Для студентов МФПУ «Синергия» по предмету Статистические методы обработки данныхСтатистические методы обработки данных (Темы 1-13)Статистические методы обработки данных (Темы 1-13)
5,00544
2025-03-132025-03-13СтудИзба
Статистические методы обработки данных Синергия Ответы на промежуточные тесты 1-13, итоговый тест, компетентностный
Ответы к экзамену 1-13, итог, комп: Статистические методы обработки данных (Темы 1-13)
Хит
-22%
Описание
Представлены ответы на большинство вопросов по предмету "Статистические методы обработки данных" (Темы 1-13).
Результат сдачи зависит от попавшихся вопросов.
Мой итоговый набранный балл 100 из 100 (Скриншот прилагаю).
ВНИМАНИЕ! Покупайте работу, только убедившись, что ваши вопросы совпадают с представленными ниже. Для этого рекомендую сначала запустить тест и сверить хотя бы несколько вопросов.
![]()
Результат сдачи зависит от попавшихся вопросов.
Мой итоговый набранный балл 100 из 100 (Скриншот прилагаю).
ВНИМАНИЕ! Покупайте работу, только убедившись, что ваши вопросы совпадают с представленными ниже. Для этого рекомендую сначала запустить тест и сверить хотя бы несколько вопросов.


Файлы условия, демо
Список вопросов
Ваша компания решила провести аудит производства для определения времени, затрачиваемого на каждый процесс. После сбора данных вы обнаружили, что время на упаковку товаров сильно варьируется от дня к дню. Как вы можете правильно интерпретировать это статистическое наблюдение?
Ваша команда провела опрос среди клиентов, чтобы выяснить, какие функции они предпочитают в вашем продукте. Вы хотите определить, какие функции наиболее востребованы. Какой статистический показатель лучше всего отразит это?
Вы исследуете доходы населения в разных районах вашего города. Вам нужно определить уровень неравенства в доходах между районами. Какой статистический показатель лучше всего отражает это?
Вы анализируете эффективность лекарства для лечения пациентов до и после его применения. Какой статистический критерий наиболее подходит для оценки различий в показателях здоровья пациентов до и после лечения?
Вы изучаете связь между уровнем образования и заработной платой. Какое из следующих утверждений наиболее точно описывает результаты корреляционного анализа?
Вы изучаете данные о продажах вашей компании за последние 6 месяцев и замечаете, что в июне было заметно меньше продаж, чем в другие месяцы. Как вы можете интерпретировать эту информацию с помощью статистики?
Вы изучаете социальные и экономические факторы, влияющие на уровень счастья людей. У вас есть данные о доходах, образовании, семейном положении и уровне удовлетворенности жизнью для различных групп людей. Какой метод анализа данных подходит для определения наиболее важных факторов, влияющих на уровень счастья?
Вы изучаете влияние различных факторов на производительность сотрудников в вашей компании. Ваша нулевая гипотеза предполагает, что нет никакого влияния от этих факторов. Какое утверждение лучше всего описывает альтернативную гипотезу?
… коэффициент рассчитывают по формуле k = K₄/K₁, где K-квинтили №4 и №1
Вы исследуете изменения уровня удовлетворенности клиентов до и после внедрения новой системы обслуживания. Какой статистический критерий наиболее подходит для сравнения уровня удовлетворенности клиентов до и после изменений?
Вы анализируете результаты опроса о предпочтениях потребителей в отношении различных видов продуктов. У вас есть данные о предпочтениях потребителей в отношении молочных продуктов, мяса, овощей и фруктов. Какой метод анализа данных подходит для выявления схожих паттернов предпочтений среди потребителей?
Ваша компания решает запустить новый продукт на рынке и провести исследование, чтобы определить потенциальную целевую аудиторию. Ваша задача - использовать статистические методы для анализа данных о предпочтениях потребителей. Какой из нижеприведенных шагов является наиболее важным для успешного завершения этой задачи?
Вы исследуете предпочтения потребителей в отношении брендов мобильных телефонов. Выборка составляет 200 человек, опрошенных на улицах города. Какое утверждение наиболее точно описывает выборочное наблюдение в этом случае?
Вы исследуете предпочтения потребителей по цвету автомобилей в городе. Для этого вы опрашиваете 100 владельцев автомобилей на одной из улиц. Какое утверждение наиболее соответствует выборочному наблюдению в этом случае?
Вы изучаете данные о продажах различных товаров в вашем магазине. Вы хотите определить, насколько сосредоточены продажи вокруг определенного набора товаров. Какая мера концентрации поможет вам выявить эту информацию?
Коэффициент находят по формуле … , которая равна Ka = (n₁₁n₂₂ – n₁₂n₂₁)/(n₁₁n₂₂ + n₁₂n₂₁)
Средний уровень за период, который относится к середине выбранного периода, если число уровней ряда динамики нечетное, — это … скользящей средней
Если выборочное распределение близко к нормальному, то …
На рисунке (см. ниже) изображено несколько случаев различной асимметрии. Третья кривая – кривая … распределения
![]()

