Для студентов НГТУ по предмету Радиотехнические цепи и сигналы (РТЦиС)КП - Элементная база электронных приборовКП - Элементная база электронных приборов
4,96530080
2021-09-152021-09-15СтудИзба
Курсовая работа: КП - Элементная база электронных приборов
Описание
Курсовой проект
"Элементная база электронных приборов"
Содержание
- Вступление
- Максимально-плоская аппроксимация.
- Чебышевская аппроксимация.
- Метод преобразования частоты
- Раздел 1. Синтез ФНЧ прототипа
- Передаточная функция Чебышевского ФНЧ.
- Денормирование номинальных значений элементов схемы.
- Раздел 2. Переход к полосно-пропускающему фильтру.
- Раздел 3. Обоснование, расчет и выбор типов элементов.
- Раздел 4. Расчет катушек индуктивности.
- Собственная емкость катушек индуктивности.
- Сопротивление потерь катушек индуктивности.
- Температурная стабильность катушек индуктивности
- Часть 5. Окончательный расчет рабочих характеристик и параметров.
- Заключение
- Список использованной литературы.
Вступление

График зависимости от частоты амплитуды напряжения или тока на выходе фильтра при данном напряжении или токе на входе либо зависимость от частоты коэффициента передачи называется амплитудно-частотной характеристикой (АЧХ) фильтра. Частным случаем АЧХ является резонансная характеристика колебательного контура.
Фильтр. АЧХ которого подобна (а), имеет полосу пропускания при любых частотах ниже fс и полосу задерживания выше fс. Частота fс, вблизи от которой имеет место переход от пропускания к задерживанию, называется частотой среза. Фильтр с такой АЧХ называется фильтром нижних частот.
Фильтр с АЧХ вида (б), имеющий полосу задерживания ниже частоты среза fс и полосу пропускания выше fс, называется фильтром верхних частот.
Фильтр с АЧХ вида (в) имеет полосу пропускания между частотами среза fс1 и fс2 и полосы задерживания ниже fс1 и выше fс2. Он называется полосно-пропускающим фильтром (сокращенно - полосовым фильтром).
Фильтр с АЧХ вида рис. 1.12,г, имеющий полосу задерживания между fс1 и fс2, а полосы пропускания ниже fс1 и выше fс2, называется полосно-задерживающим либо полосно-режекторным (сокращенно - режекторным) фильтром.
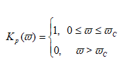
В данном параграфе будут рассмотрены некоторые физически реализуемые характеристики фильтров нижних частот (ФНЧ). Основное назначение таких устройств — с минимальным ослаблением передавать на выход колебания, частоты которых не превосходят заданной граничной частоты, называемой частотой среза фильтра ωс. В то же время колебания с более высокими частотами должны существенно ослабляться.
Очевидно, для ФНЧ с частотой среза ωс идеальная частотная зависимость коэффициента передачи мощности имеет вид

Такая частотная характеристика заведомо нереализуема. Обращение в нуль функции КP(ω), а значит, и передаточной функции К(р) противоречит известному критерию Пэли — Винера (см. гл. 8).
Возникает задача подбора допустимой аппроксимирующей функции.
Максимально-плоская аппроксимация.
Один из возможных способов аппроксимации идеальной характеристики ФНЧ построен на использовании коэффициента передачи мощности
где ωн = ω/ωс — безразмерная нормированная частота.
ФНЧ, имеющий такие частотные свойства, называют фильтром с максимально-плоской характеристикой или фильтром Баттерворта. Целое число п = 1, 2, 3, ... является порядком фильтра.
Чебышевская аппроксимация.
Широкое применение находит также другой способ аппроксимации частотной характеристики идеального ФНЧ, получивший название чебышевской аппроксимации. Коэффициент передачи мощности ФНЧ такого вида задается формулой

Рассмотрим метод преобразования частоты на примере полосно-пропускающего фильтра (ППФ). [2-стр.338]
Если синтезирован ФНЧ с заданной частотой среза, то можно непосредственно перейти к схеме ПФ, выполнив замену переменной

Аналогично, из равенства заключаем, что катушка превращается в последовательное соединение катушки и конденсатора , т.е. в последовательный колебательный контур


Характеристики курсовой работы
Учебное заведение
Семестр
Просмотров
5
Качество
Идеальное компьютерное
Размер
301,73 Kb
Список файлов
КП - Элементная база электронных приборов
База - курсовая работа.doc
Курсовая - Титул.doc

Вам все понравилось? Получите кэшбэк - 40 рублей на Ваш счёт при покупке. Поставьте оценку и напишите положительный комментарий к купленному файлу. После Вы получите деньги на ваш счет.