Для студентов МАИ по предмету Теоретическая механикаДинамика механических системДинамика механических систем
5,0054
2026-01-09СтудИзба

Курсовая работа: Динамика механических систем вариант 20

-50%

Описание

Задание №20

Однородная балка DE длины 2a и массы закреплена в неподвижном шарнире D и концом Е соединена с пружиной жесткости с (рис. 20). К середине балки прикреплен невесомый стержень АВ длины b с точечным грузом массы m2 на конце В. Длина недеформированной пружины равна l0; при горизонтальном положении балки DE пружина вертикальна.
  • 1. Ввести подвижную систему координат, начало которой совпадает с точкой А, а оси движутся поступательно. Считая φ(t) и ψ(t) заданными функциями времени, вычислить абсолютную скорость и абсолютное ускорение груза В. Изобразить на чертеже составляющие векторов vабс и ωабс.
  • 2. Полагая φ=ωt, ω=const, составить дифференциальное уравнение движения точки В относительно подвижной системы координат, введенной в п. 1,
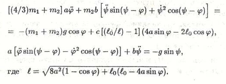
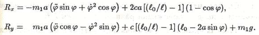
  • 3. Считая m2=0, а φ(t) заданной функцией времени, определить проекции Rx и Ry реакции шарнира D. Воспользоваться теоремой о движении центра масс. Показать, что
  • 4. Для условия п. 3 найти момент, который необходимо приложить к балке DE, чтобы обеспечить заданное движение по закону φ=φ(t). Применить теорему об изменении кинетического момента.
  • 5. Для условия п. З найти наименьшую угловую скорость, которую необходимо сообщить балке DE в горизонтальном положении вверх, чтобы она достигла вертикального положения. Применить теорему об изменении кинетической энергии.
  • 6. Считая φ(t) и ψ(t) заданными функциями времени, найти силы инерции точки В, а также главный вектор и главный момент сил инерции балки DE относительно Точки D.
  • 7. Используя принцип Даламбера, показать, что величина N реакции шарнира А вычисляется по формуле
  • 8. Полагая c=О, составить дифференциальные уравнения движения системы, исходя из общего уравнения аналитической динамики и приняв за обобщенные координаты φ и ψ.
  • 9. Составить выражения для кинетической и потенциальной энергии системы, вычислить обобщенные силы.
  • 10. Используя уравнения Лагранжа второго рода, показать, что дифференциальные уравнения движения системы имеют вид: Записать интеграл энергии системы.
  • 11. Считая, что m2=О, записать уравнение для определения величины угла φ* в положении равновесия балки DE.
  • 12. Задавая численные значения параметров и начальные условия: m1=50кг, m2=0,5кг, a=b=l0=1м, c=250Н/м, t0=0, φ0=0, ψ0=π/18, φ0`=ψ0`=0, составить программу решения системы дифференциальных уравнений и на ЭВМ построить зависимости φ(t), ψ(t), N(t).

Характеристики курсовой работы

Учебное заведение
Вариант
Просмотров
348
Качество
Скан рукописных листов
Размер
7,74 Mb

Преподаватели

Список файлов

Динамика механических систем.pdf
Картинка-подпись
Вам все понравилось? Получите кэшбэк - 40 рублей на Ваш счёт при покупке. Поставьте оценку и напишите положительный комментарий к купленному файлу. После Вы получите деньги на ваш счет.

Комментарии

Нет комментариев
Стань первым, кто что-нибудь напишет!
Поделитесь ссылкой:
Цена: 3 000 1 490 руб.
Расширенная гарантия +3 недели гарантии, +10% цены
Несколько человек купили за последний месяц
Рейтинг покупателей
5 из 5
Поделитесь ссылкой:
Сопутствующие материалы

