выводить остатки денег. Очень много качественных бесплатных файлов.
Отзыв о системе "Студизба"
Отличная платформа для распространения работ, востребованных студентами. Хорошо налаженная и качественная работа сайта, огромная база заданий и аудитория.
Отличный помощник
Отличный сайт с кучей полезных файлов, позволяющий найти много методичек / учебников / отзывов о вузах и преподователях.
Отлично помогает студентам в любой момент для решения трудных и незамедлительных задач
Хотелось бы больше конкретной информации о преподавателях. А так в принципе хороший сайт, всегда им пользуюсь и ни разу не было желания прекратить. Хороший сайт для помощи студентам, удобный и приятный интерфейс. Из недостатков можно выделить только отсутствия небольшого количества файлов.
Спасибо за шикарный сайт
Великолепный сайт на котором студент за не большие деньги может найти помощь с дз, проектами курсовыми, лабораторными, а также узнать отзывы на преподавателей и бесплатно скачать пособия.
Популярные преподаватели
Добавляйте материалы
и зарабатывайте!
Продажи идут автоматически
6948
Авторов
на СтудИзбе
265
Средний доход
с одного платного файла
Обучение Подробнее