Выборочная оценка называется … , если для ее расчета используется вся информация, содержащаяся в выборке
На рисунке (см. ниже) изображено несколько случаев различной асимметрии: 2 - кривая с … асимметрией
![]()

Причиной появления … непреднамеренной ошибки является несоблюдение принципа равновероятности попадания каждой единицы генеральной совокупности в выборку, то есть выборка формируется из преимущественно «худших» (или «лучших») представителей генеральной совокупности
… коэффициент рассчитывают по формуле Kq = Q₃/Q₁, где Q-квартили №3 и №1
Вы анализируете данные о доходах населения двух разных районов города. Вам интересно, насколько различаются уровни доходов в этих районах. Какая мера дифференциации поможет вам лучше понять эту разницу?
… позволяет систематизировать материал наблюдения, подготовить его к анализу и выявить, статистические закономерности изучаемых явлений и процессов
Статистические показатели интенсивности могут быть получены по совокупности путем сопоставления … статистических показателей, например, количества потребленного населением молока и численности населения, или при обобщении вторичного признака предприятий – потребление молока в расчете на 1 человека
Рассмотрите рисунок ниже. В соответствии с понятием плотности вероятностей - площадь под каждой кривой плотности вероятностей равна …
![]()

Вы исследуете эффективность нового лекарства для лечения определенного заболевания. Ваша нулевая гипотеза утверждает, что новое лекарство не имеет эффекта по сравнению с плацебо. Какое утверждение наиболее точно описывает альтернативную гипотезу в этом случае?
Когда в генеральной совокупности отсутствуют качественные различия между единицами используется … отбор
Статистический критерий, используемый для сравнения … значений в двух зависимых выборках, то есть, когда одни и те же участники измеряются дважды в разных условиях или моментах времени – это парный Т-критерий Вилкоксона
Форма относительных показателей, при которой показатель не может быть представлен через другие относительные показатели, — это … форма
Статистическая мера, которая описывает силу связи между переменными в исследовании. В случае зависимых выборок показывает, насколько различия статистически значимы. Речь идет об эффекте …
Вы анализируете данные о доходах сотрудников в вашей компании за последний год. У вас есть список всех сотрудников и их заработных плат, но количество записей слишком велико, чтобы анализировать их всех индивидуально. Какой метод статистической сводки наиболее полезен для анализа этих данных?
Значение статистики, которое получают по выборке, на основе имеющихся данных, — это … значение статистики
Документ, в котором содержится программа статистического наблюдения, — это … наблюдения
Мера силы и направления связи между двумя переменными в зависимых выборках, оцененная с использованием методов анализа дисперсии, — это … взаимосвязь
Критерий … применяется для сопоставления показателей, измеренных в трех и более условиях на одной и той же выборке испытуемых
Вся совокупность единиц, о которой нужно составить суждение, — это … совокупность
При расчете конечных показателей на основе промежуточных показателей применяют … сводку
Специально организованное наблюдение за частью единиц исходной совокупности с целью получения полных и объективных данных о всей совокупности – это … наблюдение
Если все значения признака разделить на … число А, то дисперсия от этого преобразования уменьшится в квадрат постоянного числа А
… в статистике — это мера, которая показывает разброс между результатами.
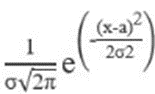
… распределение имеет формулу
, где а - математическое ожидание, σ - среднее квадратическое отклонение