Подобрали для Вас услуги

-50%
Вы можете использовать курсовую работу для примера, а также можете ссылаться на неё в своей работе. Авторство принадлежит автору работы, поэтому запрещено копировать текст из этой работы для любой публикации, в том числе в свою курсовую работу в учебном заведении, без правильно оформленной ссылки. Читайте как правильно публиковать ссылки в своей работе.
Свежие статьи
Популярно сейчас
Как Вы думаете, сколько людей до Вас делали точно такое же задание? 99% студентов выполняют точно такие же задания, как и их предшественники год назад. Найдите нужный учебный материал на СтудИзбе!
Ответы на популярные вопросы
Да! Наши авторы собирают и выкладывают те работы, которые сдаются в Вашем учебном заведении ежегодно и уже проверены преподавателями.
Да! У нас любой человек может выложить любую учебную работу и зарабатывать на её продажах! Но каждый учебный материал публикуется только после тщательной проверки администрацией.
Вернём деньги! А если быть более точными, то автору даётся немного времени на исправление, а если не исправит или выйдет время, то вернём деньги в полном объёме!
Да! На равне с готовыми студенческими работами у нас продаются услуги. Цены на услуги видны сразу, то есть Вам нужно только указать параметры и сразу можно оплачивать.
Отзывы студентов
Ставлю 10/10
Все нравится, очень удобный сайт, помогает в учебе. Кроме этого, можно заработать самому, выставляя готовые учебные материалы на продажу здесь. Рейтинги и отзывы на преподавателей очень помогают сориентироваться в начале нового семестра. Спасибо за такую функцию. Ставлю максимальную оценку.
Лучшая платформа для успешной сдачи сессии
Познакомился со СтудИзбой благодаря своему другу, очень нравится интерфейс, количество доступных файлов, цена, в общем, все прекрасно. Даже сам продаю какие-то свои работы.
Студизба ван лав ❤
Очень офигенный сайт для студентов. Много полезных учебных материалов. Пользуюсь студизбой с октября 2021 года. Серьёзных нареканий нет. Хотелось бы, что бы ввели подписочную модель и сделали материалы дешевле 300 рублей в рамках подписки бесплатными.
Отличный сайт
Лично меня всё устраивает - и покупка, и продажа; и цены, и возможность предпросмотра куска файла, и обилие бесплатных файлов (в подборках по авторам, читай, ВУЗам и факультетам). Есть определённые баги, но всё решаемо, да и администраторы реагируют в течение суток.
Маленький отзыв о большом помощнике!
Студизба спасает в те моменты, когда сроки горят, а работ накопилось достаточно. Довольно удобный сайт с простой навигацией и огромным количеством материалов.
Студ. Изба как крупнейший сборник работ для студентов
Тут дофига бывает всего полезного. Печально, что бывают предметы по которым даже одного бесплатного решения нет, но это скорее вопрос к студентам. В остальном всё здорово.
Спасательный островок
Если уже не успеваешь разобраться или застрял на каком-то задание поможет тебе быстро и недорого решить твою проблему.
Всё и так отлично
Всё очень удобно. Особенно круто, что есть система бонусов и можно выводить остатки денег. Очень много качественных бесплатных файлов.
Отзыв о системе "Студизба"
Отличная платформа для распространения работ, востребованных студентами. Хорошо налаженная и качественная работа сайта, огромная база заданий и аудитория.
Отличный помощник
Отличный сайт с кучей полезных файлов, позволяющий найти много методичек / учебников / отзывов о вузах и преподователях.
Отлично помогает студентам в любой момент для решения трудных и незамедлительных задач
Хотелось бы больше конкретной информации о преподавателях. А так в принципе хороший сайт, всегда им пользуюсь и ни разу не было желания прекратить. Хороший сайт для помощи студентам, удобный и приятный интерфейс. Из недостатков можно выделить только отсутствия небольшого количества файлов.
Спасибо за шикарный сайт
Великолепный сайт на котором студент за не большие деньги может найти помощь с дз, проектами курсовыми, лабораторными, а также узнать отзывы на преподавателей и бесплатно скачать пособия.
Популярные преподаватели
Добавляйте материалы
и зарабатывайте!
Продажи идут автоматически
6953
Авторов
на СтудИзбе
264
Средний доход
с одного платного файла
Обучение Подробнее
{user_main_secret_data}