Для студентов ТГПУ по предмету ПрограммированиеОТЧЕТ По дисциплине: «Введение в программирование» ОТЧЕТ По дисциплине: «Введение в программирование»
5,0053
2022-10-042022-10-04СтудИзба
Лабораторная работа 5: ОТЧЕТ По дисциплине: «Введение в программирование» вариант 13
Бестселлер
Описание
№1 Реализуйте примеры 1-8. Перепишите их в тетрадь, добавьте к ним пояснения и результат выполнения.
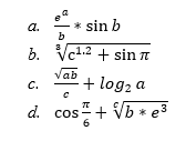
№2 Даны вещественные числа a,b,c,вводимые с клавиатуры. Вычислить значения следующих выражений:
№3 С клавиатуры вводятся координаты х, y точки M. Если точка оказывается внутри заданной области (см. рис.), то вывести сообщение «True», в противном случае вывести сообщение «False».
№4 Напишите программу, позволяющую вывести ваше имя.
№5 Используя, кодировки символов ASCII посчитайте сумму, разность, произведение, деление введенных двух символов. Используя эти арифметические операции, придумайте выражение и реализуйте его программно.
№6.1 Индивидуальное задание. Выполнить вычисление значения математического выражения. Все числовые значения следует заменить на переменные, вводимые с клавиатуры
№6 Вычислить значение логического выражения для любых возможных значений
логических величин X и Y:
а) не (не X или Y) или не X;
б) не (не X и не Y) и X;
в) не (X или не Y) или не Y.
№2 Даны вещественные числа a,b,c,вводимые с клавиатуры. Вычислить значения следующих выражений:

№4 Напишите программу, позволяющую вывести ваше имя.
№5 Используя, кодировки символов ASCII посчитайте сумму, разность, произведение, деление введенных двух символов. Используя эти арифметические операции, придумайте выражение и реализуйте его программно.
№6.1 Индивидуальное задание. Выполнить вычисление значения математического выражения. Все числовые значения следует заменить на переменные, вводимые с клавиатуры

логических величин X и Y:
а) не (не X или Y) или не X;
б) не (не X и не Y) и X;
в) не (X или не Y) или не Y.
Характеристики лабораторной работы
Предмет
Учебное заведение
Номер задания
Вариант
Просмотров
42
Размер
909,86 Kb
Список файлов
Laboratornaya_rabota_5 (1).docx

Если нужен другой вариант работы или отдельная задача из любой работы, пишите в комментарии