Вы исследуете средний уровень удовлетворенности клиентов вашей компании. После анализа данных вы получили среднее значение удовлетворенности равное 4.2 на шкале от 1 до 5, с стандартным отклонением 0.8. Какой интервал оценки на уровне доверия 95% содержит среднюю удовлетворенность клиентов?
Меняющиеся от выборки к выборке по знаку и величине различия между оценкой и оцениваемой характеристикой генеральной совокупности – это … ошибки
Коэффициент ассоциации принимает значения в интервале …
Вы исследуете средний уровень дохода в вашем районе. После анализа данных вы получили средний доход 40,000 долларов, с известным стандартным отклонением 5,000 долларов. Какой интервал оценки на уровне доверия 99% содержит средний доход в районе?
Разместите методы анализа данных по убыванию их использования в крупных данных из-за их вычислительной сложности:
- кластерный анализ
- многомерное шкалирование
- факторный анализ
- стохастическое вложение соседей с t-распределением (t-SNE)
Критерий различия называют … , если он не базируется на предположении о типе распределения генеральной совокупности и не использует параметры этой совокупности
Планомерный, научно организованный сбор данных, т.е. значений признаков по единицам статистической совокупности, — это статистическое …
Сравнение двух структурных рядов, один из которых показывает структуру единиц совокупности, другой- структуру объема признака, — это показатели …
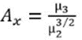
Коэффициент … рассчитывают по формуле ![]()

Вы исследуете изменения в стоимости акций компании на рынке за последние годы. Вам нужно построить прогноз будущих изменений стоимости на основе предыдущих данных. Какой статистический метод наиболее подходит для этой задачи?
Сопоставьте методы с их принципами работы:
Перечень показателей и группировок, которые следует получить или опубликовать в результате сводки, — это …
Если Q- критерий выявляет достоверные различия между выборками с уровнем значимости Р≥ … , можно ограничиться только им
Если все значения признака уменьшить на постоянное число А, то дисперсия от этого преобразования …
Массовый, планомерный, научно организованный сбор данных о социально-экономических явлениях и процессах, заключающийся в регистрации отобранных признаков у каждой единицы изучаемой совокупности, – это … наблюдение
Формула … вариации равна W=Σ(xi – x)² для невзвешенных данных
Признаки совокупности, которые не зависят от времени, то есть фиксируются на определенную дату времени, — это … признаки
Для изучения взаимосвязи одной переменной (зависимой, результирующей) и нескольких других (независимых, исходных) предназначен … регрессионный анализ
Результат использования выборки для вычисления интервала возможных значений неизвестного параметра, оценку которого нужно построить, — это … оценка
Показатели на мировом уровне, по национальной экономике в целом, по федеральным округам и субъектам экономики, по секторам и видам экономической деятельности, крупным экономическим комплексам и зонам — это … показатели
Шкала с перечнем градаций признака, которые отличаются по названию, — это … шкала
Формула для расчета … абсолютного прироста – это Δб = Yi – Y1
Формула для расчета … абсолютного прироста – это Δц = Yi – Yi-1
На рис. (см. ниже) показана диаграмма …
![]()

