Для студентов НИУ «МЭИ» по предмету Теоретическая механикаРешенные задачи к экзаменуРешенные задачи к экзамену
4,97514361
2023-04-272024-09-05СтудИзба
Ответы к экзамену: Решенные задачи к экзамену
-32%
Описание
30 решенных задач к экзамену по теоретической механике, красивым почерком
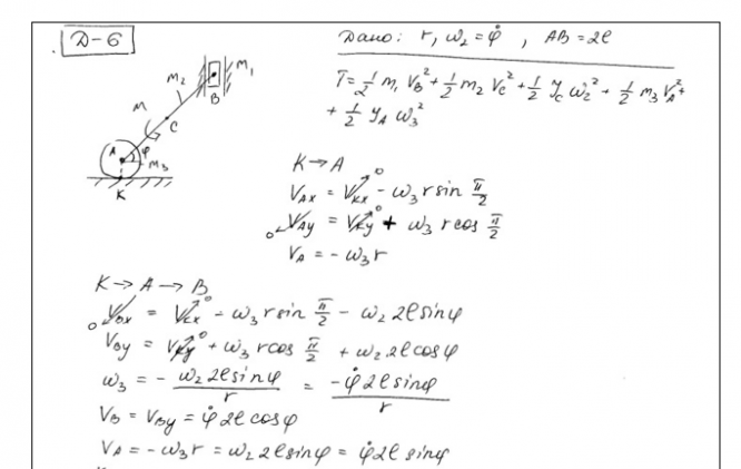
Пример оформления:
Показать/скрыть дополнительное описание
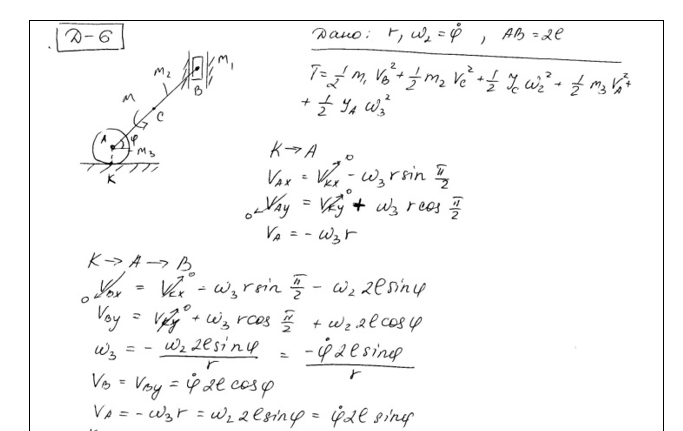
Пример оформления:


Показать/скрыть дополнительное описание
Решенные задачи к экзамену по теоретической механике МЭИ.
Характеристики ответов (шпаргалок) к экзамену
Предмет
Учебное заведение
Просмотров
9
Качество
Скан рукописных листов
Размер
6,82 Mb
Список файлов
Теормех Задачи экзамен.docx

Спасибо за покупку! Я буду очень рад, если поставишь справедливую оценку купленному файлу :3 Ищи больше работ в моём профиле, там много нужного тебе!