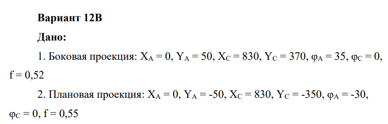
Для студентов МГТУ им. Н.Э.Баумана по предмету Технология энергомашиностроенияПлазово-шаблонный методПлазово-шаблонный метод
5,005109
2024-03-182024-03-18СтудИзба
ДЗ 12: Плазово-шаблонный метод вариант В
Описание
Характеристики домашнего задания
Учебное заведение
Номер задания
Вариант
Просмотров
18
Качество
Идеальное компьютерное
Размер
201,56 Kb
Список файлов
ДЗ_СИ.pdf
МГТУ им. Н.Э.Баумана



















