Для студентов ИДДО НИУ «МЭИ» по предмету Системное программное обеспечение (СПО)Реализация формулы алгебры логикиРеализация формулы алгебры логики
5,0051
2024-11-102024-11-10СтудИзба
Курс Системное программное обеспечение . КМ-3. Реализация формулы алгебры логики
Задача КМ-3: Реализация формулы алгебры логики вариант 10
Описание
Работа сдана на оценку 5. Содержит файл (.vi) решённой задачи в программе LabVIEW . Вариант 10.
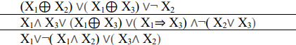
Сама задача :
Необходимо создать программу, которая будет реализовывать работу функций алгебры логики. На вход программа принимает значения логических переменных X1, X2 и X3. Результатом работы программы, будет результат вычисления заданных булевых функций. Каждый вариант задания содержит три функции.
Показать/скрыть дополнительное описание
Сама задача :
Необходимо создать программу, которая будет реализовывать работу функций алгебры логики. На вход программа принимает значения логических переменных X1, X2 и X3. Результатом работы программы, будет результат вычисления заданных булевых функций. Каждый вариант задания содержит три функции.

Курс Системное программное обеспечение . КМ-3. Реализация формулы алгебры логики.
Характеристики решённой задачи
Учебное заведение
Номер задания
Вариант
Программы
Просмотров
9
Качество
Идеальное компьютерное
Размер
29,24 Kb
Список файлов
СПО.vi
Алёна Руденко