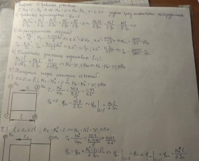
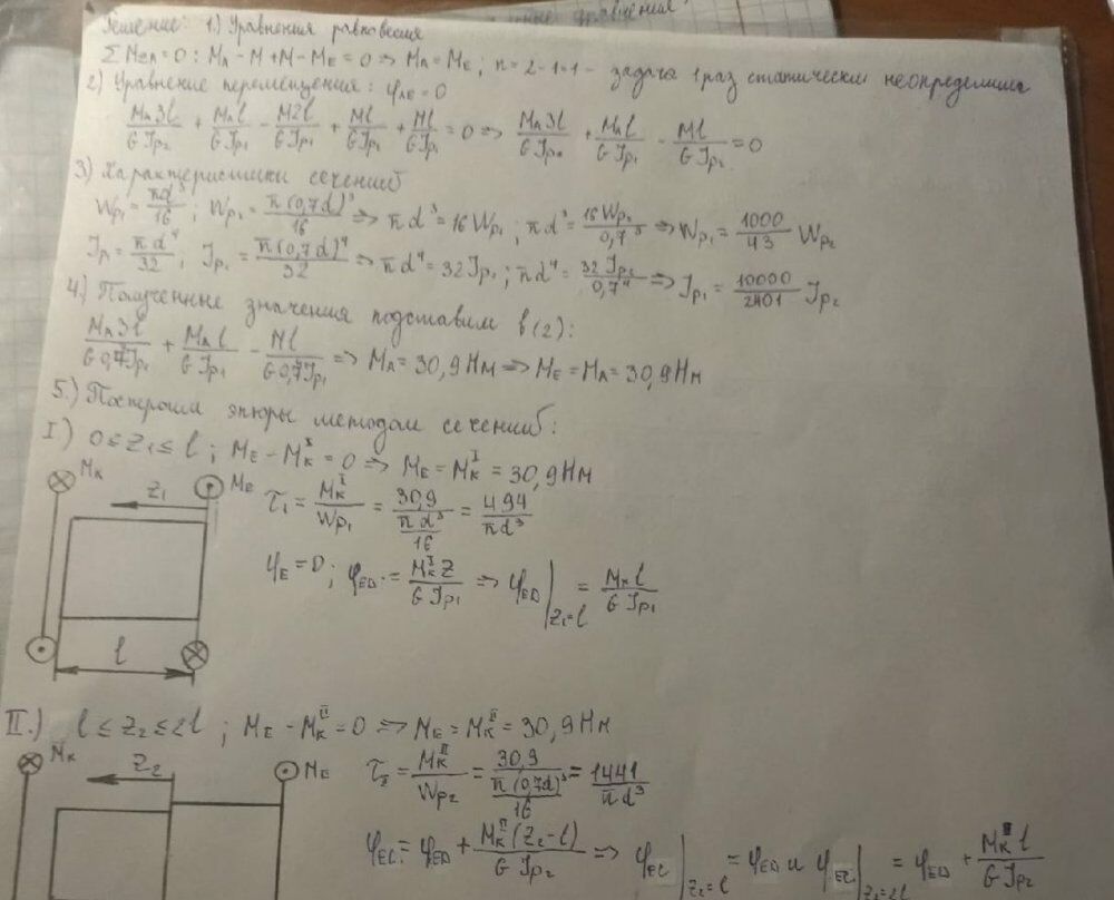
Для студентов МГТУ им. Н.Э.Баумана по предмету Сопротивление материаловЗадача 3Задача 3
4,90547143
2023-08-132025-02-12СтудИзба
Задача 3 вариант 6
-73%
Описание
Файлы условия, демо
Характеристики решённой задачи
Предмет
Учебное заведение
Семестр
Номер задания
Вариант
Теги
Просмотров
125
Размер
976,96 Kb
Список файлов
Вариант 6 - ДЗ №3 - Кручение+.docx

Друзья, спасибо за доверие! Если вам понравилась работа – поставьте 5⭐ и напишите отзыв. Это поможет другим студентам, а мне даст силы делать ещё больше качественных материалов для вас 🔥