Сопоставьте меру дифференциации с ее описанием:
Сопоставьте этапы с проведением критерия для зависимых выборок:
Основным относительным показателем вариации является … коэффициент вариации V, рассчитываемый как отношение среднего квадратического отклонения к среднему значению признака
Выборочный … момент порядка l рассчитывают по формуле m₁ = 1/𝑛 ∑𝑥𝑖¹
Элемент статистической совокупности, носитель свойств и признаков, которые нужно регистрировать – это … наблюдения
Критерий согласия … предназначен для проверки гипотезы о принадлежности выборки некоторому закону распределения, то есть проверки того, что эмпирическое распределение соответствует предполагаемой модели
Соотношение разноименных абсолютных величин, логически связанных между собой и относящихся к одной статистической совокупности, — это показатели …
Если мода, медиана и среднее арифметическое равны, то ряд имеет … распределение
Непараметрическим критерием для независимых выборок является критерий …
Множество единиц, которое нужно статистически исследовать, — это … статистического наблюдения
Процедура упорядочивания объектов в сравнительно однородные классы на основе попарного сравнения этих объектов по предварительно определенным и измеренным критериям – это … анализ
Для уменьшения размерности исходных данных с целью их экономного описания при условии минимальных потерь исходной информации предназначен … анализ
Переход от множества исходных переменных к существенно меньшему числу новых переменных – это …
Причина совместной изменчивости нескольких исходных переменных – это …
При … наблюдении признаки наблюдают по части единиц совокупности с целью охарактеризовать свойства общей совокупности
Общая вариация между средним значением каждой группы и общим средним значением – это … вариация
Критерий проверки гипотезы о том, что в определенной генеральной совокупности среднее можно считать равным μ (одновыборочный критерий), или же что средние двух генеральных совокупностей равны между собой (двухвыборочный критерий) и при этом не получить существенных противоречий с данными – это …
Установление общего направления сдвига исследуемого признака – это назначение …
Функциональный оптимум, который подразумевает протекание процессов в системе с наибольшей слаженностью, эффективностью и экономичностью, — это …
Наблюдаемое значение, характеризующее данную конкретную экспериментальную ситуацию; конечный результат расчетов, осуществленный с помощью того или иного метода (критерия) математической статистики, — это … значение критерия
Число, которое говорит, что большим значениям одного фактора соответствуют большие значения другого или наоборот, — это …
Тесноту и направление связи между двумя признаками при наличии между ними линейной зависимости характеризует … коэффициент корреляции r
Статистическая характеристика (средняя, доля, дисперсия и т.д.) выборочной совокупности, на основе которой делается заключение относительно той или иной статистической характеристики генеральной совокупности – это статистическая …
Незаполненная цифрами таблица – это …
Постоянное завышение или занижение значения оценки по сравнению с характеристикой генеральной совокупности – это … ошибки
К условиям проведения корреляционного анализа относится тот факт, что данные по признакам должны иметь … размерность и методологию расчета
Сумма квадратов отклонений значений признаков от средней величины – это … вариации-W
Элемент совокупности, от которого получают сведения о единице наблюдения – это единица …
Шкала, которая классифицирует значения атрибутивного признака по принципу «больше -меньше», — это … шкала
Показатели на муниципальном и районном уровне, по отдельным группам лиц, групп организаций – это … показатели
Коэффициент … представляет собой отношение размаха вариации к среднему значению признака
Вы анализируете данные о потреблении кофе и уровне стресса среди работников в вашей компании. Какое из утверждений наиболее соответствует результатам корреляционного анализа?
Вы изучаете данные о температуре воздуха за последние месяцы и обнаруживаете, что в июне средняя температура была выше, чем в мае. Какое из следующих утверждений является наиболее правильным на основе статистического наблюдения?
Характеристики ответов (шпаргалок) к экзамену
Тип
Коллекция: Ответы (шпаргалки) к экзамену
Учебное заведение
Семестр
Просмотров
258
Количество вопросов

❓ Как копировать вопросы во время теста в Синергии?

Каждая купленная работа – это шаг к вашей успешной сдаче и мой стимул делать ещё лучше. Вместе мы создаём круговорот добра в учебе 🥰