Для студентов МГТУ им. Н.Э.Баумана по предмету Теоретическая физикаТиповые задачи по курсу теоретической физикиТиповые задачи по курсу теоретической физики
2021-03-272021-03-27СтудИзба
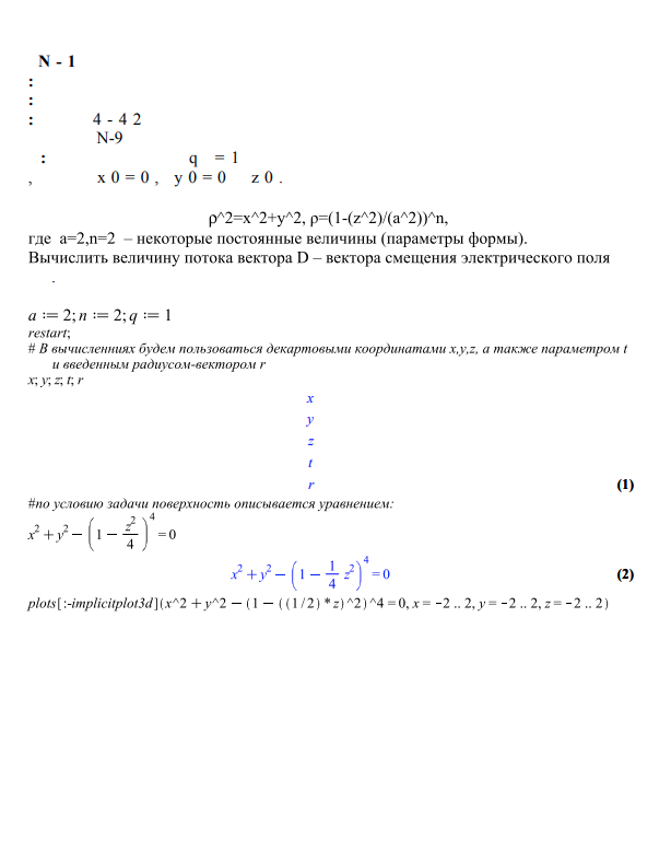
Задача: Типовые задачи по курсу теоретической физики
Описание



Характеристики решённой задачи
Предмет
Учебное заведение
Семестр
Просмотров
145
Размер
4,15 Mb
Список файлов

Друзья, спасибо за доверие! Если вам понравилась работа – поставьте 5⭐ и напишите отзыв. Это поможет другим студентам, а мне даст силы делать ещё больше качественных материалов для вас 🔥